1과목: 디지털 전자회로
1. 베이스 공통 증폭회로의 특징으로 틀린 것은?
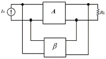
2. 그림은 부궤환 연결방식 중 어떤 방식인가?
3. 초대 표현 숫자가 256 종류인 경우 이를 표현하기 위하여 몇 비트의 디지트가 필요하게 되는가?
4. 발진기에서 이용되는 궤환회로로 옳은 것은?
5. 다음의 회로 중에서 입력 전압의 기준 레벨 이상이 되면 일정하게 차단시키는 회로는 다음 중 어느 것인가?
6. 소신호 증폭이나 트랜지스터의 활성영역에서만 동작하게 만든 증폭기는?
7. 다음 회로의 설명으로 틀린 것은?
8. 다음의 설명 중 레지스터(Register)의 기능으로 옳은 것은 다음 중 어느 것인가?
9. J-K 플립플롭에서 J, K의 입력과 과거 출력 Q(t)를 이용하여 현재 출력 Q(t+1)을 결정하는 식으로서 옳은 것은 다음 중 어느 것인가?




10. 다음 중 그레이 부호(Gray Code)를 바르게 설명한 것은 다음 중 어느 것인가?
11. 다음 회로의 명칭으로 옳은 것은 어느 것인가?
12. 다음 회로에서 입력신호에 대한 출력 신호는?




13. 다음 중 교류 신호를 구성하는 기본적인 요소가 아닌 것은 다음 중 어느 것인가?
14. 2진수 0과 1을 조합하여 어떤 형태의 기호라도 표현할 수 있도록 부호화를 행하는 디지털 논리회로를 무엇이라고 하는가?
15. Vs=10 sin ωt[V]이고 R=2[kΩ]일 때 10분 동안 저항에서 소비된 총 전력을 구하라? (다이오드는 이상적인 정류형 다이오드이다.)
16. 가변 커패시터로 사용하기 위해서 사용되는 다이오드는?
17. 응용 논리 회로의 설계에 사용되는 PLA(Programmed Logic Array) 내부는 어떤 논리 소자의 array로 구성되어 있는가?
18. 아날로그 변조 방식에서 진폭변조(AM)의 개념을 바르게 설명한 것은 다음 중 어느 것인가?
19. LC 궤환 발진기가 아닌 것은?
20. 다음 그림의 논리회로는 어떠한 기능을 수행하는가?
2과목: 방송통신 기기
21. 다음 그림은 NTSC TV 신호의 주파수 스펙트럼을 도식화한 것이다. (가), (나)의 주파수로 맞게 짝지어진 것은?
22. 디지털 위성방송의 수신 시스템에 구성 요소가 아닌 것은?
23. 다음 중 방송국 스튜디오 설비에 속하지 않는 것은?
24. 다음 중 위성의 규모를 작게 하고 고품질을 수신하기 위한 것과 거리가 먼 것은?
25. 디지털 위성방송의 송신부에서 비디오 신호(SD급)를 디지털로 변환 후 압축하는 방식은?
26. 아날로그 신호를 디지털 신호로 변환할 때 표본화된 신호값을 일정한 스텝의 정수배로 표현하는 과정에서 표본값과 차이가 잡음으로 나타나는 것을 무엇이라 하는가?
27. 스피커에서 나온 소리가 마이크로폰으로 수음되어 증폭되고, 다시 스피커로부터 송출되어 계속 반복되는 발진현상을 무엇이라 하는가?
28. 디지털 영상신호 중 SDTV 스튜디오 규격으로 휘도신호의 표본화 주파수는 무엇인가?
29. 분배센터에서 가입자가 속한 셀 노드(Node)까지는 광케이블로 연결하고 셀 노드에서 가입자까지는 동축케이블을 이용하는 망구성 방식을 무엇이라 하는가?
30. AM 라디오 방송 신호에 반송파를 삽입하는 이유는?
31. 방송국 송신소의 주요 설비가 아닌 것은?
32. 다음은 국내 초단파(VHF) 대역의 주파수 분배 내역이다. 옳지 않은 것은?
33. 다음 중 송출기 시험시 스퓨리어스 발사강도가 허용치 아내인지를 조사할 수 있는 장비는?
34. 슈퍼헤테로다인 수신기에 관한 설명 중 틀린 것은?
35. NTSC 방식 TV 방송의 1개 채널 대역폭은 얼마인가?
36. TV 동기 신호에 대한 다음 설명 중 틀린 것은?
37. 다음 중 FM 수신기에서 송신시 강조되었던 고주파 성분을 수신시에 원상 회복하는 회로는?
38. TV 신호 크기는 IRE 단위로 표시한다. 수평동기신호는 몇 [IRE]이고, 크기는 몇 [Vpp] 인가?
39. 영상, 음성 등의 아날로그 신호를 디지털 신호로 변환하는 PCM의 표본화 단계에서 최소 어느 정도의 빈도로 표본화를 하여야 원신호 복구가 가능한가?
40. 다음 중 우리나라 지상파 디지털 TV의 변조방식은 무엇인가?
3과목: 방송미디어 개론
41. 우리나라 FM 방송의 사용주파수 대역에서 1채널간의 주파수대역은?
42. 다음은 아날로그 TV 신호를 전송하기 위한 휘도 신호 Y를 합성하기 위해 적색(R), 녹색(G), 청색(B)을 합성하는 공식이다. ( )에 들어갈 숫자로 가장 적당한 것은?
43. 영상을 압축하는 방식 중 반복되어 나타나는 블록 정보들을 그 반복 횟수로 표현하는 부호화 방식은?
44. CATV 방송 시스템의 기본 구성에서, 지상파 텔레비전 방송이나 위성 텔레비전 방송 프로그램을 수신하고 채널 등을 변환하여 동축 케이블 또는 광케이블로 송출하거나, CATV 방송 사업자가 자체적으로 제작한 프로그램이나 프로그램 공급자로부터 공급받은 프로그램을 케이블로 송출하는 설비는?
45. 유럽의 디지털 지상파 방송(DVB-T) 방식에 사용되는 오디오 압축규격은?
46. 음성신호압축방식 중 펄스부호변조(PCM) 시스템의 기본 구성을 순서대로 나열한 것 중 적당한 것은?
47. 화면에 다음 보기의 영상이 있을 때 화면내의 상관도가 가장 높은 경우는?
48. 지향성 좋은 고감도 마이크를 긴 장대 위에 매달아 음원을 향하여 이동하면서 흡음하는 장치는?
49. RF 신호를 불균형적으로 분배하고자 할 때 사용되는 수동기기로 통상 삽입손실을 최소화 하고자 하는 2분기 형태로 사용되는 것으로 적절한 것은?
50. 종합유선방송국으로서 각 지역을 분할해 케이블 방송을 전송하거나 지역 방송을 제작해 전송하는 사업자는?
51. 무궁화 위성은 적도상공 몇 [km] 정지궤도에 위치하는가?
52. 다음 중 뉴미디어의 일반적인 특징과 거리가 먼 것은?
53. 네트워크 통신에서 생기는 여러 가지 충돌 문제를 완화하기 위하여, 국제표준기구(ISO)에서 표준화된 네트워크 구조인 OSI 모델에서 최하위 계층은?
54. 우리나라 디지털 CATV의 전송방식은?
55. 영문 코드를 표현하는 ASCII 방식으로 표현 가능한 코드의 수는?
56. 가청 주파수 대역에 모든 주파수 성분이 일정한 크기로 분포하는 신호로 음향 측정에 사용되는 것은?
57. 개발자가 구조화된 문서를 정의하고 자유롭게 태그를 정의할 수 있다는 SGML의 장점과 인터넷상에서 손쉽게 하이퍼미디어 문서를 제공할 수 있는 HTML의 장점을 그대로 보유하고 있는 데이터 저장과 전송을 위한 마크업 언어(Markup Language)는?
58. 우리나라에서 사용되는 지상파 DMB 방송의 전송방식은?
59. 오디오의 음질을 가공하기 위한 이펙터(effecter)의 분류에서 오디오의 주파수 영역의 조정을 통해 음색을 보정하는 장비는?
60. 우리나라 지상파 디지털방송(DTV)에 사용되는 방송방식은?
4과목: 전자계산기 일반 및 방송설비기준
61. 분배기 및 분기기의 기준에서 유휴 분배단자와 유휴 분기단자는 사용회선에 영향을 미치지 아니하도록 몇 옴[Ω]으로 종단하여야 하는가?
62. 데이터방송의 정의에서 데이터를 정확히 표현한 항목은?
63. 다음은 운영체제의 목적 중에서 원하는 시간 내에 시스템을 얼마나 빨리 사용할 수 있는가의 정도를 나타내는 것은 무엇에 해당되는가?
64. Daisy-chain 인터럽트 처리 방식의 설명으로 잘못된 것은?
65. 음반ㆍ비디오물 및 게임물에 관한 법류에 해당되는 방송은?
66. 88-51을 10의 보수를 이용하여 구하라?
67. 운영체제가 유저에게 제공하는 기능이 아닌 것은?
68. 공사의 사용 전 검사에서 대통령령으로 정하는 공사가 아닌 항은?
69. 10진수 23을 2진수로 변환하라?
70. 다음 운영체제의 기본적인 기능 중 틀린 것은 어느 것인가?
71. 다음 연산의 결과로 옳은 것은?
72. 전송망 사업의 정의에서 ( )에 해당되는 항은?
73. 정보통신 공사업법의 방송설비공사에서 방송국 설비공사가 아닌 항은?
74. 방송의 정의에 해당되지 않는 항은?
75. ALU(연산논리장치)에 대한 설명 중 아닌 것은?
76. 다음 숫자의 코드에 대한 설명 중 틀린 것은?
77. 다음 중 입력장치만으로 구성된 항은?
78. 다음 자료구조 중 스택이 사용되는 경우가 아닌 것은?
79. 다음은 방송 공동 수신설비에 사용하는 설비이다. 관련 없는 항은?
80. 감리원의 업무범위에서 검토ㆍ확인 사항이 아닌 것은?