1과목: 기계가공법 및 안전관리
1. 강판으로 된 재료에 암나사 가공을 하는데 사용되는 것은?
2. 브로치 가공에 대한 설명 중 옳지 않은 것은?
3. 전해연마의 특징에 대한 설명으로 틀린 것은?
4. 연삭숫돌에 사용되는 숫돌 입자 중 천연산인 것은?
5. 연삭숫돌을 교환한 후 시운전 시간은 어느 정도로 하는가?
6. 기계부품 또는 공구의 검사용, 게이지 정밀도 검사 등에 사용하는 게이지 블록은?
7. 기어(gear)의 이(tooth)수를 등분하고자 할 때 사용하는 밀링 부속품은?
8. 윤활유의 사용목적과 거리가 먼 것은?
9. 밀링에서 지름 150mm 커터를 사용하여 160rpm으로 절삭한다면 이 때 절삭속도는 약 몇 m/min인가?
10. 양두(羊頭)그라인더의 숫돌차로 일감을 연삭할 때 받침대와 숫돌의 간격은 몇 mm 이내로 조정하는가?
11. 비교측정의 장점이 아닌 것은?
12. 다음 그림은 밀링에서 더브테일 가공도면이다. X의 치수로 맞는 것은?
13. 래핑작업의 장점이 아닌 것은?
14. 선반 바이트의 설치 요령이다. 적합하지 않은 것은?
15. 수평식 보링 머신 중 새들이 없고, 길이방향의 이송은 드를 따라 컬럼이 이송되며, 중량이 큰 가공물을 가공하기에 가장 적합한 구조를 가지고 있는 형은?
16. 연삭 작업 시 주의할 점에 대한 설명으로 틀린 것은?
17. 절삭공구 재료에서 W, Cr, V, Co 등의 원소를 함유하는 합금강은?
18. 밀링 머신에서 하향 절삭에 비교한 상향절삭의 장점은 어느 것인가?
19. 선반의 베드(bed)에 관한 설명으로 틀린 것은?
20. 다음 중 드릴 가공의 종류가 아닌 것은?
2과목: 기계설계 및 기계재료
21. 다음 담금질 조직 중에서 용적변화(팽창)가 가장 큰 조직은?
22. 18-8형 스테인리스강에 대한 특징을 설명한 것으로 틀린 것은?
23. 다음 중 복합재료에서 섬유강화금속은?
24. 두랄루인은 기계적 성질이 탄소강과 비슷하며 비중은 1/3 정도로 가벼워서 항공기용 재료로 많이 사용되고 있다. 투랄루민의 성분을 올바르게 나타낸 것은?
25. 다음 중 뜨임처리 목적으로 틀린 것은?
26. 다음 중 금속 침투법 중에서 Al를 침투 시키는 것은?
27. 공정이 잇는 합금계에서 공정성분에 가까울수록 변화하는 성질을 설정한 것으로 틀린 것은?
28. 일반적으로 탄소강에서 탄소량이 증가할수록 증가하는 물리적 성질은?
29. 전연성이 좋고 색깔도 아름답기 때문에 장식용 금속잡화, 악기 등에 사용되고, 박(foil)으로 압연하여 금박의 대용으로도 사용되는 것은?
30. 다음 금속 중 전기 전도율이 가장 큰 것은?
31. 1200rpm으로 2kW의 동력을 전달시키려고 할 때 기어잇수 Z=20, 모듈 m=4인 스퍼기어의 이에 걸리는 힘(피치원 접선방향 힘)은 약 몇 N 인가?
32. 미끄럼 베어링 재료의 구비조건으로 틀린 것은?
33. 다음 중 동력전달장치로서 운전이 조용하고, 무단변속을 할 수 있으나 일정한 속도비를 얻기가 힘든 것은?
34. 단면 50mm×50mm이고, 길이 100mm의 탄소강재가 있다. 여기에 10kN의 인장력을 길이 방향으로 주었을 때, 0.4mm가 늘어났다면, 이 때 변형률은 얼마인가?
35. 동일 조건하에서 코일 스프링 처짐량을 2배로 하려면, 유효감김수는 몇 배가 되어야 하는가? (단, 스프링 소선 지름, 코일 평균 지름, 작용하중 및 스프링의 전단탄성계수 등은 일정하다.)
36. 로프 전동의 특징에 대한 설명으로 틀린 것은?
37. 그림과 같은 블록 브레이크에서 드럼축에 156.96N·m의 제동코크를 발생시키기 위해, 레버 끝에 F=981N의 힘이 필요한 경우, 레버의 길이 a는 약 몇 mm인가? (단, 블록과 드럼사이 마찰계수 μ=0.2 이다.)
38. 다음 그림과 같은 맙대기 용접 이음에서, 인장하중 W[N], 강판의 두께 h[mm]라 할 때 길이ℓ[mm]를 구하는 식으로 가장 옳은 것은? (단, 상하의 용접부 목두께가 각각 t1[mm], t2[mm] 이고, 용접부에서 발생하는 인장응력σt[N/mm2]이다.




39. 미터나사의 피치가 3mm이고 유효 지름 d는 22.051mm 일 때 나사 효율 η는 약 얼마인가? (단, 마찰 계수 μ = 0.105 이다.)
40. 400rpm으로 4kW의 동력을 전달하는 중실 스핀들 축의 최소 지름은 약 몇 mm인가? (단, 축의 허용전단응력은 20.60MPa 이다.)
3과목: 컴퓨터응용가공
41. 도넛과는 달리 구멍이 없는 형태의 간단한 다면체의 경계를 표현하는 오일러 공식은? (단, V는 꼭짓점의 수, E는 모서리의 수, F는 면의 수를 의미한다.)
42. 자율곡면을 모델링할 때 곡면을 분할하여 정의하는 것이 효율적이다. 이처럼 분할된 단위 곡면을 무엇이라고 하는가?
43. 3차원 물체의 형상을 물체상의 점과 특징선만을 이용항 표현하는 방법은?
44. 다음은 가공 경로 계획에서 parmetric 방식과 Cartesian방식을 비교하여 설명한 것이다. Cartesian 방식에 대한 설명으로 적절한 것은?
45. 솔리드 모델링에서 사용되는 일반적인 불리안(Boolean)연산 방법이 아닌 것은?
46. 3차원 형상 모델을 표현하는 방식 중에서 와이어프레임모델링(wireframe modeling)방식의 특징이 아닌 것은?
47. 다음 그림과 같이 2차원 단면 곡선을 정해진 궤적을 ᄄᆞ라 이동시켜서 3차원 형상을 생성시키는 슬리드 모델링 기법은?
48. 다음은 통합 CAD/CAM 시스템을 사용한 파트 프로그래밍 방법의 단계이다. 그 순서를 가장 알맞게 배열한 것은?
49. 서로 다른 CAD/CAM 시스템 사이에 제품 정의 데이터를 교환하기 위하여 개발한 최초의 표준 교환 형식은?
50. B-spline과 NURB 곡선에 대한 설명으로 잘못된 것은?
51. CAD 프로그램에서 자유 곡선을 표현할 때 주로 많이 사용하는 방정식의 형태는?
52. CAD시스템에 사용되는 입력장치에 해당되지 않는 것은?
53. 다음 중 분산 처리형 시스템이 갖추어야 할 기본 성능이 아닌 것은?
54. 다음 중 중앙처리장치(CPU)의 구성요소가 아닌 것은?
55. 3차원 뷰잉(viewing) 기법 중 아이소메트릭 투영(isometric projection)에 해당하는 투명 기법은?
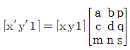
56. 2차원 좌표[x,y,1]와 동차 변환행렬
를 이요한 회전변환에서 회전축은?
57. 다음은 2차원에서 동차좌표에 의한 변환행렬을 나타낸 것이다. 평행 이동에 관계되는 것은?
58. 드릴링으로 길이 150mm 구멍을 가공하려고 한다. 공구의 분당 회전수는 500rpm, 공구가 1회전 당 드릴 이송량은 0.1mm일 때, 구멍 가공시간은?
59. 여러 대의 NC 공작기계를 한 대의 컴퓨터에 결합시켜 제어하는 시스템은?
60. 3차 베지어 곡면(Bezier Surface)에 관한 설명 중 틀린 것은?
4과목: 기계제도 및 CNC공작법
61. 다음 투상도 중 KS 제도 통칙에 따라 올바르게 작도된 투상도는?




62. 도면에서 다음에 열거한 선이 같은 장소에 중보되었다. 어느 선으로 표시하여야 하는가? (치수 보조선, 절단선, 숨은선, 중심선)
63. 일반구조용 압연강재의 KS 재료 표시기호 “SS330”에서 “330”은 무엇을 뜻하는가?
64. 구멍의 치수가
이고, 축의 치수가
이라면 무슨 끼워 맞춤인가?
65. 다음과 같은 리벳의 호칭법으로 올바르게 나타낸 것은? (단, 재질 SV330이다.)
66. 다음 중 스크레이핑(Scraping) 가공을 나타내는 가공기호는?
67. 제3각 투상법으로 정면도와 평면도를 그림과 같이 나타낼 경우 가장 적합한 우측면도?




68. 그림과 같은 표면의 결 도시방법의 기호 설명이 올바르게 된 것은?
69. 제3각법으로 그린 다음과 같은 3면도 중 각 도면간의 관계가 올바르게 그려진 것은?




70. KS 나사의 표시에 관한 설명 중 올바른 것은?

71. CNC공작기계의 구성에서 사람의 두뇌부분에 해당되는 것은?
72. 머시닝센터에서 공구를 자동으로 장착하고 교환하는 장치는?
73. CNC선반의 준비기능 중 자동 원정 복귀 기능은?
74. 서보모터에서 위치 및 속도를 검출하여 피드백(feed back)하는 제어 방식은?
75. 다음 선삭용 ISO 인서트 규격 표시법에서 04는 무엇을 의미하는가?
76. 와이어 컷 방전가공에서 세컨드 컷을 함으로써 얻을 수 있는 주된 효과는?
77. 머시닝센터로 그림의 각 점을 시작점으로 하여 시계방향으로 360° 원을 가공하고자 할 때 틀린 지령은?
78. 머시닝센터에서 100rpm으로 회전하는 주축에 피치가 2mm인 나사를 가공하려 할 때 이송 속도(mm/min)는?
79. 다음 CNC선반 프로그램에서 ø50일 때 주축의 회전수는 약 얼마인가?
80. CNC공작기계의 일상점검 내용 중 매일 점검사항이 아닌 것은?