1과목: 승강기 개론
1. 카의 위치에 따라 발생하는 이동케이블과 로프의 무게 불균형을 보상하기 위하여 설치하는 것은?
2. 로프식 엘리베이터의 권상 도르래와 와이어로프의 미끄러짐 관계를 설명한 것 중 잘못된 것은?
3. 에스컬레이터의 디딤판(스텝)의 크기에 대한 설명 중 옳은 것은?
4. 균형추(Counter Weight)의 오버밸런스율을 적절하게 하여야 하는 이유로 가장 타당한 것은?
5. 에스컬레이터를 하강방향으로 공칭속도 0.65m/s 로 움직일 때 전기적 정지장치가 작동된 시간부터 측정할 경우 정지거리는 얼마를 만족하여야 하는가?
6. 승강기 안전관리법령에 따라 엘리베이터에서 정전시에 작동되는 비상등의 조도와 점등 시간에 관한 기준으로 옳은 것은?
7. 유압식 엘리베이터 중 간접식과 비교하여 직접식의 일반적인 특징에 속하는 것은?
8. 튀어오름 방지장치(제동 또는 록다운 장치)를 설치해야 하는 엘리베이터는 정격 속도가 몇 m/s를 초과할 경우인가?
9. 완충기에 대한 설명으로 틀린 것은?
10. 로프 꼬임에 대한 설명으로 옳은 것은?
11. 자동차용이나 대형 화물용 엘리베이터에서 카실을 완전히 열 필요가 있어서 사용되는 개폐방식은?
12. 권동식 권상기에 비하여 트랙션 권상기의 장점이라고 볼 수 없는 것은?
13. 엘리베이터의 군관리 방식에 대한 설명으로 옳지 않은 것은?
14. 유압회로의 부품에 대한 설명으로 틀린 것은?
15. 구조가 간단하나 착상오차가 크므로 대략 정격속도 30m/min 이하의 엘리베이터에 적용하는 속도제어방식은?
16. 엘리베이터가 과속된 경우, 과속스위치가 이를 검출하여 동력 전원 회로를 차단하고, 전자 브레이크를 작동시켜서 과속조절기 도르래의 회전을 정지시켜 과속조절기 도르래 홈과 로프 사이의 마찰력으로 비상 정지시키는 과속조절기의 종류는?
17. 엘리베이터의 정격속도가 매 분당 180m이고, 제동소요 시간이 0.3초인 경우의 제동거리는 몇 m 인가? (단, 엘리베이터 속도는 정격속도에서 선형적으로 감소한다.)
18. 카 내부에 있는 사람에 의한 카문의 개방을 제한하기 위해 엘리베이터 카가 운행 중일 때 카 문의 개방은 최소 몇 N 이상의 힘이 요구되어야 하는가?
19. 소방구조용 엘리베이터의 일반적인 요구조건에 관한 설명으로 옳지 않은 것은?
20. 단일 승강로에 두 대의 엘리베이터를 이용하면서 각각 독립적으로 운행되는 고효율 엘리베이터는?
2과목: 승강기 설계
21. 엘리베이터에서 피트 바닥은 전 부하 상태의 카가 완충기에 작용하였을 때 완충기 지지대 아래에 부과되는 정하중의 최소 몇 배를 지지할 수 있어야 하는가?
22. 엘리베이터의 수평 개폐식 문 중 자동 동력 작동식 문이 닫힐 경우 그 운동에너지는 몇 J 이하여야 하는가? (단, 승강기의 각종 안전장치는 이상 없이 정상 작동하는 경우로 한정한다.)
23. 권동식(드럼식) 권상기의 단점이 아닌 것은?
24. 층고가 3.5m인 지상 10층 건물에 엘리베이터 1대가 설치되어 있다. 엘리베이터의 정격속도는 90m/min일 때 1층에서 10층까지 주행하는데 걸리는 주행시간은 약 몇 초인가? (단, 1층에서 10층 주행시 예상정지수는 5회, 정격속도에 따른 가속시간은 2.2초이고, 도어개폐시간, 승객출입시간, 그 외 각종 손실시간은 제외한다.)
25. 그림과 같은 도르래 장치에서 로핑 비율과 장력 P와 하중 W의 관계로 옳은 것은? (단, 로핑 비율은 “P의 하강거리 : W의 상승거리”로 나타낸다.)
26. 권상도르래의 지름이 720mm이고, 감속비가 45:1, 주파수 60Hz, 전동기 극수 4, 로핑은 1:1 일 경우, 이 엘리베이터의 속도는 약 몇 m/min 인가? (단, 슬립은 없는 것으로 한다.)
27. 파이널 리미트 스위치의 일반적인 요구조건에 관한 설명으로 틀린 것은?
28. 길이 ℓ, 단면적 A인 균일 단면 봉이 인장하중 W를 받아 λ만큼 늘어났을 때 상관관계를 옳게 나타낸 것은? (단, E는 세로탄성계수이고, 후크의 법칙을 만족한다.)




29. 엘리베이터 피트의 피난공간 기준에서 피난 자세에 따라 피난 공간 높이의 기준이 달라지는데 각 자세별로 피난공간 높이 기준이 옳게 짝지어진 것은? (단, 주택용 엘리베이터는 제외한다.)
30. 카 틀 상부체대 중앙에 현수 도르래가 1개 설치된 경우 그림과 같이 양단지지보 중앙에 하중(W)이 작용하는 것으로 볼 수 있다. 이때 상부체대의 최대 변형량(δ, m)을 구하는 식으로 옳은 것은? (단, W는 카 측 총 중량(N), E는 상부체대 재료의 세로탄성계수(N/m2), L는 상부체대 전길이(m), I는 상부체대의 단면 2차 모멘트(m4)이다. 또한 변형량은 W가 작용하는 방향으로의 변형량을 말한다.)




31. 과속조절기 로프에 대한 설명으로 틀린 것은?
32. 소방구조용 엘리베이터는 갇힌 소방관을 구출하기 위한 비상구출문을 카 지붕에 설치해야 하는데, 비상구출문에 대한 각각의 이중천장을 열기 위해 가해야 하는 힘은 몇 N 이하여야 하는가?
33. 모듈이 4인 스퍼 외접기어의 잇수가 각각 30, 60 이라고 할 때 양 축간의 중심거리는?
34. 전동기 동력이 11kW 인 3상 유도 전동기에 대하여 예비전원 소요 용량을 주어진 조건에 의하여 산출하면 약 몇 kVA 가 되는가? (단, 전동기 역률은 55%, 최대 가속전류는 정격전류의 2.8배이고, 소요 예비전원 용량은 가속 시 용량의 1.6배를 적용하며, 주전압은 380V 이다.)
35. 공칭회로의 전압이 500V 초과인 경우 기준에 따라 절연 저항값을 측정할 때 그 값은 몇 MΩ 이상이어야 하는가?
36. 장애인용 엘리베이터의 승강장 바닥과 승강기 바닥 사이의 틈새는 최대 몇 mm 이하이어야 하는가?
37. 로프식 엘리베이터의 속도제어 방식 중 기동과 주행은 고속권선으로, 감속과 착상은 저속권선으로 속도를 제어하는 방식은?
38. 유도전동기가 엘리베이터의 동력용 전동기로 가장 많이 사용되는 이유가 아닌 것은?
39. 엘리베이터의 정격속도가 120m/min 일 때 에너지 분산형 완충기의 행정(stroke)거리는 약 몇 mm 이상이어야 하는가?
40. 점차 작동형 추락방지안전장치가 적용된 엘리베이터의 정격속도가 150m/min 이다. 이 엘리베이터의 과속조절기가 작동되어야 하는 엘리베이터 속도 구간으로 옳은 것은?
3과목: 일반기계공학
41. 그림과 같은 캠에서 ⓐ부분의 명칭으로 옳은 것은?
42. V벨트의 마찰계수가 0.4, V벨트의 단면 각도가 40° 일 때, 유효 마찰계수의 값은?
43. 펌프의 캐비테이션 방지대책으로 틀린 것은?
44. 기계공작법의 소성가공에 대한 설명으로 틀린 것은?
45. 브레이크의 마찰계수를 μ, 드럼의 원주 속도를 v, 접촉면의 압력을 p라 할 때 브레이크 용량을 계산하는 식은?
46. 원형 단면의 단순보에 균일분포하중이 작용할 때 최대 처침량에 대한 설명 중 틀린 것은?
47. 공작기계로 가공된 평면이나 원통면 등을 정밀하게 다듬질하기 위한 수공구는?
48. 유압기기와 관련하여 체크밸브, 릴리프 밸브 등의 입구쪽 압력이 강하하고, 밸브가 닫히기 시작하여 밸브의 누설량이 어느 규정의 양까지 감소했을 때의 압력은? (단, 유압 및 공기압 용어 KS B 0120에 의한다.)
49. 일반 주철에 관한 설명으로 틀린 것은?
50. 압력제어밸브 중 회로 내의 압력이 설정값에 도달하면 오일의 일부 또는 전부를 배출구로 되돌려서 회로 내의 압력을 일정하게 유지되게 하는 역할을 하는 밸브는?
51. 원형 단면 봉에 비틀림 모멘트가 작용할 때 발생하는 비틀림 각에 대한 설명으로 옳은 것은?
52. 지름 110mm, 회전수 500rpm인 축에 묻힘 키를 폭 28mm, 높이 18mm, 길이 300mm로 설계하려고 한다면 키의 전단응력에 의한 최대전달동력(kW)은 약 얼마인가? (단, 키의 허용전단응력은 32MPa 이다.)
53. 타이타늄 합금의 기계적 성질에 관한 설명으로 옳은 것은?
54. 클러치, 캠, 기어 등의 소재 가공 시 강재의 표면만 경화시키는 표면경화법이 아닌 것은?
55. 볼트 체결에 있어서 마찰각을 ρ, 리드각을 λ라고 할 때 나사의 효율(η)을 나타내는 식은?




56. 다음 중 각 탄성계수와 푸와송의 비 μ, 푸아송의 수 m과의 관계를 나타낸 것으로 틀린 것은? (단, 가로 탄성계수는 G, 세로 탄성계수는 E, 체적 탄성계수는 K이다.)




57. 아크(arc)용접에서 언더 컷(undercut)을 방지하는 일반적인 방법으로 틀린 것은?
58. 다음 중 미세한 숫돌가루를 이용하여 표면을 매끈하게 만드는 가공법은?
59. 양 끝을 고정한 연강 봉이 온도 22℃에서 가열되어 40℃가 되었다. 이때 재료 내부에 생기는 열응력(MPa)은 약 얼마인가? (단, 재료의 선팽창계수는 1.2×10-5/℃, 세로탄성계수는 210GPa 이다.)
60. 주형 제작에 사용되는 탕구계(gating system)의 구성요소에 포함되지 않는 것은?
4과목: 전기제어공학
61. 어떤 물체가 1초 동안에 50회전할 때 각속도(rad/s)는?
62. 어떤 전지에 5A의 전류가 10분간 흘렀다면 이 전지에서 발생한 전하량은 몇 C 인가?
63. 전압, 전류, 주파수 등의 양을 주로 제어하는 것으로 응답속도가 빨라야 하는 것이 특징이며, 정전압장치나 발전기 및 조속기의 제어 등에 활용하는 제어방법은?
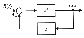
64. 다음 블록선도로 제어계를 구성하여, 시간 t가 0 일 때, 계단함수 1/s를 입력하였다. 이때의 출력은?
65. 150kVA 단상변압기의 철손이 1kW, 전 부하동손이 4kW이다. 이 변압기의 최대 효율은 몇 kVA의 부하에서 나타나는가?
66. 피드백 제어시스템의 피드백 효과로 옳지 않은 것은?
67. 다음 중 절연저항을 측정하는데 사용되는 계측기는?
68. 60Hz, 8극, 8200W의 유도전동기가 있다. 전부하 시의 회전수가 855rpm일 때 전동기의 토크(kg·m)는 약 얼마인가?
69. 교류(Alternating current)를 나타내는 값 중 임의의 순간의 크기를 나타내는 것은?
70. 다음 회로의 전달함수
는? (단, 초기조건 eo(0) = 0 이다.)




71. 그림과 같은 유접점 회로를 논리식으로 나타내면?
72. 전기사용 장소의 사용전압이 380V인 전로의 전로와 대지 사이의 절연저항(MΩ)은 최소 얼마 이상이어야 하는가?
73. 피드백 제어계의 구성 요소 중 제어동작 신호를 받아 조작량으로 바꾸는 역할을 하는 것은?
74. 세라믹 콘덴서 소자의 표면에 103K라고 적혀 있을 때 이 콘덴서의 용량은 약 몇 ㎌ 인가?
75. 저항에 전류가 흐르면 열이 발생하는 열작용과 가장 밀접한 관계가 있는 법칙은?
76. 평형 3상회로에서 상당 저항이 40Ω, 리액턴스가 30Ω인 3상 유도성 부하를 Y결선으로 결선한 경우 복소전력(VA)은? (단, 선간전압의 크기는 100√3 V 이다.)
77. 논리식
와 등가인 것은?

78. 다음 그림과 같은 다이오드 논리 게이트는?
79. 다음 중 옴의 법칙에 대한 설명으로 옳지 않은 것은?
80. 검출기기에서 검출된 온도를 전압으로 변환하는 요소의 종류는?