1과목: 기계가공법 및 안전관리
1. 자전거에 쓰이는 프레임용 파이프를 제작하는 방법은?
2. 밀링머신의 작업종류가 아닌 것은?
3. 높이를 측정하거나 스크라이버 끝으로 금긋기 작업을 할 수 있는 측정기는?
4. 경도가 가장 큰 열처리 조직은?
5. 사인바(sine bar)에 관하여 틀리게 설명한 것은?
6. 버핑(buffing)머신은 무엇을 할 때 사용하는 기계인가?
7. 강철의 표면 경화법이 아닌 것은?
8. 단조를 온도에 따라 구분할 때 냉간단조에 해당되지 않는 것은?
9. 탄소강선의 냉간 인발에 있어서 가공경화가 나타나 계속작업이 어려울 때 조직을 솔바이트상 펄라이트 화 시키는데 이용되는 방법으로 염욕로중에서 항온변태를 일으키게 하는 열처리 방법은?
10. 단조중 업셋(Up set)작업에 대하여 올바르게 나타낸것은?
11. 100mm 의 사인바( Sine Bar)에 의해서 30˚를 만드는데 필요한 블록게이지가 다음과 같이 준비되어 있을때, 필요없는 것은?
12. 리벳(rivet)작업 용구와 관계가 없는 것은?
13. 절삭 작업에서 절삭 저항력이 150kgf, 절삭속도가 60m/min라면 절삭동력은 몇 PS인가?
14. Wm은 주물의 중량, Sm은 주물의 비중이고, Wp는 목형의 중량, Sp는 목형의 비중이라 할 때 옳은 관계식은?




15. 다이스나 롤(roll) 등의 성형공구를 회전 또는 직선운동 시키면서 그 사이에 소재를 밀어 넣어 회전시켜서 성형하는 가공법으로 나사, 기어 등의 생산에 이용되는 가공은?
16. 다음 가공법 중 소성가공에 속하지 않는 것은?
17. 리드 스크루 1인치에 6산의 선반으로 1인치에 대하여 5(1/2)산의 나사를 깎으려고 할 때, 변환기어의 잇수는?(단, 주동축 기어: A 중동축 기어: C 이다.)
18. 주물사의 주성분이 되는것은?
19. 표준게이지(standard gauge)에 해당되지 않는 것은?
20. 연삭 가공된 표면에 떨림(chatter)이 나타나는 원인이 아닌 것은?
2과목: 기계설계 및 기계재료
21. 순철에서 일어나지 않는 변태는?
22. 금속의 일반적인 특성이 아닌것은?
23. 6:4 황동에 1~2% Fe를 첨가하여 결정입자를 미세화시키고 강도를 증가시킨 합금을 무엇이라 하는가?
24. 다음 구조용 복합재료 중 섬유강화 금속은 어느 것인가?
25. 다음 원소들 중에서 용융점이 가장 낮은 것은?
26. 뜨임처리 목적으로 틀린 것은?
27. 일반적으로 냉간가공과 열간가공의 기준은 무엇으로 하는가?
28. 강의 표면경화법으로서 표면에 Al을 침투시키는 표면경화법은 어느것인가?
29. 탄소강에 나타나는 취성과 원인들이다. 틀린것은?
30. 공구재료가 갖추어야 할 일반적 성질 중 틀린 것은?
31. 지름 14mm의 연강봉에 800kgf의 인장하중이 작용할 때 발생하는 응력은 얼마 정도인가?
32. 축을 설계할 때 고려해야 할 사항이 아닌 것은?
33. 2줄 나사의 리드가 3mm 일 때 피치는 얼마인가?
34. 다음중 베어링이 갖추어야 할 특성으로 적당하지 않는 것은?
35. 바깥지름 192mm, 잇수가 62인 표준 스퍼기어의 모듈은?
36. 축이 베어링과 접촉하여 받쳐지고 있는 축 부분을 무엇이라 하는가?
37. 26000kgf・mm의 토오크를 받는 지름 80mm의 회전축에 사용하는 키이가 (b x h x l)=(18 x 12 x 100)mm이다. 이 때 키이에 생기는 전단응력은 몇 kgf/mm2인가?
38. 기본 부하 용량이 32kN인 단열 깊은 홈형 볼 베어링이 800rpm으로 회전하면서 4kN의 레이디얼 하중을 받고 있을 때 이 베어링의 수명은 약 몇 시간인가?
39. 역류를 방지하여 유체를 한쪽 방향으로만 흘러가게 하는 밸브(valve)로 적합한 것은?
40. 큰축과 고속도 정밀 회전축에 적당하고, 공장의 전동축 또는 일반 기계축의 이음에 널리 쓰이고 있는 커플링으로 가장 알맞은 것은?
3과목: 컴퓨터응용가공
41. 다음 투상의 평면도에 해당하는 것은?




42. DXF(Datea Exchange File) 파일의 섹션구성에 해당되지 않는것은?
43. 어떤 도형을 X축을 2배, Y축을 3배하려고 할때 변환행렬 T는 어느것인가?




44. 보기의 입체도를 화살표 방향에서 본 투상도로 맞는것은?




45. 다음 CAD 시스템에서 사용되고 있는 출력장치들이다. 이 중 래스터 스캔(raster scan)방식을 이용한 장치가 아닌것은?
46. 중심선이 (0,0)이고 반지름이 r인 원을 매개변수식으로 나타낸 것중 맞는것은? (단, 0 ≦ θ ≦ 2π )
47. 치수 보조선에 대한 설명으로 옳지 않은 것은?
48. 가상현실 장비의 주요 모듈로는 머리 부착 디스플레이장치, 신체 추적 수신기, 동작 감지기 등이 있다. 이들 모듈에서 사용되고 있는 계산 모델의 차수는?
49. 점 P의 좌표가 x=6, y=4 일때 원점을 중심으로 시계 반대 방향으로 90 ̊회전시킨 점 P` 는?
50. 유니파이 나사의 호칭 1/2-13UNC에서 13이 뜻하는 것은?
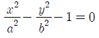
51. 널리 사용되는 원추 단면 곡선에는 원, 타원,포물선 및 쌍곡선등이 있다. 포물선을 음함수 형태로 표시한 식은?


52. 기하공차의 부가 기호 중 돌출 공차역을 나타내는 것은?
53. 평면상에서 하나의 원 (circle)을 기하학적으로 정의 하는 방법으로 맞지 않는 것은?
54. 코일스프링의 제도방법 중 틀린 것은?
55. 컴퓨터의 주기억장치와 CPU의 처리속도 때문에 개발된 것은 어느 것인가?
56. 평벨트 풀리의 도시법이아닌 것은?
57. 도면에 두 종류 이상의 선이 같은 장소에 겹치는 경우 다음 중 가장 우선적으로 그려야 할 선은?
58. 다음 보기 중 서로 관련성이 없는 것은?
59. KS규격 끼워맞춤에서 ø50H7m6은 어떤 끼워맞춤을 의미하는가?
60. 기계제도에서 사용하는 도면의 폭과 길이의 비는?
4과목: 기계제도 및 CNC공작법
61. 다음 중 공간상에 존재하는 여러 점을 모두 지나는 자유곡선을 모델링하는 것은?
62. 서보모터에서위치 및 속도를 검출하고기계의위치는 볼스크루에 의해서제어되는 방식은?
63. NC 프로그래밍에 관한 설명 중 틀린 것은?
64. 다음 중 머시닝센터의 특징이 아닌 것은?
65. 다음 중 솔리드 모델 생성에 사용되는 표현방식에 포함되지 않는 것은?
66. 3차원 solid primitive가 아닌 것은?
67. CNC 선반의 NC 프로그램에서 절대지령과 증분 지령에 관한 설명이다. 틀린 것은?
68. 주축 회전수 N=1500rpm, 가공물의 직경 ø20mm인 연강을 CNC 선반에서 절삭할 대 절삭 속도는 몇 m/min 인가?
69. CNC 선반에서 바이트의 인선(nose)반경을 R , 이송을 f 라 하면 다듬질의 표면 거칠기 (Hmax)는 다음 중 어떤식으로 계산 할 수 있는가?




70. 다음에서 BOM(Bill of Material) 에 해당되는 것은?
71. 400rpm으로 회전하는 스핀들에서 4회전 드웰(dwell)을 지정하려면 몇 초간 정지지령을 사용해야 하는가?
72. 다음중 NC 가공을 위한 입력모델로 부적당한 것은?
73. 블렌딩 함수로 베른스타인(bernstein)다항식을 사용한 곡선 방정식은?
74. CNC 공작기계 운전 중 충돌위험이 발생할 때 신속하게 취하여야 할 조치는?
75. 다음중 백 래쉬 (Back Lash)보정 기능에 관한 설명으로 맞는 것은?
76. CAM 가공에서 도형정의 및 운동정의 된 APT 언어를 각종 CNC 기계에 맞게 NC 데이터로 변화시켜주는 업무를 수행하는 것을 맞는 것은?
77. 다음 중 솔리드 모델 (Solid Model) 이 만족하지 않는 성질은 무엇인가?
78. 머시닝 센터 가공에서 M10x1.5의 탭핑작업을 할경우 테이블 이송속도 F=60mm/min 일때 주축의회전 수 (rpm)는?
79. CAD 시스템에서 곡선을 표시하는데 3차식을 사용하는 이유로 적당한 것은?
80. 다음중 G-코드의 설명으로 잘못된 것은?