1과목: 인간공학개론
1. 기능적 인체치수(functional body dimen sion)측정에 대한 설명으로 옳은 것은?
2. 손의 위치에서 조종장치 중심까지의 거리가 30cm, 조종장치의 폭이 5cm일 때 난이도 지수(index of difficulty)값은 얼마인가?
3. 레버의 길이가 5cm인 조종장치를 30° 움직였더니 표시장치의 눈금이 2cm 움직였다. 이 때 조종장치의 C/R비는 약 얼마인가?
4. 다음 중 정보이론에 관한 설명으로 옳은 것은?
5. 다음 중 암호체계의 사용상 일반적 지침에서 암호의 변별성에 대한 설명으로 옳은 것은?
6. 사람이 주의를 번갈아 가며 두 가지 이상을 돌보아야 하는 상황을 무엇이라 하는가?
7. 다음 중 양립성의 종류에 해당되지 않는 것은?
8. 다음 중 인간의 기억을 증진시키는 방법으로 적절하지 않은 것은?
9. 다음 중 신호 및 경보등에 관한 설명으로 틀린 것은?
10. 다음 중 시식별 요소에 대한 설명으로 잘못된 것은?
11. 입식 작업대에서 정밀작업을 수행하려고 할 때 작업대의 높이로 가장 적당한 것은?
12. Norman이 제시한 사용자 인터페이스 설계원칙에 해당하지 않는 것은?
13. 인간의 감각기관 중 작업자가 가장 많이 사용하는 감각은?
14. 연구조사에 사용되는 기준이 의도된 목적에 적당하다고 판단되는 정보를 무엇이라고 하는가?
15. 다음 중 촉각적 표시장치에 대한 설명으로 옳은 것은?
16. 다음 중 부품배치의 원칙이 아닌 것은?
17. 다음 중 인간과 기계의 성능 비교에 관한 설명으로 옳은 것은?
18. 다음 중 제품, 공구, 장비의 설계시에 적용하는 인체계측 자료의 응용 원치겡 해당되지 않는 것은?
19. 청각적 신호를 설계하는 데 고려되어야 하는 원리 중 검출성(detectability)에 대한 설명으로 옳은 것은?
20. 시각적 부호 중 이미 고안되어 있으므로 이를 배워야 하는 부호를 무엇이라 하는가?
2과목: 작업생리학
21. 다음 중 작업강도의 증가에 따른 순환기반응의 변화에 대한 설명으로 옳지 않은 것은?
22. 육체적 작업과 신체에 대한 스트레스의 수준을 측정하는 방법 중 근육이 수축할 때 발생하는 전기적 활성을 기록하는 방법을 무엇이라 하는가?
23. 척추를 구성하고 있는 뼈 가운데 요추의 수는 몇 개인가?
24. 전신진동에 있어 안구에 공명이 발생하는 진동수의 범위로 가장 적절한 것은?
25. 트레드밀(treadmill) 위를 5분간 걷게 하여 배기를 더글라스 백(douglas bag)을 이용하여 수집하고 가스분석기로 성분을 조사한 결과 배기량이 75L. 산소가 16%, 이산화탄소가 4%이었다. 이 피험자의 분당 산소소비량(L/min)과 에너지(kcal/min)는 각각 얼마인가? (단, 흡기시 공기 중의 산소는 21%, 질소는 79%이며 1L의 산소소비는 5kcal의 에너지를 발생시킨다.)
26. 다음 중 작업부하(mental workload)를 측정할 수 있는 생리적 척도가 아닌 것은?
27. 소리크기의 지표로서 사용하는 단위에 있어서 8sone은 몇 phon인가?
28. 소음에 대한 청력손실이 가장 크게 나타나는 진동수는?
29. 다음 중 생리적 스트레인의 척도에 대한 측정단위 설명으로 옳은 것은?
30. 인간과 주위와의 열교환 과정을 올바르게 나타낸 열균형 방정식은?
31. 다음 중 사무실의 오염물질 관리기준에서 이산화탄소의 관리기준으로 옳은 것은?
32. 근육은 수의근과 불수의근으로 나눌 수 있는데 다음 중 수의근에 해당하는 근육의 종류는?
33. 다음 중 산소와 함께 진행되는 유기성 대사과정으로 인한 부산물이 아닌 것은?
34. 다음 중 자극에 대한 반응시간의 설명으로 틀린 것은?
35. 다음 중 교대작업의 관리방법으로 적절하지 않은 것은?
36. 다음 중 ‘소음작업’이란 1일 8시간 작업을 기준으로 몇 dB(A) 이상의 소음이 발생하는 작업을 말하는가?
37. 시소 위에 올려놓은 물체 As는 시소 중심에서 1.2m 떨어져 있고 무게는 35kg이며, 물체 B는 물체 A와 반대방향으로 중심에서 1.5m 떨어져 있다고 가정하였을 때 물체 B의 무게는 몇 kg인가?
38. 다음 중 근력 및 지구력에 대한 설명으로 틀린 것은?
39. 다음 중 신경계(nervous system)에 대한 설명으로 틀린 것은?
40. 다음 그림과 같은 심전도에서 나타나는 P파는 심장의 어떤 상태를 의미하는 것인가?
3과목: 산업심리학 및 관계법규
41. 다음 중 집단 응집성을 결정하는 요인과 가장 거리가 먼 것은?
42. McGregor의 Y이론에 따른 인간의 동기부여 인자에 해당하는 것은?
43. 제조물 책임법상 제조업자가 합리적인 설명ㆍ지시ㆍ경고ㆍ기타의 표시를 하였더라면 당해 제조물에 의하여 발생될 수 있는 피해나 위험을 줄이거나 피할 수 있었음에도 이를 하지 아니한 경우의 결함을 무엇이라 하는가?
44. 다음 중 인간-기계시스템에 있어서 휴먼에러와 그로 인해 발생할 수 있는 오류확률을 예측하는 정량적 인간신뢰도 분석기법은?
45. 다음의 휴먼에러에 대한 분류로 가장 적절한 것은?
46. 재해 원인을 불안전한 행동과 불안전한 상태로 구분할 때 다음 설명 중 틀린 것은?
47. 다음 중 헤드십과 리더십에 대한 설명으로 틀린 것은?
48. 호손(Hawthorn) 실험에서 작업자의 작업능률에 영향을 미치는 주요요인으로 밝혀진 요인은 무엇인가?
49. 리더십 이론 중 ‘관리격자이론’에서 직무중심 지향적으로 인간에 대한 관심이 낮은 유형은?
50. NIOSH의 스트레스 모형에서 직무스트레스 요인 중 중재요인에 해당하는 것은?
51. 다음 중 인간의 행동이 어떻게 동기유발이 되는가에 둔 과정이론(process theory)이 아닌 것은?
52. A작업장의 도수율이 2로 산출되었을 때 그 결과에 대한 해석으로 옳은 것은?
53. 신뢰도가 0.85인 작업자가 혼자서 검사하는 공정에 동일한 신뢰도를 가진 요원을 중복으로 지원하여 2인 1조로 검사를 한다면 이 공정에서의 신뢰도는 얼마가 되겠는가? (단, 전체 작업기간 동안 요원은 지원된다.)
54. 레윈(Lewin)의 인간행동 법칙 “B=f(PㆍfE)”의 각 인자와 리더십의 관계를 설명한 것으로 적절하지 않은 것은?
55. 다음은 대인적 갈등해소 방안에 대한 그림이다. 각각의 영역(A~E)과 내용의 연결이 잘못된 것은?
56. 메슬로우의 욕구단계설과 알더퍼의 ERG 이론 간의 욕구구조를 비교할 때 그 연결이 적절하지 않은 것은?
57. 다음 중 자기의 주관대로 추축하는 억측판단이 일어나는 배경이 아닌 것은?
58. 인간의 불안전한행동을 예방하기 위해 Harvey에 의해 제안된 안전대책의 3E에 해당 하지 않는 것은?
59. 어떤 사업장의 생산라인에서 완제품을 검사하고 있는데, 어느 날 5000개의 제품을 검사하여 200개를 불량품으로 처리하였으나 이 로트에는 실제로 1000개의 불량품이 있었을 때 로트당 휴먼에러를 범하지 않을 확률은?
60. 스트레스에 대한 조직수준의 관리방안 중 개인의 역할을 명확히 해 줌으로서 스트레스의 발생원인을 제거시키는 방법은?
4과목: 근골격계질환 예방을 위한 작업관리
61. 다음 중 중량물 취급방법에 대한 설명으로 적절하지 않은 것은?
62. Work Factor에서 동작시간 결정시 고려하는 4가지 요인에 해당하지 않는 것은?
63. 작업관리의 문제해결방법으로 전문가 집단의 의견과 판단을 추출하고 종합하여 집단적으로 판단하는 방법은?
64. 시설배치방법 중 공정별 배치방법의 장점에 해당하는 것은?
65. 다음 중 작업관리에 관한 설명으로 적절하지 않은 것은?
66. 다음 중 근골격계질환 예방관리 프로그램의 주요 구성요소로 볼 수 없는 것은?
67. 3시간 동안 작업수행과정을 촬영하여 워샘플링 방법으로 200회를 샘플링한 결과 이 중에서 30번 손목이 꺾임이 확인되었다. 이 작업의 시간당 손목꺾임시간은 얼마인가?
68. 다음 중 작업개선의 일반적 원리에 대한 내용으로 틀린 것은?
69. 다음 중 대안의 도출방법으로 가장 적당한 것은?
70. A작업의 표준시간은 제품당 11분이다. 한 작업자가 8시간 작업시간 동안 제품 56개를 생산하였다면, 이 작업자의 효율은 약 얼마인가?
71. 다음 중 간트차트에 관한 설명으로 옳지않은 것은?
72. 다음 중 근골격계부담작업의 유해요인조사 및 평가에 관한 설명으로 틀린 것은?
73. 다음 중 근골격계 부담작업에 해당하지 않는 것은?
74. 다음 중 영상표시단말관한 내용으로 틀린 것은?
75. 작업시간을 새로이 측정하기 보다는 과거에 측정한 기록들을 기준으로 동작에 영향을 미치는 요인들을 검토하여 만든 함수식, 표, 그래프 등으로 동작시간을 예측하는 방법은?
76. 어깨, 팔목, 손목, 목 등 상지에 초점을 맞추어 작업자세로 인한 작업부하를 쉽고, 빠르게 평가하는 방법은?
77. 다음 중 근골격계질환에 관한 설명으로 틀린 것은?
78. 다음 중 비효율적인 서블릭(therblig)이 아닌 것은?
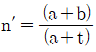
79. 작업자가 동종의 기계를 복수로 담당하는 경우, 작업자 한 사람이 담당해야 할이론적 기계대수(n')를 구하는 식으로 옳은 것은? (단, a는 작업자와 기계의 동시작업시간의 총합, b는 작업자만의 총 작업시간, t는 기계만의 총 가동시간이다.)




80. 다음 중 작업관리에서 사용되는 기본형 5단계 문제해결 절차로 가장 적절한 것은?