1과목: 공유압 및 자동화시스템
1. 강관에 의한 배관시 주의사항으로 옳지 않은 것은?
2. 다음 중 한방향의 유동은 허용하나 역방향의 유동은 완전히 저지하는 밸브는?
3. 실린더의 지지방식이 아닌 것은?
4. 제어 시퀀스를 구성할 때 오동작을 예방하는 방법이 아닌 것은?
5. 유압 모터의 장점이 아닌 것은?
6. 센서의 신호처리시 문제점이 아닌 것은?
7. 다음 중 회로도의 표현 방식은 어느 것인가?
8. 펌프의 토출량이 15(ℓ /min)이고 유압 실린더에서의 피스톤 직경이 32(㎜),배관경이 6(㎜)일 때 배관에서의 유속과 피스톤의 전진 속도를 구하시오?
9. 다품종 소량생산이 가능한 자동화를 의미하는 것은?
10. 4개의 입력요소 중 첫번째와 두번째 요소가 함께 작동되든지 세번째 요소가 작동되지 않은 상태에서 네번째 요소가 작동되었을 때 출력이 존재하는 제어기의 구성을 논리적으로 표현한 것은?
+S4
+S4)
·S4
+S4
·S4" 이 정답이다. 11. 다음 유압회로의 명칭으로 적합한 것은?
12. 그림에서 공급압력 P1=600kPa이고 압력강하 △P=100kPa라면 유량은 몇m3/h인가?
13. 다음 기호는 공기압 조정유닛이다가 유닛에 포함된 기기의 나열이 옳은 것은?
14. 프로그램 메모리 중 사용자가 자유롭게 프로그램을 쓰고 지울 수 있는 휘발성 메모리는 ?
15. 직류전동기에서 운전중 브러시로부터 스파크가 일어나는 경우가 아닌 것은?
16. 압력센서의 용도가 아닌 것은?
17. 다음 그림 중 루브리케이터의 기호는?




"이다. 이 기호는 오일 필터와 루브리케이터를 나타내는 기호 중 하나이다. 이 기호는 오일이 흐르는 방향을 나타내며, 오일 필터와 마찬가지로 오일이 흐르는 방향이 왼쪽에서 오른쪽으로 흐르는 것을 나타낸다.18. 다음 그림과 같은 11핀 계전기에서 a접점으로 사용할 수 있는 단자는?
19. 유압장치에 부착된 압력 게이지가 40bar을 나타내었다. 이 압력은 어떤 압력인가?
20. 다음 중 압력제어밸브는 어느 것인가?
2과목: 설비진단관리 및 기계정비
21. 사용빈도가 비교적 안정되어 발주시기를 일정하게하고 발주 수량을 변화시키는 발주방식은?
22. 송풍기의 풍량이 10(m3/sec),송풍기의 전압이 65(mmAq)의 축류 송풍기의 전압 공기동력은 약 얼마인가?
23. 회전기계에서 발생하는 이상현상 중 언밸런스나 베어링 결함 등의 검출에 널리 사용되는 설비진단 기법은?
24. 정비계획 수립시 검토할 사항이 아닌 것은?
25. 롤러베어링의 리테이너가 파손되는 가장 주요한 원인은?
26. 고속 고하중 기어에 이면의 유막이 파괴되어 국부적으로 금속이 접촉하여 마찰에 의해 그 부분이 용융되어 뜯겨나가는 현상으로 마모가 활동방향에 생기는 현상은?
27. 볼트너트의 이완방지를 위해 두께가 얇은 너트로 죄고 다음에 정규 너트로 조임하는 방식은?
28. 다음 중 축의 수리를 정비현장에서 하는 것이 무리인 경우는? (문제 복원 오류로 보기 내용이 정확하지 않습니다. 정확한 보기 내용을 아시는 분께서는 오류신고 또는 게시판에 작성 부탁드립니다.)
29. 설비열화를 방지하기위한 조치로서 부적절한 것은?
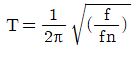
30. 자유도계에서 기초에 미치는 진동전달률 T를 구하는 식으로 알맞는 것은? (단, f:강제진동수, fn:고유진동수)




"이다.
"이 정답이다.31. 체결용 부품중에서 간단,신속히 체결되고 결합 방향에만 힘이 가해지는 부분에 적합한 체결 부품은?
32. 설비의 점검 및 검사,일상보전 및 수리에 관한 기준이되는 사항을 규정한 것은?
33. 송풍기(blower)의 중심맞추기(centering)에 일반적으로사용되는 게이지는?
34. 큐노형(cunotype)여과기에서 불순물 입자를 여과할 수 있는 정도는 몇 mm인가?
35. 차음벽에 의한 저주파소음 차단과 가장 관계가 깊은 것은?
36. 키 맞춤을 위해 보스의 구멍 지름을 포함한 홈의 깊이를 측정할 때 사용되는 공구는?
37. 설비가 고장을 일으키면 생산이나,서비스에 지장을 초래하므로 유해한 성능저하를 발견하여 초기상태에서 이러한 상태를 제거 또는 복구시키기 위해 행해지는 보전방식은?
38. 윤활제의 종류에서 액상 윤활제인 것은?
39. 어느 공장의 월 가동수가 20일인 장비가 설비고장과 작업 고장에 의한 설비 휴지시간이 1개월에 10시간이 걸리면 실제 가동율은 몇 %인가? (단, 1일 가동시간은 8시간 이다.)
40. 그리스를 장기간 저장할 경우 또는 사용 중에 기름이 분리 되는 현상은?
3과목: 공업계측 및 전기전자제어
41. 프로그램 입력장치를 이용하여 시퀀스프로그램의 내용을 PLC메모리에 기억시키는 작업은?
42. 미리 설정된 프로그램대로 조작하는 제어 방식은 다음 중 어느 것인가?
43. 두 코일의 자체 인덕턴스를 L1,L2결합계수를 K라 할 때 상호 인덕턴스는 어떻게 나타내는가?




"이 정답이다. 이유는 K는 결합계수이므로 0 ≤ K ≤ 1이고, L1과 L2는 양수이므로 √(L1L2)도 양수이다. 따라서 M은 항상 양수이며, K가 0이면 M도 0이 되고, K가 1이면 M은 √(L1L2)가 된다.44. 변압기의 호흡작용에 의한 변압기유의 열화를 방지하기 위하여 변압기 상부에 설치하는 것은?
45. 부궤환 증폭기의 특징이 아닌 것은?
46. 계전기의 기기 기호 중 전류 계전기의 문자기호는?
47. 참값 25.00A인 직류전류를 측정하여 24.85A의 값을 얻었다가 측정치의 백분율 오차는?
48. 다음 그림의 회로도 명칭은?
49. 다음중 회로시험기를 사용하여 측정할 때 주의할 점 중 잘못된 것은?
50. 다음 그림은 구동부의 약도이다이에 해당하는 것은?
51. 다음 그림에서 전자 릴레이 회로도 작성법과 거리가 먼 것은?
52. 그림과 같은 슬라이드 브리지에서 ℓ 1=25,ℓ 2=75일때,검류계의 지침이 0을 지시하였다면 X의 값은?
53. 다음 중 역수의 관계가 잘못 짝지어진 것은?
54. 제어 시스템의 구성 중 조작부의 구비조건으로 거리가 먼 것은?
55. 다음 심볼 기호의 명칭은?
56. JK-FF에서 J=1,K=1이면 동작상태는 어떻게 되는가?
57. 되먹임 제어(feedbackcontrol)에서 반드시 필요한 장치는?
58. 조절계의 제어동작 중 단일 루프 제어계에 속하지 않는 것은?
59. 3상 유도전동기의 정·역 운전회로에서 정·역 동시 투입에 의한 단락사고를 방지하기 위하여 사용하는 회로는?
60. 다음 중 열전대 조합으로 많이 사용하지 않는 것은?
4과목: 기계정비 일반
61. 풀리장치에서 벨트의 장력이 너무 크게 되면 어떤 현상이 일어나는가?
62. 그림과 같은 스프링 장치에서 각 스프링의 상수 K1=4㎏f/㎝,K2=5㎏f/㎝,K3=6㎏f/㎝이며 하중 방향의 처짐δ =150mm일 때,하중 P는 얼마인가?
63. 비철계 초소성 재료 중 최대의 연신을 갖는 합금은?
64. 유니파이나사의 나사산 각도는?
65. 다음 축이음 중 두축이 서로 평행하고 거리가 짧고 교차 하지 않는 경우에 사용하는 기계요소는?
66. 보통주철은 주조한 그대로 사용되는 일이 많으나 최근에는 각종 열처리를 실시하여 재료의 성질을 개선한다. 다음 중 관계과 가장 먼 것은?
67. 두개의 기어가 서로 맞물려서 운동을 전달하고 있다회전 방향이 같고 감속비가 큰 기어는 어느 것인가?
68. 탄소강은 일반적으로 200∼300℃ 부근에서 상온보다 더욱 취약한 성질을 갖는다이것을 무엇이라 하는가?
69. 기중기 등에서 물체를 내릴 때 하중 자신에 의하여 브레이크 작용을 행하여 속도를 억제하는 것은?
70. 철의 동소체로서 A3변태에서 A4변태 사이에 있는 철은?
71. 묻힘키이(sunkkey)에서 생기는 전단응력을 τ ,키이에 생기는 압축응력을 σ c라 하여 τ /σc=1/2일때 키의 폭 b와 높이 h와의 관계를 가장 옳게 설명한 것은?
72. 반복 하중을 가하여 재료의 강도를 평가하는 시험 방법은 다음 중 어느 것인가?
73. 풀림을 하는 목적을 설명한 것 중 틀린 사항은?
74. 400rpm으로 전동축을 지지하고 있는 미끄럼 베어링에서 저어널의 지름 d =6㎝, 저어널의 길이 ℓ =10㎝이고, W=420㎏f의 레디얼 하중이 작용할 때,베어링 압력은?
75. 염기성 전로에 사용되는 내화벽돌 재료는 어느 것인가?
76. 그림과 같은 용접이음에서 용접부에 발생하는 인장응력은 얼마인가?
77. 원뿔면 또는 원통면 밸브시트 안에서 밸브가 회전하고 유체가 그 회전축에 직각으로 유동하는 구조로 된 밸브는?
78. 다음중 불변강이 아닌것은?
79. 펄라이트(Pearlite)의 생성되는 과정에서 틀린 것은?
80. 다음 중 고속도강과 가장 관계가 먼 사항은?