1과목: 산업위생학개론
1. 다음 중 최근 실내공기질에서 문제가 되고 있는 방사성물질인 라돈에 관한 설명으로 틀린 것은?
2. 다음 중 작업환경조건과 피로의 관계를 올바르게 설명한 것은?
3. 산업안전보건법에 따라 지정된 석면해체·제거입자로 하여금 그 석면을 해체·제거하도록 하여야 하는데 다음 중 석면해체·제거 대상에 해당하는 것은?
4. 다음 중 산업안전보건법에 따라 건강관리수첩의 발급 대상에 해당하지 않은 사람은?
5. 다음 중 산소부채(oxygen debt)에 관한 설명으로 틀린 것은?
6. 기초대사량이 1500kcal/day이고, 작업대사량이 시간당 250kcal가 소비되는 작업을 8시간 동안 수행하고 있을 때 작업대사율(RMR)은 약 얼마인가?
7. 어떤 물질에 대한 작업환경을 측정한 결과 다음과 같은 TWA 결과값을 얻었다. 환산된 TWA는 약 얼마인가?
8. 다음 중 산업위생의 역사에 있어 가장 오래된 것은?
9. 미국산업안전보건연구원(NIOSH)에서 제시한 중량물의 들기작업에 관한 강시기준(Action Limit)과 최대허용 기준(Maximum Permissible Limit)의 관계를 올바르게 나타낸 것은?
AL10. 다음 중 근골격계 질환에 관한 설명으로 틀린 것은?
11. 산업재해의 직접원인을 크게 인적 원인과 물적 원인으로 구분할 때 다음 중 물적 원인에 해당하는 것은?
12. 다음 중 교대작업에서 작업주기 및 작업순환에 대한 설명으로 틀린 것은?
13. 다음 중 화학적 원인에 의한 직업성 질환으로 볼 수 없는 것은?
14. 다음 중 산업안전보건법상 대상화학물질에 대한 물질안전 보건자료(MSDS)로부터 알 수 있는 정보가 아닌 것은?
15. 다음 중 미국산업위생학회(AIHA)의 산업위생에 대한 정의에서 제시된 4가지 활동과 거리가 먼 것은?
16. 다음 중 산업재해 보상에 관한 설명으로 틀린 것은?
17. 산업위생전문가의 윤리강령 중 “전문가로서의 책임”과 가장 거리가 먼 것은?
18. 사무실 공기관리 지침에서 지정하는 오염물질에 대한 시료채취 방법이 잘못 연결된 것은?
19. 다음 중 직업성 질환으로 볼 수 없는 것은?
20. 마이스터(D. Meister)가 정의한 시스템으로부터 요구된 작업결과(Performance)로부터의 차이(Deviation)는 무엇을 말하는가?
2과목: 작업위생측정 및 평가
21. 유량, 측정시간, 회수율 및 분석에 의한 오차가 각각 18, 3, 9, 5% 일 때 누적오차는?
22. 다음은 고열 측정구분에 의한 측정기기와 측정시간에 관한 내용이다. ( )안에 옳은 내용은? (단, 고시 기준)
23. 어느 작업장의 소음 레벨을 측정한 결과 85dB, 87dB, 84dB, 86dB, 89dB, 81dB, 82dB, 84dB, 83dB, 88dB을 각각 얻었다. 중앙치(median : dB)는?
24. 미국 ACGIH에 의하면 호흡성먼지는 가스교환부위, 즉 폐포에 침착할 때 유해한 물질이다. 평균입경을 얼마로 정하고 있는가?
25. 음향출력 5.0 watt 인 소음원으로부터 3m되는 지점에서의 응압수준은? (단, 무지향성 점응원, 자유공간 기준)
26. 일정한 온도 조건에서 부피와 압력은 반비례한다는 표준 가스에 대한 법칙은?
27. 2차 표준기구 중 일반적 사용범위가 10~150 L/min이고 정확도는 ±1.0%이며 현장에서 사용하는 것은?
28. 메틸에틸케톤이 20℃, 1기압에서 증기압이 71.2mmHg이면 공기 중 포화농도(ppm)는?
29. 수동식 시료채취기(Passive Sampler)로 8시간 동안 벤젠을 포집하였다. 포집된 시료를 GC를 이용하여 분석한 결과 20,000 ng이었으며 공시료는 0 ng이었다. 회사에서 제시한 벤젠의 시료채취량은 35.6mL분이고 탈착효율은 0.96이라면 공기 중 농도는 몇 ppm인가? (단, 벤젠의 분자량은 78, 25℃, 1기압 기준)
30. 가스상 물질 측정을 위한 흡착제인 다공성 종합체에 관한 설명으로 옳지 않은 것은?
31. 흡착제를 이용하여 시료채취를 할 때 영향을 주는 인자에 관한 설명으로 옳지 않은 것은?
32. 실내공간이 100m3인 빈 실험실에 MEK(methyl ethyl ketone) 2mL가 기화되어 완전히 혼합되었다고 가정하면 이 때 실내의 MEK농도는 몇 ppm인가? (단, MEK qlwnd=0.805, 분자량=72.1, 25℃, 1기압 기준)
33. 가스상 물질의 측정을 위한 수동식 시료채취(기)에 관한 설명으로 옳지 않은 것은?
34. 조선소에서 용접흄(분진)을 측정한 결과 여과지의 포집전 무게는(3회 평균) 0.03561g이었고, 포집 후 무게(3회 평균)는 0.03901g 이었다. 이 때 용접흄(분진)의 농도는? (단, 포집유량은 분당 1.7L, 190분 포집)
35. 셀룰로오스 에스테르 막여과지에 관한 설명으로 옳지 않은 것은?
36. 근로자에게 노출되는 호흡성먼지를 측정한 결과 다음과 같았다. 이 때 기하평균농도는? (단, 단위는 mg/m3)
37. 흡광광도 측정에서 최초광의 70%가 흡수될 경우 흡광도는?
38. 금속제품을 탈지 세정하는 공정에서 사용하는 유기용제인 트리클로로에틸렌의 근로자 노출농도를 측정하고자 한다. 과거의 노출농도를 조사해 본 결과, 평균 50ppm이었다. 활성탄관(100mg/50mg)을 이용하여 0.4L/min으로 채취하였다면 채취해야 할 최소한의 시간(분)은? (단, 트리클로로에틸렌의 분자량 : 131.39, 가스크로마토 그래피의 장량한계 : 시료당0.5mg, 1기압, 25℃ 기준으로 기타 조건은 고려하지 않음)
39. 실리카겔이 활성탄에 비해 갖는 특징으로 옳지 않은 것은?
40. 작업장에서 입자상 물질은 대개 여과원리에 따라 시료를 채취한다. 여과지의 공극보다 작은 입자가 여과지에 채취되는 기전은 여과이론으로 설명할 수 있는데 다음 중 여과이론에 관여되는 기전과 가장 거리가 먼 것은?
3과목: 작업환경관리대책
41. 다음은 작업환경개선 대책 중 대치의 방법을 열거한 것이다. 이 중 공정변경의 대책과 가장 거리가 먼 것은?
42. 용접작업대에 그림과 같은 외부식 후드를 설치할 때 개구면적이 0.3m2이면 송풍량은? (단, Vc : 제어속도)
43. 환기시스템에서 공기유량(Q)이 0.15m3/sec, 덕트 직경이 10.0cm, 후드 압력손실 계수(Fh)가 0.4일 때 후드 정압(SPh)은? (단, 공기밀도 : 1.25kg/m3 기준)
44. 풍량 2m3/sec, 송풍기 유효전압 100mmH2O, 송풍기의 효율이 75% 인 송풍기의 소요동력은?
45. 높이 760mm, 폭 380mm인 각관 내를 풍량 280 m3/min의 표준공기가 흐르고 있을 때 길이 10m 당 관마찰손실은? (단, 관 마찰계수는 0.019)
46. 층류영역에서 직경이 2μm이며 비중이 3인 입자상 물질의 침강속도(cm/sec)는?
47. 덕트 합류시 댐퍼를 이용한 균형 유지법의 장단점으로 가장 거리가 먼 것은?
48. A용제가 800m3의 체적을 가진 방에 저장되어 있다. 공기를 공급하기 전에 측정한 농도는 400ppm이었다. 이 방으로 환기량 40m3/분을 공급한다면 노출기준인 100ppm으로 달성되는데 걸리는 시간은? (단, 유해물질 발생은 정지, 환기만 고려함)
49. 실험실에 있는 포위식 후드의 필요 환기량을 구하고자 한다. 제어속도는 0.5m/초이고, 개구면적이 0.5m×0.3m일 때 필요 환기량(m3/분)은?
50. 입자상 물질을 처리하기 위한 장치 중 압력손실은 비교적 크나 고효율 집진이 가능하며, 직접차단, 관성충돌, 확산, 중력침강 및 정전기력 등이 복합적으로 작용하는 것은 무엇인가?
51. 길이가 2.4m, 폭이 0.4m 인 플랜지 부착 슬로트형 후드가 설치되어 있다. 포측점까지의 거리가 0.5m, 제어속도가 0.75 m/s 일 때 필요 송풍량은? (단, 1/2 원주 슬로트형, C=2.8 적용)
52. 작업환경관리 원칙 중 대치에 관한 설명으로 옳지 않은 것은?
53. 자연환기와 강제환기에 관한 설명으로 옳지 않은 것은?
54. 폭 320mm, 높이 760mm의 곧은 각관 내를 Q=280m3/분의 표준공기가 흐르고 있을 때 레이놀드수(Re)값은? (단, 동점성계수는 1.5 × 10-5 m2/sec)이다.)
55. 보호구에 관한 설명으로 옳지 않은 것은?
56. 원심력 송풍기인 방사날개형 송풍기에 관한 설명으로 옳지 않은 것은?
57. 후드의 유입계수가 0.86, 속도압 25mmH20 일 때 후드의 압력손실(mmH20)은?
58. 전기집진장치의 장점과 가장 거리가 먼 것은?
59. 작업장 용적이 10m × 3m × 40m 이고 필요 환기량이 120m3/min일 때 시간당 공기교환 횟수는 얼마인가?
60. A공장에서 1시간에 4L의 메틸에틸케톤이 증발되어 공기를 오염시키고 있다면 이 작업장을 전체 환기하기 위한 필요 환기량(m3/min)은? (단, 21℃, 1기압, K=6, 분자량 72.06, 비중 0.805, 허용기준 TLV 200ppm 이다.)
4과목: 물리적유해인자관리
61. 다음 중 마이크로파의 에너지량과 거리와의 관계에 관한 설명으로 옳은 것은?
62. 다음 중 인체와 환경 사이의 열교환에 영향을 미치는 요소와 관계가 가장 적은 것은?
63. 다음 중 이상기압의 대책에 관한 설명으로 적절하지 않은 것은?
64. 다음 중 소음성 난청(Noise Induced Hearing Loss, NIHL)에 관한 설명으로 틀린 것은?
65. 다음 중 산소결핍 장소의 출입시 착용하여야 할 보호구로 적절하지 않은 것은?
66. 다음 중 적외선의 파장 범위에 해당하는 것은?
67. 다음 중 소음에 대한 대책으로 적절하지 않은 것은?
68. 응압실효치가 0.2N/m2 일 때 음압수준(SPL : Sound Pressure Level)은 얼마인가? (단, 기준음압은 2 x 10-5N/m2로 계산한다)
69. 다음 중 작업장 내의 직접조명에 관한 설명으로 옳은 것은?
70. 옥내의 작업장소에서 습구흑구온도를 측정한 결과 자연습구온도가 28도, 흑구온도는 30도, 건구온도는 25도를 나타내었다. 이 때 습구흑구온도지수(WBGT)는 약 얼마인가?
71. 다음 중 저온 환경에서의 생리적 반응으로 틀린 것은?
72. 다음 중 1000Hz에서 40dB의 음압레벨을 갖는 순음의 크기를 1로 하는 소음의 단위는?
73. 전리방사선의 단위 중 조직(또는 물질)의 단위질량당 흡수된 에너지를 나타내는 것은?
74. 다음 중 방진재료로 적절하지 않은 것은?
75. 다음 중 전리방사선의 외부 노출에 대한 방어 3원칙에 해당하지 않는 것은?
76. 다음 중 진도에 관한 설명으로 옳은 것은?
77. 고압환경의 2차적인 가압현상(화학적 장해) 중 산소 중동에 관한 설명으로 틀린 것은?
78. 다음 중 저기압의 영향에 관한 설명으로 틀린 것은?
79. 다음 중 정상인이 들을 수 있는 가장 낮은 이론적 음압은 몇 dB인가?
80. 다음 중 및 또는 밝기와 관련된 단위가 아닌 것은?
5과목: 산업독성학
81. 다음 중 석유정제공장에서 다량의 벤젠을 분리하는 공정의 근로자가 해당 유해물질에 반복적으로 계속해서 노출될 경우 발생 가능성이 가장 높은 직업병은 무엇인가?
82. 다음 중 수은에 관한 설명으로 틀린 것은?
83. 다음 중 피부에 건강상의 영향을 일으키는 화학물질과 가장 거리가 먼 것은?
84. 다음 중 작업자의 호흡작용에 있어서 호흡공기와 혈액사이에 기체교환이 가장 비활성적인 곳은?
85. 다음 중 규폐증(silicosis)을 잘 일으키는 먼지의 종류와 크기로 가장 적절한 것은?
86. 다음 중 산업위생관리에서 사용되는 용어의 설명으로 틀린 것은?
87. 중금속에 중독되었을 경우에 치료제로서 BAL이나 CaEDTA 등 금속배설 촉진제를 투여해서는 안되는 중금속은?
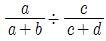
88. 다음 중 유해물질이 인체에 미치는 유해성(건강영향)을 좌우하는 인자로 그 영향이 가장 적은 것은?
89. 다음 중 호흡기계로 들어온 입자상 물질에 대한 제거기전의 조합으로 가장 적절한 것은?
90. 뇨 중 화학물질 A의 농도는 28mg/mL, 단위시간당 배설 되는 뇨의 부피는 1.5mL/min, 혈장 중 화학물질 A의 농도가 0.2mg/mL라면 단위시간당 화학물질 A의 제거율(mL/min)은 얼마인가?
91. 다음 중 ACGIH에서 발암등급 “A1”으로 정하고 있는 물질이 아닌 것은?
92. 표의 석면분진 노출과 폐암과의 관계를 참고하여 석면분진에 노출된 근로자가 노출이 되지 않은 근로자에 비해 폐암이 발생될 수 있는 비교위험도(relative risk)를 올바르게 나타낸 식은?




93. 다음 중 생물학적 모니터링에 대한 설명과 가장 거리가 먼 것은?
94. 유기용제류의 산업중독에 관한 설명으로 적절하지 않은 것은?
95. 다음 중 납 중독의 초기증상으로 볼 수 없는 것은?
96. 다음 중 소화기관에서 화학물질의 흡수율에 영향을 미치는 요인과 가장 거리가 먼 것은?
97. 다음 중 탈지용 용매로 사용되는 물질로 간장, 신장에 만성적인 영향을 미치는 것은?
98. 다음 유지용제 기능기 중 중추신경계에 억제작용이 가장 큰 것은?
99. 다음 중 위험도를 나타내는 지표가 아닌 것은?
100. 입자상 물질의 종류 중 액체나 고체의 2가지 상태로 존재할 수 있는 것은