1과목: 기계가공법 및 안전관리
1. 다음중 금속의 구멍작업 시 칩의 배출이 용이하고 가공 정밀도가 가장 높은 드릴 날은?
2. 밀링 절삭 방법 중 상향절삭과 하향절삭에 대한 설명이 틀린 것은?
3. 테일러의 원리에 맞게 제작되지 않아도 되는 게이지는?
4. 기어절삭가공 방법에서 창성법에 해당하는 것은?
5. 밀링가공에서 일반적인 절삭속도 선정에 관한 내용으로 틀린 것은?
6. 측정자의 직선 또는 원호운동을 기계적으로 확대하여 그 움직임을 지침의 회전변위로 변환시켜 눈금으로 읽을 수 있는 측정기는?
7. 다음 중 각도를 측정할 수 있는 측정기는?
8. 머시닝센터에서 드릴링 사이클에 사용되는 G-코드로만 짝지어진 것은?
9. 연삭기의 이송방법이 아닌 것은?
10. 터릿선반에 대한 설명으로 옳은 것은?
11. 드릴의 속도가 V(m/min), 지름이 d(mm)일때, 드릴의 회전수 n(rpm)을 구하는 식은?




12. 밀링 머신에서 사용하는 바이스 중 회전과 상하로 경사시킬 수 있는 기능이 있는 것은?
13. W, Cr, V, Co 들의 원소를 함유하는 합금강으로 600℃까지 고온 경도를 유지하는 공구재료는?
14. 연삭 작업에 관련된 안전사항 중 틀린 것은?
15. 절삭제의 사용 목적과 거리가 먼 것은?
16. 래핑에 대한 설명으로 틀린 것은?
17. 탭으로 암나사 가공작업 시 탭의 파손원인으로 적절하지 않은 것은?
18. 절삭공구 수명을 판정하는 방법으로 틀린 것은?
19. 선반에서 긴 가공물을 절삭할 경우 사용하는 방진구 중 이동식 방진구는 어느 부분에 설치하는가?
20. 다음 연삭숫돌 기호에 대한 설명이 틀린 것은?
2과목: 기계설계 및 기계재료
21. 반도체 재료에 사용되는 주요 성분 원소는?
22. 성형수축이 적고, 성형 가공성이 양호한 열가소성 수지는?
23. Kelmet의 주요 합금 조성으로 옳은 것은?
24. 주조 시 주형에 냉금을 삽입하여 주물 표면을 급냉시킴으로써 백선화하고, 경도를 증가시킨 내마모성 주철은?
25. 불변강의 종류가 아닌 것은?
26. 95%Cu-5%Zn 합금으로 연하고 코이닝(coining)하기 쉬우므로동전, 메달 등에 사용되는 황동의 종류는?
27. 다음 중 블랭킹 및 피어싱 펀치로 사용되는 금형재료가 아닌 것은?
28. 쾌삭강에서 피삭성을 좋게 만들기 위해 첨가하는 원소로 가장 적합한 것은?
29. 뜨임 취성(Temper brittleness)을 방지하는데 가장 효과적인 원소는?
30. Fr-C 평형상태도에서 나타나지 않는 반응은?
31. 4kNㆍm의 비틀림 모멘트를 받는 전동축의 지름은 약 몇 mm인가? (단, 축에 작용하는 전단응력은 60MPa이다.)
32. 안지름 300mm, 내압 100 N/cm2이 작용하고 있는 실린더 커버를 12개의 볼트로 체결하려고 한다. 볼트 1개에 작용하는 하중W은 약 몇 N인가?
33. 그림과 같은 스프링장치에서 각 스프링 상수 k1=40N/cm, k2=50N/cm, k3=60N/cm이다, 하중 방향의 처짐이 150mm 일 때 작용하는 하중 P는 약 몇 N 인가?
34. 회전속도가 8m/s로 전동되는 평벨트 전동장치에서 가죽 벨트의 폭(b)×두께(t)=116mm×8mm인 경우, 최대전달동력은 약 몇kW인가? (단, 벨트의 허용인장응력은 2.35MPa, 장력비(eμθ)는 2.5이며, 원심력은 무시하고 벨트의 이음효율은 100%이다.)
35. 작용하중의 방향에 따른 베어링 분류 중에서 축선에 직각으로 작용하는 하중과 축선 방향으로 작용하는 하중이 동시에 작용하는데 사용하는 베어링은?(오류 신고가 접수된 문제입니다. 반드시 정답과 해설을 확인하시기 바랍니다.)
36. 양쪽 기울기를 가진 코터에서 저절로 빠지지 않기 위한 자립조건으로 옳은 것은? (단, ∝는 코터 중심에 대한 기울기 각도이고, ρ는 코터와 로드엔드와의 접촉부 마찰계수에 대응하는 마찰각이다.)
37. 응력-변형률 선도에서 재료가 저항할 수 있는 최대의 응력을 무엇이라 하는가? (단, 공칭응력을 기준으로 한다.)
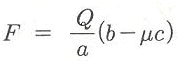
38. 그림과 같은 블록 브레이크에서 막대 끝에 작용하는 조작력 F와 브레이크의 제동력 Q와의 관계식은? (단, 드럼은 반시계방향 회전을 하고 마찰계수는 μ이다.)




39. 다음 중 기어에서 이의 크기를 나타내는 방법이 아닌 것은?
40. 용접 가공에 대한 일반적인 특징 설명으로 틀린 것은?
3과목: 컴퓨터응용가공
41. XY 평면상에 하나의 곡선을 표현하는 방법에는 일반적으로 3가지가 있는데 이에 속하지 않는 것은?
42. 반경이 R=√5cm인 볼 엔드밀로 평면을 가공하려고 한다. 경로 간 간격이 2cm일 때 커습(cusp) 높이는 몇 cm인가?
43. CAD/CAM 시스템에서 와이어프레임(wireframe), 서피스(surface), 솔리드(solid)모델과 같은 3차원 형상 모델에 대한 설명으로 틀린 것은?
44. 2차원에서의 변환 행렬 TH(3×3)에 대한 설명 중 틀린 것은?
45. 2차원 단면현상을 임의의 경로를 따라 이동하면서 3차원 솔리드를 생성하는 솔리드 모델링 기법은?
46. CSG(Constructive solid Geometry)방식에서 사용하는 기본 3차원 모델(privitives)이 아닌 것은?
47. 평면상에서 기준 직교축의 원점에서부터 점 P까지의 직선거리(r)와 기준 직교축과 그 직선이 이루는 각도(θ)로 표시되는 2차원 좌표계는?
48. CAM에서 일반적으로 지원하는 곡면 가공방식이 아닌 것은?
49. 조립체(assembly) 모델링과 관련이 없는 기능은?
50. 다음 중 RP(rapid prototyping)의 종류가 아닌 것은?
51. 10개의 CAD 시스템 사이에서 직접변환기를 사용하여 데이터를 교환하려면 요구되는 변환기의 수는?
52. RP(raprd prototuping) 소프트웨어 중 부품준비 소프트웨어(part preparation software)의 기능이 아닌 것은?
53. 특징현상 모델링을 수행하는 경우, 대부분의 솔리드 모델링 시스템에서 제공하는 전형적인 특징현상이 아닌 것은?
54. 컴퓨터에서 작업을 수행하기 위한 자료나 입축력장치로부터 입출력되기 위한 자료를 임시로 저장하는 곳은?
55. NC가공에서 3축 가공에 비해 5축 가공만의 장점으로 보기 어려운 것은?
56. 다음 Bezier 곡선의 성질에 대한 설명으로 가장 적절하지 않은 것은?
57. 퍼거슨(Ferguson)곡선 및 곡면에 관한 설명으로 틀린 것은?
58. CAD 시스템에서 사용되는 곡면 모델링에 대한 설명으로 틀린 것은?
59. NC 공구경로 생성 시 계산된 공구경로를 따라 공구가 움질일 때 곡면의 곡률 반경이 공구의 반경보다 작은 오목한 부분에서 과절삭(overcut)이 발생하는 현상은?
60. 다음 중 곡면을 표현할 수 있는 방법이 아닌 것은?
4과목: 기계제도 및 CNC공작법
61. 나사 표기가 "G 1/2"이라 되어 있을 때, 이는 무슨 나사인가?
62. 구멍과 축의 억지 끼워 맞춤에서 최대 죔새의 설명으로 옳은 것은?
63. V-벨트 풀리의 도시에 관한 설명으로 옳지 않은 것은?
64. 강재의 종류와 그 기호가 잘못 짝지어진 것은?
65. 그림과 같은 입체도를 제3각법으로 올바르게 나타낸 투상도는?




66. 그림과 같은 원뿔을 전개하엿을 때 전개도의 중심각이 120°가 되려면 L의 치수는 얼마인가? (단, 원뿔 밑면의 지름은 100mm 이다.)
67. 그림과 같은 등각투상도에서 화살표 방향에서 본 면을 정면이라 할 때 제 3각법으로 3면도가 올바르게 그려진 것은?




68. 가공 모양의 기호에 대한 설명으로 잘못된 것은?
69. 기계제도에서 사용하는 선의 종류에 대한 용도 설명 중 잘못된 것은?
70. 투상도를 그릴 때 선이 서로 겹칠 경우 나타내야 할 우선 순위로 옳은 것은?
71. CNC방전가공에서 방전 갭을 구하는 공식은?




72. 머시닝센터에서 250rpm으로 회전하는 스핀들에 피치 2mm나사를 가공할 때 주축 이송속도를 몇 mm/min로 하는 것이 좋은가?
73. 머시닝 센터의 보조기능 중 공구를 교환하는 지령은?
74. CNC 공작기계의 특징에 대한 설명으로 옳지 않은 것은?
75. CNC 공작기계에서 지령절의 구성에 대한 설명이 옳지 않은 것은?
76. CNC선반에서 2.5초 동안 프로그램의 진행을 정지시키는 방법으로 옳은 것은?
77. CNC선반에서 나사절삭 가공 기능만으로 짝지어진 것은?
78. 다음가 같은 ISO 선삭용 인서트의 형번 표기법(ISO)에서 노즈(nose) “R"의 크기는 얼마인가?
79. 기계의 테이블에 직접 검출기를 설치, 위치를 검출하여 피드백 시키는 서보기구 방식은?
80. 머시닝센터 작업 시 주의사항이 아닌 것은?