1과목: 기계가공법 및 안전관리
1. 측정 오차에 관한 설명으로 틀린 것은?
2. 선반작업 시 절삭속도 결정조건으로 가장 거리가 먼 것은?
3. 센터 펀치 작업에 관한 설명으로 틀린 것은?
4. 절삭공구 재료가 갖추어야할 조건으로 틀린것은?
5. CNC 선반에서 나사 절삭 사이클의 준비기능 코드는?
6. 다음 중 전해가공의 특징으로 틀린 것은?
7. 바깥지름 원통 연삭에서 연삭숫돌이 숫돌의 반지름 방향으로 이송하면서 공작물을 연삭하는 방식은?
8. 나사를 1회전시킬 때 나사산이 축 방향으로 움직인 거리를 무엇이라 하는가
9. 리머에 관한 설명으로 틀린 것은?
10. 공작기계의 메인 전원 스위치 사용 시 유의사항으로 적합하지 않는 것은?
11. 밀링가공에서 커터의 날 수는 6개 1날 당의 이송은 0.2mm, 커터의 외경은 40mm 절삭속도는 30m/min일 때 테이블의 이송속도는 약 몇 mm/min인가?
12. 1대의 드릴링 머신에 다수의 스핀들이 설치되어 1회에 여러 개의 구멍을 동시에 가공할 수 있는 드릴링 머신은?
13. 정밀 입자 가공 중 래핑(lapping)에 대한 설명으로 틀린 것은?
14. 절삭공구의 측면과 피삭재의 가공면과의 마찰에 의하여 절삭공구의 절삭면에 평행하게 마모되는 공구인선의 파손현상은?
15. 밀링가공 할 때 하향절삭과 비교한 상향절삭의 특징으로 틀린 것은?
16. 수직 밀링 머신에서 좌우 이송을 하는 부분의 명칭은?
17. 나사의 유효지름을 측정하는 방법이 아닌것은?
18. 선반에서 지름 100mm의 저탄소 강재를 이송 0.25mm/rev, 길이 80mm를 2회 가공했을 때 소요된 시간이 80초라면 회전수는 약 몇 rpm인가?
19. 절삭유를 상용함으로써 얻을 수 있는 효과가 아닌 것은?
20. 센터리스 연삭기에 필요하지 않은 부품은?
2과목: 기계제도
21. 축의 치수가 ø20±0.1이고 그 축의 기하공차가 다음과 같다면 최대 실제 공차방식에서 실효치수는 얼마인가?
22. 앵글 구조물을 그림과 같이 한쪽 각도가 30°인 직각 삼각형으로 만들고자 한다. A의 길이가 1500mm일 때 B의 길이는 약 몇 mm인가?
23. 다음과 같이 도면에 지시된 베어링 호칭번호의 설명으로 옳지 않은 것은?
24. 다음 기하공차 중 자세공차에 속하는 것은?
25. 다음과 같은 입체도에서 화살표 방향 투상도로 가장 적합한 것은?




26. 끼워맞춤 치수 ø20 H6/g5는 어떤 끼워맞춤인가?
27. 금속 재료의 표시 기호 중 탄소 공구강 강재를 나타낸 것은?
28. 나사의 표시가 다음과 같이 나타날 때 이에 대한 설명으로 틀린 것은?
29. 그림과 같은 입체도를 제 3각법으로 나타낸 정투상도로 가장 적합한 것은?




30. 물체의 경사진 부분을 그대로 투상하면 이해가 곤란하여 경사면에 평행한 별도의 투상면을 설정하여 나타낸 투상도의 명칭을 무엇이라고 하는가?
31. 그림과 같이 가공된 축의 테이퍼 값은 얼마인가?
32. 그림과 같이 도면에 기입된 기하 공차에 관한 설명으로 옳지 않은 것은?
33. 지름이 동일한 두 원통을 90도로 교차시킬 경우 상관선을 옳게 나타낸 것은?




34. 다음 중 복렬 깊은 홈 볼 베어링의 약식 도시 기호가 바르게 표기된 것은?




35. 다음과 같은 입체도를 제3각법으로 투상한 투상도로 가장 적합한 것은?




36. 다음 그림과 같이 도시된 용접기호의 설명이 옳은 것은?
37. 축에 센터 구멍이 필요한 경우의 그림 기호로 올바른 것은?




38. 다음 나사 기호 중 관용 평행 나사를 나타내는 것은?
39. 가상선의 용도에 해당되지 않은것은?
40. 가공 방법에 따른 KS 가공 방법 기호가 바르게 연결된 것은?
3과목: 기계설계 및 기계재료
41. 다음 중 철강에 합금 원소를 첨가하였을 때 일반적으로 나타내는 효과와 가장 거리가 먼것은?
42. 다음 중 니켈-크롬강(Ni-Cr)에서 뜨임취성을 방지하기 위하여 첨가하는 원소는?
43. 비정질합금의 특징을 설명한 것 중 틀린것은?
44. 금속 침투법 중 철강 표면에 AI을 확산침투 시켜 표면처리 하는 방법은?
45. 다음 금속재료 중 용융점이 가장 높은 것은?
46. 다음 철강 조직 중 가장 경도가 높은 것은?
47. 다음 중 Cu + Zn계 합금이 아닌 것은?
48. 다음 중 세라믹 공구의 주성분으로 가장 적합한 것은?
49. 다음 중 펄라이트의 구성 조직으로 옳은 것은?
50. 복합재료 중 FRP는 무엇인가?
51. 다음 중 스프링의 용도로 거리가 먼 것은?
52. 리베팅 후 코킹(caulking)과 풀러링(fullering)을 하는 이유는 무엇인가?
53. 다음 중 두 축이 평행하거나 교차하지 않으며 자동차 차동기어장치의 감속 기어로 주로 사용되는 것은?
54. 그림과 같이 외접하는 A, B, C, 3개의 기어에 잇수는 각각 20, 10, 40이다. 기어 A가 매분 10회전하면, C는 매분 몇 회전 하는가?
55. 다음 중 체결용 기계요소로 거리가 먼 것은?
56. 다음 중 체인전동장치의 일반적인 특징이 아닌 것은?
57. 2405N*m의 토크를 전달시키는 지름 85mm의 전동축이 있다. 이 축에 사용되는 묻힘키(sunk key)의 길이는 전단과 압축을 고려하여 최소 몇 mm 이상이어야 하는가? (단, 키의 폭은 24mm, 높이는 16mm 이고, 키 재료의 허용전단응력은 68.7MPa, 허용압축응력은 147.2Mpa 이며, 키 홈의 깊이는 키 높이의 1/2로 한다.)
58. 4000rpm으로 회전하고 기본 동정격하중이 32kN인 볼 베어링에서 2kN의 레이디얼 하중이 작용할 때 이 베어링의 수명은 약 몇 시간인가?
59. 사각나사의 유효지름이 63mm, 피치가 3mm 인 나사잭으로 5t의 하중을 들어올리려면 레버의 유효길이는 약 몇 mm 이상이어야 하는가? (단, 레버의 끝에 작용시키는 힘은 200N이며 나사 접촉부 마찰계수는 0.1이다.)
60. 그림과 같은 단식 블록 브레이크에서 드럼을 제동하기 위해 레버(lever) 끝에 가할 힘(F)을 비교하고자 한다. 드럼이 좌회전할 경우 필요한 힘을 F1 우회전할 경우 필요한 힘을 F2 라고 할 때 이 두힘의 차이(F1-F2)는? (단, P는 블록과 드럼사이에서 블록의 접촉면에 수직방향으로 작용하는 힘이며, u는 접촉부 마찰계수이다.)
4과목: 컴퓨터응용설계
61. 번스타인 다항식(Bernstein polynomial)을 근본으로 하여 만들어낸 표면은?
62. 컴퓨터의 구성요소 중 중앙처리장치(CPU)의 3가지 주요 요소가 아닌 것은?
63. 8비트 ASCII 코드는 몇 개의 패리티비트를 사용하는가?
64. 지구의 중심에 원짐을 설정한 구면 좌표계(spherical coordinate system)에서 경도 30도(동경), 위도 60도(북위)에 있는 점을 직교좌표계 값으로 변환한 것으로 옳은 것은? (단, 지구의 반경은 1로 가정하고, x축은 위도와 경도가 모두 0인 축으로 한다.)




65. CAD에서 사용하는 기하학적 형상의 3차원 모델링 방법이 아닌 것은?
66. 서피스 모델링의 특징으로 거리가 먼 것은?
67. 화면에 영상을 구성하기 위해서는 최소한 1픽셀(pixel)당 1비트가 소요된다. 이와 같이 하나의 화면을 구성하는데 소요되는 메모리를 무엇이라고 하는가?
68. 자동차 자체 곡면과 같이 곡면모델링 시스템을 활용하여 곡면을 생성하고자 한다. 이를 생성하기 위해 주로 사용하는 방법 3가지로 가장 거리가 먼 것은?
69. 곡면을 모델링하는 여러 방법들 중에서 평면도, 정면도, 측면도상에 나타난 곡면의 경계곡선들로부터 비례적인 관계를 이용하여 곡면을 모델링(modeling)하는 방법은?
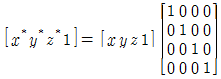
70. PC가 빠르게 발전하고 성능이 발달됨에 따라 윈도우 기반 CAD 시스템이 발달되었다. 다음중 윈도우 기반 CAD시스템의 일반적인 특징으로 보기 어려운 것은?
71. 설계해석 프로그램의 결과에 따라 응력, 온도 등의 분포도나 변형도를 작성하거나, CAD 시스템으로 만들어진 형상 모델을 바탕으로 NC공작기계의 가공 data를 생성하는 소프트웨어 프로그램이나 절차를 뜻하는 것은 무엇인가?
72. 잉크젯 프린터 등의 해상도를 나타내는 단위는?
73. 점 P(x, y, z)가 xy평면에 직교 투영되는 경우 나타내는 투영 P*를 생성하는 변환행렬식으로 옳은 것은?




74. 산업현장에서 컴퓨터를 활용한 제품 설계(CAD)와 컴퓨터를 활용한 제품 생산(CAM)이 많이 활용되고 있다. 다음 중 CAD의 응용 분야에 속하는 것은?
75. 그림과 같은 선분 A의 양 끝점에 대한 행렬 값
를 원점을 기준으로 하여 x방향과 y방향으로 각각 3배만큼 스케일링(scaling)할 때 그 행렬 결과 값으로 옳은 것은?




76. CAD시스템에서 이용되는 2차 곡선방정식에 대한 설명으로 거리가 먼 것은?
77. 3차원 공간에서 y축을 중심으로 ϴ만큼 회전했을 때의 변환행렬(4×4)로 옳은 것은? (단, 변환행렬식은 다음과 같다.)(오류 신고가 접수된 문제입니다. 반드시 정답과 해설을 확인하시기 바랍니다.)




78. 2차원 도형을 임의의 선을 따라 이동시키거나 임의의 회전축을 중심으로 회전시켜 입체를 생성하는 것을 나타내는 용어는?
79. 공간상의 한 점을 표시하기 위해 사용되는 좌표계로 xy 평면으로 한 점을 투영했을 때 원점으로부터 투영점까지의 거리(r), x축과 원점과 투영점이 지나는 직선과의 각도(ϴ), xy 평면과 그 점의 높이(z)로써 나타내어지는 좌표계는?
80. CSG 모델링 방식에서 불 연산(boolean operation)이 아닌 것은?