1과목: 화공열역학
1. 그림에서 동력 W를 계산하는 식은?
2. 다음과 같은 반데르발스(van dar waals) 상태방정식을 이용하여 실제기체의 (∂U/∂V)T를 구한 결과로 옳은 것은? (단, V는 부피, T는 절대온도, a는 상수, b는 상수 이다.)




3. 어떤 화학반응이 평형상수에 대한 온도의 미분계수가
로 표시된다. 이 반응에 대하여 옳게 설명한 것은?
4. 다음 중 브레이튼(Brayton)사이클은?




5. 정압 열용량 Cp를 옳게 나타낸 것은?




6. 열역학적 성질에 관한 설명 중 틀린 것은? (단, Cp는 정압열용량, Cv는 정적열용량, R은 기체상수이다.)
7. 물리량에 대한 단위가 틀린 것은?
8. 그림과 같이 상태 A로부터 상태 C로 변화하는데 A→B→C의 경로로 변하였다. 경로 B→C과정에 해당하는 것은?
9. 이상기체의 단열변화를 나타내는 식 중 옳은 것은? (단, γ는 비열비 이다.)(오류 신고가 접수된 문제입니다. 반드시 정답과 해설을 확인하시기 바랍니다.)




10. 맥스웰 관계식 (Maxwell relation)중에서 옳지 않은 것은?




11. 실험실에서 부동액으로 30mol% 메탄올 수용액 4L를 만들려고 한다. 25℃에서 4L의 부동액을 만들기 위하여 25℃의 물과 메탄올을 각각 몇 L씩 섞어야 하는가?
12. 두 절대온도 T1, T2(T1<T2)사이에서 운전하는 엔진의 효율에 관한 설명 중 틀린 것은?
13. 이상기체인 경우와 관계가 없는 것은? (단, Z는 압축인자이다.)
14. 엔탈피 H에 관한 식이 다음과 같이 표현될 때 식에 관한 설명으로 옳은 것은?
는 P의 함수이고,
는 T의 함수이다.
모두 P의 함수이다.
모두 T의 함수이다.
는 T의 함수이고,
는 P의 함수이다.15. 2몰의 이상기체 시료가 등온가역팽창하여 그 부피가 2배가 되었다면 이 과정에서 엔트로피 변화량은?
16. 기체상의 부피를 구하는데 사용되는 식과 가장 거리가 먼 것은?
17. 과잉특성과 혼합에 의한 특성치의 변화를 나타낸 상관식으로 옳지 않은 것은? (단, H: 엔탈피, V: 용적, M: 열역학특성치, id: 이상용액 이다.)
18. 일정온도 및 압력하에서 반응좌표(reaction coordinate)에 따른 깁스(Gibbs) 에너지의 관계도에서 화학반응 평형점은?
19. 고체 MgCO3가 부분적으로 분해되어 있는 계의 자유도는?
20. 아르곤(Ar)을 가역적으로 70℃에서 150℃로 단열팽창 시켰을 때 이 기체가 한 일의 크기는 약 몇 cal/mol 인가? (단, 아르곤은 이상기체이며,
, 기체상수 R=1.987cal/molk이다.)
2과목: 단위조작 및 화학공업양론
21. 다음 조작에서 조성이 다른 흐름은? (단, 정상상태이다.)
22. 온도는 일정하고 물질의 상이 바뀔 때 흡수하거나 방출하는 열을 무엇이라고 하는가?
23. 섭씨온도 단위를 대체하는 새로운 온도 단위를 정의하여 1기압 하에서 물이 어는 온도를 새로운 온도 단위에서 10도로 선택하고 물이 끊는 온도를 130도로 정하였다. 섭씨 20도는 새로운 온도 단위로 환산하면 몇 도인가?
24. 어떤 여름날의 일기가 낮의 온도 32℃, 상대습도 80%, 대기압 738mmHg에서 밤의 온도 20℃, 대기압 745mmHg로 수분이 포화되어 있다. 낮의 수분 몇%가 밤의 이슬로 변하였는가? (단, 32℃와 20℃에서 포화수중기압은 각각 36mmHg, 17.5mmHg이다.)
25. 29.5℃에서 물의 포화증기압은 0.04ber이다. 29.5℃, 1.0ber에서 공기의 상대습도가 70%일 때 절대습도를 구하는 식은? (단, 절대습도의 단위는 kg H2O/kg 건조공기 이며 공기의 분자량은 29이다.)




26. 이상기체 상수 R의 단위를
로 하였을 때 다음 중 R값에 가장 가까운 것은?
27. 25wt%의 알코올 수용액 20g을 종류하여 95wt%의 알코올 용액×g 과 5wt%의 알코올 수용액 y g으로 분리한다면 x와 y는 각각 얼마인가?
28. 27℃, 8기압의 공기 1kg이 밀폐된 강철용기 내에 들어있다. 이 용기 내에 공기 2kg을 추가로 집어넣었다. 이 때 공기의 온도가 127℃ 이였다면 이 용기 내의 압력은 몇 기압이 되는가? (단, 이상기체로 가정한다.)
29. 다음 실험 데이터로부터 CO의 표준생성열(△H)을 구하면 몇 kcal/mol인가?
30. 10ppm SO2을 %로 나타내면?
31. 본드(Bond)의 파쇄법칙에서 매우 큰 원료로부터 입자크기 DP의 입자들을 만드는데 소요되는 일은 무엇에 비례하는가? (단, s는 입자의 표면적(m2), v는 입자의 부피(m3)를 의미한다.


32. NN(Nusselt number)의 정의로서 옳은 것은? (단, Nst 는 Stanton 수, NPr는 Prandtl 수, K 는 열전도도, D 는 지름, h 는 개별 열전달계수, NRe는 레이놀즈수 이다.)




33. 추출상은 초산 3.27wt%, 물 0.11wt%, 벤젠 96.62wt% 이고 추잔상은 초산 29.0wt%,물 70.6wt%, 벤젠 0.40wt%일 때 초산에 대한 벤젠의 선택도를 구하면?
34. 액-액 주축에서 plait point(상계점)에 대한 설명 중 틀린 것은?
35. 흡수탑의 높이가18m, 전달단위수 NTU(Number of Transfer Unit)가 3일 때 전달단위 높이 HTU(Height of a Transfer Unit)는 몇 m 인가?
36. 열풍에 의한 건조에서 항률 건조속도에 대한 설명으로 틀린 것은?
37. 복사열 전달에서 총괄교환인자 F12 가 다음과 같이 표현되는 경우는? (단, ϵ1, ϵ2 는 복사율이다.)
38. FicK 의 법칙에 대한 설명으로 옳은 것은?
39. 공기를 왕복 압축기를 사용하여 절대압력 1기압에서 64기압까지 3단(3 stage)으로 압축할 때 각 단의 압축비는?
40. 분자량이 296.5 안 oil의 20℃ 에서의 점도를 측정하는데 Ostwald 점도계를 사용했다, 이 온도에서 증류수의 통과시간이 10초이고 oil 의 통과시간이 2.5분 걸렸다. 같은 온도에서 증류수의 밀도와 oil 의 밀도가 각각 0.9982g/cm3, 0.879g/cm3 이라면 이 oil의 점도는?
3과목: 공정제어
41. 라플라스 변환에 대한 것 중 옳지 않은 것은?




42. Laplace 함수가
인 함수 X(t) 의 final value는 얼마인가?
43. 오버슈트 0.5인 공정의 감쇠비(decay ratio)는 얼마인가?
44. 전달함수가 다음과 같은 2차 공정에서 τ1>τ2이다. 이공정에 크기 A인 계단 입력화가 야기되었을 때 역응답이 일어날 조건은?
45. 공정유체 10m3를 담고 있는 완전혼합이 일어나는 탱크에 성분 A를 포함한 공정유체가 1m3/h 로 유입되며 또한 동일한 유량으로 배출되고 있다. 공정유체와 함께 유입되는 성분 A 의 농도가 1시간을 주기로 평균치를 중심으로 진폭 0.3mol/L 로 진동하며 변한다고 할 때 배출되는 A의 농도변화의 진폭은 약 몇 mol/L 인가?
46. 기초적인 되먹임제어(feedback control) 형태에서 발생기는 여러 가지 문제점들을 해결하기 위해서 사용되는 보다 진보된 제어방법 중 smith Predictor는 어떤 문제점을 해결하기 위하여 채택된 방법인가?
47. 다음 중 ATO(Air-To-Open)제어밸브가 사용되어야 하는 경우는?
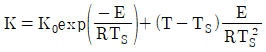
48. 영점(zero)이 없는 2차공정의 Bode 선도가 보이는 특성을 잘못 설명한 것은?
49. 다음 그림과 같은 계에서 전달함수
는?




50. 공정의 전달함소와 제어기의 전달함수 곱이 GOL(s)이고 다음의 식이 성립한다 이 제어시스템의 Gain Margin(GM)과 Phase Margin(PM)은 얼마인가?
51. 차압 전송기(differential pressure transmitter)의 가능한 용도가 아닌 것은?
52. 되먹임 제어계가 안정하기 위한 필요충분조건은?
53. 다음 보드(bode)선도에서 위상각여유(Phase margin)는 몇 도인가?
54. 현대의 화학공정에서 공정 제어 및 운전을 엄격하게 요구하는 주요 요인으로 가장 거리가 먼 것은?
55. 다음 공정과 제어기를 고려할 때 정상상태(steady-state)에서 y값은 얼마인가?
56. 다음 블록선도에서
는 무엇인가?




57. PID 제어기 조율에 대한 지침 중 잘못된 것은?
58. 그림과 같은 보드선도로 나타내어지는 시스템은?
59. 반응속도 상수는 다음의 아레니우스(Arrhenius) 시으로 표현될 수 있다. 여기서 조성 K0와 E 및 R은 상수이며 T는 온도이다. 정상상태 온도 TS에서 선형화 시킨 K의 표현으로 타당한 것은?




60. 비례대(proportional band)의 정의로 옳은 것은? (단 Kc는 제어기 비례이득이다.)


4과목: 공업화학
61. 다음 중 테레프탈산 합성을 위한 공업적 원료로 가장 거리가 먼 것은?
62. 수평균 분자량이 100000인 어떤 고분자 시료 1g과 수평균 분자량이 200000인 같은 고분자 시료 2g을 서로 섞으면 혼합시료의 수평균 분자량은?
63. 삼산화황과 디메틸에테르를 반응시킬 때 주생성물은?
64. 고분자전해질 연료전지에 대한 설명 중 틀린 것은?
65. 첨가축합에 의해 주로 생성되는 수지가 아닌 것은?
66. 황산 제조 시 원료로 FeS2나 금속 제련가스를 사용할 때 H2S를 사용하여 제거시키는 불순물에 해당하는 것은?
67. LPG에 대한 설명 중 틀린 것은?
68. 커플링(coupling)은 어떤 반응을 의미하는가?
69. 다음의 인산칼슘 중 수용성 성질을 가지는 것은?
70. 중질유와 같이 끓는점이 높고 고온에서 분해하기 쉬우며 물과 섞이지 않는 경우에 적당한 증류방법은?
71. 수산화나트륨을 제조하기 위해서 식염을 전기분해 할 때 격막법 보다 수은법을 사용하는 이유로 가장 타당한 것은?
72. Sylvinite 중 NaCl의 함량은 약 몇 wt%인가?
73. 접촉식 황산제조법에 대한 설명 중 틀린 것은?
74. 염화수소 가스 42.3kg을 물 83kg에 흡수시켜 염산을 조제할 때 염산의 농도 백분율(wt)은? (단, 염화수소 가스는 전량 물에 흡수된 것으로 한다.)
75. 다음 중 암모니아 산화반응 시 촉매로 주로 쓰이는 것은?
76. 파장이 600nm인 빛의 수파수는?
77. 다음 중 유화중합 반응과 관계없는 것은?
78. 석유화학에서 방향족 탄화수소의 정제방법 중 용제추출법이 있어서 추출용제가 갖추어야 할 요건 중 옳은 것은?
79. 페놀수지에 대한 설명 중 틀린 것은?
80. 암모니아 소다법의 주된 단점에 해당하는 것은?
5과목: 반응공학
81. A→4R인 기상 반응에 대해 50% A와 50% 불활성기체 조성으로 원료를 공급할 때 부피팽창계수(ϵA)는? (단, 반응은 완전히 진행된다.)
82. 1atm, 610K에서 다음과 같은 가역 기초반응이 진행될 때 평형상수 KP와 정반응 속도식 kP1PA2의 속도상수 kP1이 각각 0.5atm-1과 10mol/Lㆍatm-2ㆍh일 때 농도항으로 표시되는 역반응 속도 상수는? (단, 이상기체로 가정한다.)(오류 신고가 접수된 문제입니다. 반드시 정답과 해설을 확인하시기 바랍니다.)
83. 직렬반응 A→R→S의 각 단계에서 반응속도상수가 같으면 회분식 반응기 내의 각물질의 농도는 반응시간에 따라서 어느 그래프처럼 변화하는가?




84. A→P 1차 액상 반응이 부피가 같은 N개의 직렬 연결된 완전혼합 흐름반응기에서 진행될 때 생성물의 농도변화를 옳게 설명한 것은?
85. 액상 비가역 반응 A→R의 반응속도식은 -rA=kCA로 표시된다. 농도 20kmol/m3의 반응물 A를 정용 회분반응기에 넣고 반응을 진행시킨지 4시간만에 A의 농도가 2.7kmol/m3로 되었다면 k값은 몇 h-1인가?
86. 이상적 혼합 반응기(idal mixed flow reactor)에 대한 설명으로 옳지 않은 것은?
87. 이상기체 반응 A→R+S가 순수한 A로부터 정용회분식 반응기에서 진행될 때 분압과 전압간의 상관식으로 옳은 것은? (단, PA:A의 분압, PR:R의 분말, π0:초기분압, π:전압)
88. 회분식 반응기에서 속도론적 데이터를 해석하는 방법 중 옳지 않은 것은?
89. 다음 반응에서 원하는 생성물을 많이 얻기 위해서 반응 온도를 높게 유지하였다. 반응 속도 상수 k1, k2, k3의 활성화 에너지 E1, E2, E3을 옳게 나타낸 것은?
90. 다음과 같은 1차 병렬 반응이 일정한 온도의 회분식 반응기에서 진행되었다. 반응시간이 1000s일 때 반응물 A가 90% 분해되어 생성물을 R이 S의 10배로 생성되었다. 반응초기에 R과 S의 농도를 0으로 할 때, k1 및 k1/k2은 각각 얼마인가?
91. 0차 균질 반응이 -rA=10-3mol/Lㆍs로 플러그흐름 반응기에서 일어난다. A의 전환율이 0.9이고, CAO=1.5mol/L일 때 공간시간은 몇 초인가? (단, 이 때 용적 변화율은 일정하다.)
92. 다단완전 혼합류 조작에 있어서 1차 반응에 대한 체류시간을 옳게 나타낸 것은? (단, k는 반응속도 정수, t는 각단의 용적이 같을 때 한단에서의 체류 시간, XA0는 n단 직렬인 경우의 최종단 출구에서의 A의 전화율, n은 단수이다.)
93. 일반적으로 암모니아(ammonia)의 상업적 합성반응은 다음 중 어느 화학반응에 속하는가?
94. 반응기에 유입되는 물질량의 체류시간에 대한 설명으로 옳지 않은 것은?
95. A→R인 반응의 속도식이 -rA=1mol/Lㆍs로 표현된다. 순환식 반응기에서 순환비를 3으로 반응시켰더니 출구 농도 CAf가 5mol/L로 되었다. 원래 공급물에서의 A농도가 10mol/L, 반응물 공급속도가 10mol/s 이라면 반응기의 체적은 얼마인가?
96. 다음의 병행반응에서 A가 반응물질, R이 요구하는 물질일 때 순간수율(instantaneous fractional yield)은?
97. Arrhenius 법칙이 성립할 경우에 대한 설명으로 옳은 것은? (단, k는 반응속도 상수이다.)
98. 체류시간 분포함수가 정규분포함수에 가장 가깝게 표시되는 반응기는?
99. 다음 중 다음이 진행되는 동안 반응기 내의 반응물과 생성물의 농도가 같을 때 반응속도가 가장 빠르게 경우는?
100. 반응물 A와 B의 농도가 각각 2.2×10-2mol/L와 8.0×10-3이며 반응속도상수가 1.0×10-2L/lmolㆍs일 때 반응속도는 몇 mol/Lㆍs 이겠는가? (단, 반응차수는 A와 B에 대해 각각 1차이다.)
따라서, 이 그림에서는 물의 높이가 다르기 때문에 높이가 높은 쪽에서 낮은 쪽으로 압력이 전달되어 동력이 발생한다. 이 동력은 높이 차이에 비례하므로, W=(HB-HC)-(HA-HD)가 된다. 이 식은 높이 차이를 계산하여 동력을 구하는 것으로, 높이 차이가 클수록 동력이 크다는 것을 나타낸다.