1과목: 일반화약학
1. 첨장약으로 사용되는 것은?
2. HMX의 결정형의 종류로 모두 옳게 나열한 것은?
3. 낙추감도가에 임계폭점의 의미를 가장 옳게 설명한 것은?
4. 트리니트로톨루엔의 산소평형은 얼마인가?
5. 한국산업표준(KS)에서 정한 도화선 품질 시험 항목이 아닌 것은?
6. 화약류 감도시험의 종류와 관계가 먼 것은?
7. 일반적으로 C3H5(ONO2)3을 몇 %이상 함유한 것을 다이너마이트하고 할 수 있는가?
8. Hg(OCN)2를 저장하는 일반적인 방법으로 옳은 것은?
9. 다음 중 뇌홍의 제조에 사용되는 주성분은?
10. 화약류 사용시의 정전기에 의한 위험 방지대책으로 잘못된 것은?
11. 산소 공급제로만 구성된 것이 아닌 것은?
12. 다음 화약류의 시험에 대한 설명 중 옳은 것은?
13. 다음 화약 중 소량인 경우에도 화염(火焰) 등 열원으로 폭발할 위험성이 가장 높은 것은?
14. 다음 중 화합 화약류에 속하는 것은?
15. 폭발온도를 높이기 위하여 폭약에 혼합 사용하는 재료는?
16. 니트로글리세린 100g이 완전폭발 하였을 경우 산소의 과부족량은 얼마인가? (단, 질소의 원자량은 14이다.)
17. 어떤 폭약(지름 32mm, 무게 112.5g)의 사상순폭 시험을 한 결과 최대순폭거리가 160mm였다. 이 때의 순폭도는?
18. 추진약의 연소효과의 측정 항목으로 가장 거리가 먼 것은?
19. 뇌관(detonator)의 기폭약으로 주로 사용되는 것은?
20. 니트로화를 통한 니트로글리콜 제조 시 글리세린과 혼합하여 사용하는 가장 큰 이유는?
2과목: 발파공학
21. 다음 중 발파작업에 대한 일반적인 설명으로 옳지 않은 것은?
22. 다음 그림은 터널발파에서 사용되는 심빼기발파 방법 중의 하나이다. 이 그림이 설명하는 심빼기발파 방법은?
23. 대구경 평행공 심빼기(cyinder cut)에 있어 첫 번째 정방향 심빼기가 완료된 상태는 그림과 같이 나타났다. W1=150mm, B1=W1, C1=225mm, W2=318mm일 때 두 번째 정방형의 장약공에 필요한 주상장약밀도는? (단, 장약공 1개에 대한 장약밀도임)
24. 측벽효과(Channel effect)에 대한 설명으로 옳지 않은 것은?
25. 암석이 균질한 채석장에서 댐 및 항만건설용 대괴 원석을 얻기 위한 발파기술 중 가장 거리가 먼 것은?
26. 계단식 발파에 있어 계단높이 7.5m, 저항선 2m, 천공경 65mm로 지발발파를 실시할 경우 공간격은 얼마가 적당한가?
27. Decoupling 효과를 이용하여 다음과 같은 조건에서 발파를 실시하는 경우 폭약과 공기와의 경계면에서 발생하는 최고압력은 얼마인가?
28. 다음 중 구조물 발파해체공법에 대한 설명으로 옳지 않은 것은?
29. 암석 약 1m3를 발파할 때 필요로 하는 폭약량이하는 뜻을 가진 암석계수(g, kg/m3)의 평균값이 가장 큰 암석은?
30. Kuznetsov(1973)는 TNT의 양과 지질구조와의 관계에서 파쇄입자의 평균크기에 대해 연구하였다. 그의 평균입자 크기를 예측하는 식
에서 고려되는 요소가 아닌 것은?
31. 제발발파와 지발발파에 관한 설명으로 옳지 않은 것은?
32. 다음 중 암석의 특성에 따른 폭약 선정방법으로 옳지 않은 것은?
33. 다음 중 수중발파 설계시 고려해야 할 사항으로 중요성이 가장 낮은 것은?
34. 다음 중 충격하중에 대한 설명으로 옳지 않은 것은?
35. 발파에 따른 비석의 발생방지 및 피해감소를 위한 대책으로 옳지 않은 것은?
36. 다음 중 터널발파시 사용되는 경사공 심빼기와 평행공 심빼기에 대한 설명으로 옳지 않은 것은?
37. 다음 중 Trim Blasting에 관한 설명으로 옳지 않은 것은?
38. 암반 발파현장에서 지발당 장약량 0.25kg을 사용하여 시험발파를 실시하였다. 폭원으로부터 10m 거리에서 15mm/sec, 50m 거리에서 1mm/sec의 지반진동속도가 계측되었을 때 자승근 환산거리에 의한 발파진동식으로 옳은 것은? (단, 신회도 50% 추정식 도출)
39. 발파작업표준안전작업지침(고용노동부고시 제2012-99호)에서 제시한 발파구간조물에 대한 피해 및 손상을 예방하기 위한 기준 중 상가(금이 없는 상태)의 허용진동치는 얼마인가? (단, 건물기초에서의 허용 진동치)
40. 전기발파에서 뇌관을 직렬회로로 연결했을 때 회로전부가 불발할 경우가 있다. 다음 원인 중 가장 적절하지 않은 것은?
3과목: 암석역학
41. 다음 중 국제암반역학회(ISRM)에서 제안한 일축압축강도시험을 위한 조건을 만족하지 못한 것은?
42. 암반내 어느 지점에서 남반에 작용하는 초기지압을 측정한 결과 암반의 자중에 의해 발생하는 수직방향의 응력이 최대주응력으로 밝혀졌다. 이 지점에서 지압에 의한 전단파괴로 단층이 형성되었다면 가장 가능성이 큰 단층의 종류는?
43. 암서의 일축압축강도보다 작은 응력수준에서 하중을 주기적으로 반복하는 경우 암석의 파괴가 발생하는데 이러한 현상을 무엇이라고 하는가?
44. 다음 중 소성변형률이 증가함에 따라 항복응력이 커지는 현상은 무엇인가?
45. 절리 경사각 Ψi, 사면 경사각 Ψs, 절리마찰각 ø일 때 전도파괴(Toppling failure)발생하기 위한 조건으로 옳은 것은?(문제 오류로 보기 2, 4번이 같습니다. 정확한 보기 내용을 아시는분 께서는 오류신고를 통하여 내용 작성 부탁 드립니다. 정답은 4번 입니다.)
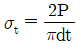
46. 다음 중 압열인장시험(Brizilian test)에 대한 설명으로 옳지 않은 것은?
에 의해 게산된다.(d:직경, t:두께)47. 암석의 삼축압축시험을 실시한 후 시험결과를 Hoek-Brown 파괴조건식에 적용한 결과 m과 s는 각각 5, 1로 계산되었다. 최소주응력이 15MPa로 주어진 지반에서 파괴시에 최대 주응력은? (단, 신선암의 일축압축강도는 100MPa이다.)
48. Mohr의 응력원에서 최대주응력(σ1)이 120MPa, 최소주응력(σ2)이 20MPa이라고 할 때 원의 중심과 반지름은 각각 얼마인가?(오류 신고가 접수된 문제입니다. 반드시 정답과 해설을 확인하시기 바랍니다.)
49. 암석의 표면에 부차된 0-45-90 변형률 roserre를 이용하여 측정된 변형률은 각각 eo=-300×10-6, e45=-150×10-6, e90=-200×10-6이다. 측정 점의 전단변형률 ϒ xy는 얼마인가?
50. 다음 중 완전 탄성체의 성질이 아닌 것은?
51. 경사방향/경사가 300/40인 절리의 방향을 주향/경사로 올바르게 표시한 것은?
52. 다음 중 측정된 인장강도 값이 가장 크게 나타나는 경향을 보이는 시험법은?
53. RMR 분류법에 대한 설명으로 옳지 않은 것은?
54. Griffith 파괴이론에 의하면 암석의 전단강도는 인장강도의 몇 배인가?
55. 다음 복합체의 역학적 모형 중 대시포트(dashpot)를 포함하지 않는 것은?
56. 암석의 내부마찰각을 ø, 최소주응력이 작용하는 면과 파괴면이 이루는 각을 α라 할 때, 옳은 관계식은? (단, Mohr-Coulomb 파괴조건식에 의함)
57. z축에 수직한 x-y 평면의 평면응력(plane-stress)상태를 표시하는 식이 아닌 것은?




58. 직경이 15m, 등가치수(equivalent dimension)가 6m인 터널에서 Q값이 30일 때, 최대무지보 폭은 얼마인가?
59. 무한 매질 속에 굴착된 원형 터널의 응력분포해석에서 정수압(-P) 상태일 때 터널 벽면에 집중되는 접선 응력의 크기로 옳은 것은?
60. 절리면의 압축강도(JCS)가 100MPam 잔류마찰각이 20°인 절리면에 대해 경사시험(tilt test)을 실시한 결과 40°에서 상부 블록의 미끄러짐이 발생하고 그 순간 상부블록에 의해 절리면에 가해지는 수직응력이 1MPa인 경우 절리면의 거칠기 계수(JRC)는 얼마인가?
4과목: 화약류 안전관리 관계 법규
61. 꽃불류 외의 화약류의 사용허가신청의 경우 허가신청서에 첨부하여야 하는 서류에 해당하는 것은?
62. 피뢰장치에 사용되는 돌침의 지름으로 옳은 것은?
63. 화약류 장소장소에서 화약류관리보안책임자의 안전상 지시감독에 따르지 아니한 사람에 대한 벌칙으로 옳은 것은?
64. 재해의 예방상 필요하다고 인정되는 때에 화약류의 소유자에게 안정도시험을 실시하도록 명할 수 있는 사람은?
65. 운반신고를 하지 아니하고 운반할 수 있는 화약류의 종류 및 수량으로 옳은 것은?(관련 규정 개정전 문제로 여기서는 기존 정답인 2번을 누르면 정답 처리됩니다. 자세한 내용은 해설을 참고하세요.)
66. 화약류의 운반방법의 기술상의 기준으로 옳은 것은?
67. 지하 1급 화약류저장소에 폭약 17톤을 저장할 때 지반의 두께기준은?
68. 화약류 제조시설의 깆분 중 불이 날 위험이 있는 일광건조장과 다른 시설간의 거리가 얼마 미만인 때에는 그 시설과의 사이에 간이 흙둑 는 방폭벽을 설치해야 하는가?
69. 화약류제조업자가 화약류 안정도시험을 불이행 하였을 경우 행정처분기준은? (단, 위반 횟수는 2회)
70. 꽃불류 사용의 기술상의 기준으로 옳은 것은?
71. 지상에 설치하는 2급 저장소의 위치ㆍ구조 및 설비의 기준으로 옳지 않은 것은?
72. 간이저장소에 저장할 수 있는 미진동파쇄기의 최대 저장량으로 옳은 것은?
73. 다음 중 화약류 양도ㆍ양수허가와 관련한 설명으로 옳지 않은 것은?
74. 영화 또는 연극의 효과를 위하여 1일 동일한 장소에서 사용허가를 받지 아니하고 사용할 수 있는 꽃불류 수량의 기준으로 틀린 것은? (단, 쏘아 올리는 꽃불류는 제외)
75. 화약류 사용자는 매월의 사용상황을 관할 경찰서장을 거쳐 허가관청에 언제까지 보고하여야 하는가?
76. 다음 중 화약류 제조업의 허가를 받을 수 있는 사람은?
77. 화약류저장소 주위에 설치하는 간이 흙둑의 기준으로 옳지 않은 것은?
78. 총포ㆍ도검ㆍ화약류 등 단속법 시행령에 규정된 보안물건의 구분으로 옳지 않은 것은?
79. 전기뇌관 400만개를 폭약량으로 환산하면 얼마인가?
80. 화약류의 취급방법에 대한 설명으로 옳지 않은 것은?
5과목: 굴착공학
81. 지반조사를 위한 수세식 시추(wash boring)에 관한 설명으로 옳지 않은 것은?
82. 완전 탄성체에 원형 갱도를 굴착할 경우, 상하 방향으로 P의 응력을 받는 갱도 측벽에 발생하는 접선방향응력은?
83. 에너지 저장시설을 지하에 설치하는 경우 이용되는 지하특성과 가장 거리가 먼 것은?
84. 다음 중 암반 터널의 굴착에 영향을 미치는 요소로 가장 거리가 먼 것은?
85. 다음 중 옹벽에 작용하는 토압의 크기 순서로 맞는 것은?
86. 건조간위중량(ϒd)이 2.1t/m3이고, 함수비(w)가 21%일 때, 습윤단위중량(ϒt)은 얼마인가?
87. 두 불연속면의 교선의 방향이 사면의 경사 방향과 거의 일치하고 사면의 경사가 두 불연속면의 경사보다 급할 경우 발생할 수 있는 암반사면의 파괴형태는?
88. 다음 중 터널의 안정성을 확보하기 위하여 설치하는 콘크리트 라이닝의 미세 균열의 발생 원인이 아닌 것은?
89. 실드(shield)공법에 의한 굴착에서 실드는 막장과 작업실을 분리하는 격벽 구조에 따라 전면개방형, 부분개방형, 밀폐형의 3종류로 분류된다. 다음 중 부분개방형 실드에 속하는 것은?
90. 다음 중 숏크리트(Shotcrete)의 뿜어 부치기 방식에 대한 설명으로 옳지 않은 것은?
91. 사면인정공법 중 안전율 유지를 위한 사면보호공법(억제공법)에 해당되지 않는 것은?
92. 안정계수가 12, 단위중량이 1.8t/m3, 점착력이 1.5t/m2인 흙으로 된 높이 4m의 사면에 있어서 안전율은?
93. 경사가 40°인 건조 경사면 위에 암반 블록이 놓여있고 블록과 경사면 간의 점착력이 0인 경우 한계평형조건하에서 블록, 바닥면의 마찰각은 얼마인가?
94. 터널 굴착의 각 단계별 조사항복 중 계획단계에 속하지 않는 것은?
95. 터널 굴착 시 내공변위 측정에 의한 주요 평가사항이 아닌 것은?
96. 다음 중 SiO2의 함량에 따라 화성암을 분류할 때 중성암에 해당하는 것은?
97. 개착공법을 분류할 때 전단면 굴착공법에 해당하는 것은?
98. 4~40m의 몇 가닥의 강선을 꼬아서 가닥으로 만든 강연선을 시멘트 그라우트된 천공홀속에 삽입한 것으로, 지하 대공간 구조물의 측벽, 천정 등의 보강이나 지지를 위하여 많이 사용되는 터널보강재는?
99. 기계굴착법인 TBM(Tunnel Boring Machine) 공법의 장점으로 옳지 않은 것은?
100. 어떤 터널현장에 분포하는 암반에 대해 Q-시스템을 적용한 결과 Q값 4를 구하였다. 절리면의 거칠기를 나타내는 Jr 값은 1.5이었고, 현장에는 3개 절리군(joint set)과 무작위 절리(random joint)가 분포하고 있다. 이 터널천반의 영구지보 압력(permanent support pressure)은?