1과목: 실험계획법
1. 다음 분산분석표를 보고 내린 결론 중 틀린 것은?
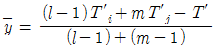
2. 4×4 그레고라틴 방격(A,B,C,D모두 모수)에 의한 실험 계획에서 분산분석 후 AiBjCk에서의 모평균 μ(AiBjCk)의 신뢰구간을 나타내는 것은?




3. 2수준계 직교배열표를 이용한 실험계획에서 가장 올바른 것은?
4. 난괴법이 층별이 잘된 경우에는 반복이 있는 일원배치보다 좋은 이점은 무엇인가?
5. L27(313) 직교배열표에서 인자 A, B, C, D 와 교호작용 B×C를 배치하는 경우 오차항의 자유도는?
6. 교락법에서 블럭반복을 행하는 경우에 각 반복마다 블럭효과와 교락시키는 요인이 다른 경우를 무슨 교락이라 하는가?
7. A, B, C는 수준이 각각 3인 모수인자 이며 A, B를 1차인자로 C를 2차인자로 하여 1차단위가 이원배치인 단일 분할법 실험을 실시하였다. 이때 자유도
의 계산이 잘못된 것은?




8. 2원배치법에서 AiBj에 결측치가 있을 경우 Yates의 결측치
추정공식은?




9. 반복이 있는 2원배치법(A인자:모수, B인자:변량)에서 분산분석 후에 행하는 다음의 추정내용 중 의미가 없다고 생각되는 것은?
10. 1인자 2수준 (A1, A2)으로 각각 6회 실험하여 다음과 같은 데이터를 얻었다. 일반평균 m의 요인 효과를 95% 신뢰도로서 추정하면?
11. 실험계획법의 데이터 구조식에서 오차항에 대하여 몇가지 가정을 하고 있다. 이들 가정에 해당하지 않는 것은?
12. 4종류의 제품 관계에서 유도한 다음 선형식에서
, A1=9, A2=26, A3=38, A4=41 일때 L에 대한 변동 SL은?
13. kn 요인 배치법에 대한 설명 중 가장 올바른 것은?
14. 반복이 있는 3원 배치에서 3인자가 모수이고 l=3, m=2, n=3, r=2 일 때, A×B의 E(V)값은?




15. 24형 실험에서 1/2반복만 실험하기 위해 일부실시법을 이용하였다. 그 결과 다음과 같은 블록을 얻었다. 선택한 정의대비는?
16. 일원배치법에서 데이터의 구조가 다음과 같이 주어질 때
의 구조는?




17. A1수준에 속해 있는 B1과 A2수준에 속해 있는 B1은 동일한 것이 아닌 실험설계법은?
18. 계수치 데이터 분석에서 각 인자의 수준수가 l= 4, m= 3이고 반복수 r=120인 반복있는 2원배치로 적합품이면 0, 불량이면 1로 처리한 결과
(A3B1)을 구간 추정하고 싶을 때는 유효 반복수(ne)는?(오류 신고가 접수된 문제입니다. 반드시 정답과 해설을 확인하시기 바랍니다.)
19. 반복이 같은 일원배치법에서 다음과 같은 분산분석표를 얻었다. 이 실험에서 각 수준의 반복수는 얼마인가?
20. 망대 특성 실험의 경우 특성치가 다음과 같을 때 SN 비 (signal-to-noise ratio)를 구하면?
2과목: 통계적품질관리
21. 관리도의 계수의 식으로 가장 올바른 것은?



22. 검사 로트를 형성할 때 주의사항으로 가장 거리가 먼 내용은?
23. 1,000개의 데이터 평균을 산출하여 3.54를 얻었다. 추가로 5.5라는 데이터가 관측되었다면 총 1,001개 데이터의 평균은?
24. 관리도를 구성하고 있는 관리한계선의 의의로 가장 올바른 것은?
25. 계량치 검사를 위한 축차샘플링 검사(KS A ISO 8423)에서 연결식 양쪽규격이 205±5로 규정되어 있다. σ=1.2 이고 표에서 hA=4.312, hR=5.536, g=2.315 및 nt=49를 얻었다면 nCUM<nt일 때 상측 불합격판정치의 계산식은?
26. n개의 제품을 랜덤하게 취하여 각각을 k회씩 측정하여 평균하는 경우, 그 시료 평균의 분산을 나타내는 구조식으로 가장 올바른 것은? (단,
: 시료평균의 분산,
: 샘플링오차의 분산,
: 측정오차의 분산)




27. 반응온도(x)와 수율(y)의 대응관계 데이터 20개를 추출하고 시료상관계수를 구하였더니 r=0.555 이었다.
(
는 모상관계수)의 가설검정을 유의수준 1%로 하면 그 결과는? (단, r0.995(19)=0.549, r0.995(18)=0.561)
의 채택한다.28. 두 모집단에서 각각 n2=6, n1=5개를 추출하여 어떤 특정치를 측정한 결과,
,
였다. 모분산비의 검정을 위하여 통계량을 구하면 어느 수치에 가까운가?
29. μ = 23.30인 모집단에서 n = 6개를 추출하여 어떤 값을 측정한 결과는 자료와 같다. 모평균의 검정을 위하여 통계량을 구하면 어느 수치에 가까운가?
30. 시료 부적합품률
(n: 샘플의 크기, r: 샘플중에 포함되어 있는 부적합품의 수)로부터 모 부적합품률에 대해 정규분포 근사법을 이용하여 95%의 신뢰율로 양측 신뢰한계를 구할 때 사용하여야 할 올바른 공식은?




31. 이항분포에서 n=100, P가 1/2일 때 표준편차는 얼마인가?

32. 어떤 모집단에 관한 검정을 하고자한다. 다음 중 가장 관계가 먼 내용은?
33. 다음 중 검사특성곡선에 대한 설명으로 가장 관계가 먼 내용은?
34. 다음은 두 개의 층 A, B의 층별 데이터로 작성한
관리도로부터 층의 평균치 차이 검정을 할 때 사용하는 식이다. 이 식의 전제조건으로 가장 거리가 먼 것은?
에 차이가 없을 것35. 다음 중 np 관리도의 설명으로 가장 관계가 먼 내용은?
36. 확률에 대한 다음의 설명 중 가장 올바른 내용은?
37. 시점 k에서 w=5개 시료군의 이동평균
를 이용한 이동평균관리도를 작성 하고자 한다. n=4인 20개의 시료군에 대하여
과
로 계산되었을 때, k≥5인 시점에서의 UCL은 얼마인가? (단, d2=2.059 )
38. KS A ISO 2859-1 : 2001 로트별 검사에 대한 AQL 지표형 검사방식에서 소관권한자의 승인이 있을 때에 Ac= 0 과 Ac=1 인 샘플링 검사 사이에 표기되어 있는 ↑↓ 대신에 사용하는 샘플링 검사가 아닌 것은?
39. 동전을 200번 던져 표면이 115번, 이면이 85번 나타났다. 표면이 나올 확률이 1/2 이라는 가설을 유의수준 α = 0.05로 검정한 결과는? (단,
)
40. 전선의 인장강도가 평균 45kg/mm2 이상인 lot는 합격으로 하고 40kg/mm2 이하인 lot는 불합격으로 하려는 검사에서 합격판정치(
)를 구했더니 42.466이었다. 어떤 lot에서 5개의 샘플을 취하여 평균을 구했더니
이었다면 이 lot의 판정은?
3과목: 생산시스템
41. 생산방식의 기본 유형과 관계가 없는 것은?
42. 작업개선을 위한 작업분석으로 가장 올바른 것은?
43. 자주보전 활동 7스텝 중 "설비의 기능구조를 알고 보전기능을 몸에 익힌다."는 내용과 가장 가까운 스텝은?
44. 설비의 노후화는 열화현상 중 어디에 속하는가?
45. JIT 시스템에서 생산준비시간의 단축에 관한 설명 중 가장 관계가 먼 내용은?
46. 각 제품의 매출액과 한계이익율이 표와 같다. 평균 한계이익율을 사용하여 손익분기점을 구하면 얼마인가? ( 단, 고정비는 800만원 )
47. 다음 설명 중 옳지 않은 것은?
48. 밸런스 효율에 대한 설명 내용으로 가장 관계가 먼 것은?
49. 비효율적인 동작이기 때문에 개선을 검토해 보아야 할 서블릭(therblig)동작은?
50. 구매가격 결정기준으로 틀린 것은?
51. 스톱워치법에 의한 표준시간의 설정 시 예비 관측치의 분산이 2배가 되면 필요한 관측횟수는 몇 배로 늘어나게 되는가?
52. 순매출액이 8,000만원, 원재료 재고액이 1,600만원, 매출액에 대한 총 이익률이 20%인 경우 재고 회전 기간은 얼마인가?
53. 사무작업분석에 있어서 시스템챠트에 사용되는 유통공정 기호에 대한 설명으로 틀린 것은?
54. 다음의 네트워크상에 있어서의 주공정은?
55. MRP 시스템 운영에 필요한 의 기본 요소 중 설계변경 사항, 자재변경사항, 생산가공순서 등의 제품 구성자료정보를 나타내는 것은?
56. 체계적 워크샘플링(systematic work sampling)을 쓰기가 곤란한 경우는?
57. 공정별 배치의 장점을 기술한 내용으로 가장 관계가 먼 것은?
58. 다음은 무엇을 설명하는 것인가?
59. 작업우선순위 결정법으로 긴급율(Critical Ratio : CR) 법에 대한 설명으로 틀린 것은?
60. 철근을 생산, 판매하고 있는 K철강의 2003년 10월 판매 예측치는 150,000톤이고, 실적치는 135,000톤이었다. 지수평활법에 의하여 11월의 판매예측치를 구하면? (단, α=0.5 이다)
4과목: 신뢰성관리
61. 10개의 제품을 모두 고장이 날 때 까지 시험하였다. 6번째 고장시간에 대한 중앙순위(median rank)는?
62. 고장률이 각각 λ1, λ2, λ3 인 부품 3개가 직렬로 연결되어 있을 때 시스템의 고장률은?
63. 시스템의 MTBF를 두 배로 늘리기 위해서는 몇 개 이상의 동일부품을 병렬로 연결해야 하는가? (단, 부품의 수명은 지수분포를 따른다.)
64. 그림과 같은 신뢰성 블록도를 갖는 시스템의 MTTF는 얼마인가? (단, 모든 부품의 MTBF는 104 시간이다.)



65. 아이템이 규정된 신뢰성 및 보전성을 요구조건 들을 만족시키기 위해 수행되는 운용기법 및 활동을 무엇이라고 하는가?
66. 각종 보전시간을 분류할 때 고장수리 회복시간에 속하지 않는 것은?
67. 표와 같은 수명 테스트 자료에서 구간 20 ~ 30에서의 고장률은 얼마인가?
68. 고장확률 밀도함수가 지수분포에 따르는 제품의 샘플 15개를 5개가 고장날 때까지 교체없이 시험하고 관측된 고장시간 데이터는 17.5, 18.8, 21.0, 31.0, 42.3 시간이다. 평균수명의 점 추정치는?
69. FMEA 용지에 반드시 들어가야 할 사항이 아닌 것은?
70. AGREE란 무엇을 말하는가?
71. 어떤 제품의 고장확률밀도함수는 평균고장률이 10-3/시간인 지수분포에 따르고 있다. 이 제품을 1,000시간 사용한 경우의 신뢰도는 얼마인가?
72. 부품을 가속온도 100℃에서 수명시험을 하고 얻은 고장시간 데이터에 의거 추정한 평균수명이 1,500시간이다. 이부품의 정상 사용온도는 50℃이고, 이 두 온도간의 가속계수 가 32일 때 정상사용 조건에서의 평균수명은 몇 시간인가?
73. 어떤 제품에 대하여 MTBF를 추정하기 위하여 n=50개의 제품의 수명을 정시마감 t0=100일을 정하여 놓고 관측하였더니 총 고장수는 10개이고, 총 동작시간은 4,500시간 이었다. 신뢰수준 90%로 양측 검정에 의한 MTBF의 신뢰구간을 추정하면? (단,
,
,
,
)
74. 다음 설명 중 틀린 것은?
75. 지수분포를 따르는 수리계 시스템의 고장률은 0.02/시간이고, 이 시스템의 평균수리시간(MTTR)이 30시간이라면, 이 기기의 유용성(Availability)은?
76. 신뢰성을 향상시키는 설계의 요점에 포함되지 않는 것은?
77. 신뢰성 시험에 대한 설명 내용으로 가장 올바른 것은?
78. 그림과 같은 고장수목에서 정상사상의 발생확률은 얼마인가? (단, 모든 사상의 발생확률은 0.1이다.)
79. 번인 (burn-in) 시험의 목적으로 가장 올바른 것은?
80. 제품의 고장시간은 와이블분포를 따르고 형상모수의 값이 0.5라고 한다. 제품의 평균수명이 100시간 이라면 50시간에서의 신뢰도는? (단, m=0.5 일 때
, 위치모수 r=0 이다.)
5과목: 품질경영
81. 고객의 요구와 기대를 규명하고 이들을 설계 및 생산 사이클을 통하여 목적과 수단의 계열에 따라 계통적으로 전개되는 포괄적인 계획화 과정은?
82. 품질방침에서 다루어져야 하는 사항 중 틀린 것은?
83. 표준화에 의한 이점이라고 할 수 없는 것은?
84. 수치맺음법에 의하여 1.2501를 유효 숫자 두자리에서 처리하면?
85. Single PPM 세부 추진 내용 중에서 Master Plan 작성, CTQ 선정, 분위기 조성 등은 어떤 단계에서 추진하는가?
86. 품질시스템을 구축할 경우 고려해야 하는 TQM의 실천원칙으로 가장 관계가 먼 것은?
87. 설정한 목표를 달성하기 위해서 목적과 수단의 계열을 계통적으로 전개함으로써 최적의 수단을 탐구하는 방법이다. 즉 문제의 영향을 미치는 원인은 밝혀졌지만 이 문제를 해결할 계획이나 방법은 아직 개발되지 않은 경우에 사용되는 기법은?
88. 품질코스트에 대한 내용으로 가장 올바른 것은?
89. 품질은 주관적 특성과 객관적 특성으로 형성되어 있다. 다음 중 주관적 특성과 가장 거리가 먼 것은?
90. 계측 목적에 의한 분류 중 관리계측에 해당하지 않는 것은?
91. 다음 중에서 품질보증부문의 임무를 가장 올바르게 표현한 내용은?
92. ISO 9000 : 2000 품질경영시스템 규격의 기초가 되는 품질경영원칙이 아닌 것은?
93. 제조부문에서 작업표준의 설정이나 유지 등의 작업관리를 할 때 유용하게 사용되는 공정능력 정보로 가장 올바른 것은?
94. 돗수분포표는 자료를 정리하는 방법으로써 자료들의 흩어진 모양이나 중심을 파악하는데 사용된다. 돗수분포표는 수집된 자료 개개치들을 나타낼 수 없는 단점이 있으므로 이를 보완한 자료정리 도구는 무엇인가?
95. 사내표준화 규격을 규격대상에 의해 분류할 때 해당되지 않는 것은?
96. 다음 문장의 ( ) 안에 들어갈 내용으로 올바른 것은?
97. 두께가 3±0.002mm인 4개의 부품을 임의 조립 방법에 의해 겹쳐서 조립할 경우 조립공차는?
98. 품질분임조를 성공적으로 운영하기 위해서 지켜야 할 내용 중 가장 관계가 먼 것은?
99. 한국산업규격의 부문 분류기호가 틀리게 짝지어진 것은?
100. 품질감사의 중점분야 선정시 고려하여야 할 사항으로 가장 거리가 먼 것은?
고차회귀에 의해 설명될 수 있는 변동의 양은 총 변동에서 직선회귀에 의한 변동을 뺀 값이라는 것은, 고차회귀 모델에서 추가적으로 설명할 수 있는 변동의 양을 의미합니다. 직선회귀 모델에서는 X와 Y간의 선형적인 관계만을 고려하므로, 고차회귀 모델에서는 이외의 비선형적인 관계도 고려할 수 있습니다. 따라서, 총 변동 중 직선회귀 모델에 의해 설명되는 부분을 제외한 나머지 부분이 고차회귀 모델에 의해 설명될 수 있는 변동의 양입니다.