1과목: 일반화약학
1. 화합화약류에 속하는 것은?
2. 노이만(Neumann) 효과를 이용하여 금속판에 구멍을 뚫을 경우에 대한 설명으로 옳지 않은 것은?
3. 아지화납 뇌관의 관체에 사용하는 금속은?
4. 추진약의 연소효과의 측정 항목으로 가장 거리가 먼 것은?
5. 도폭선의 심약으로 사용되는 물질로 거리가 먼 것은?
6. 다음 중 폭속이 가장 큰 폭약은?
7. 일반적으로 자연분해의 경향이 적어서 장기보존을 할 수 있는 물질로만 나열된 것은?
8. DDNP 합성의 주원료는?
9. 흑색화약의 성질에 대한 설명으로 옳은 것은?
10. 도트리쉬법에 의해 함수폭약의 폭속을 측정하였을 때의 폭속(m/s)은? (단, 표준 도폭선의 폭속 5600m/s, 도폭선의 중심과 폭발 흔적간의 거리는 8cm이고, 폭약 2점간의 거리는 10cm이다.)
11. 콤포지션-C 폭약에 대한 설명으로 옳은 것은?
12. 니트로글리세린과 니트로셀룰로오스의 콜로이드화가 진행되면 내부의 기포가 없어져서 다이너마이트가 둔감하게 되고 폭발이 어렵게 되는 현상은?
13. 약경이 32mm의 다이너마이트를 순폭시험한 결과 순폭도는 12였고, 얼마 후에 다시 시험을 하였더니 최대 순폭 거리가 32cm였다. 이 때 순폭도는 어떻게 되는가?
14. 질산암모늄 유제폭약의 표준 배합비율은?
15. 디니트로나프탈렌(DNN)의 분자식은?
16. 다음 중 수중 발파에 가장 적합한 폭약은?
17. 유리산 시험에서 리트머스 종이를 사용하는 이유는?
18. 폴민산수은(뇌홍)에 대한 설명이 아닌 것은?
19. 다음 반응식과 같이 폭발하는 폭약은?
20. TNT의 폭발분해 반응식이 다음과 같을 때 산소평형(OB)값은?
2과목: 발파공학
21. 벤치(계단)커트를 실시하는 채석장 발파에 있어 벤치높이 4m, 최소저항선 3m, 천공간격 3m인 경우 공당 장약량은? (단, 발파계수는 0.2이다)
22. 폭발 후 응력파가 전파되어 자유면에 도달하면 인장파로 반사하게 되는데, 이 때 암석이 입사할 때의 압력파보다 반사할 때의 인장파에 의해 더 많이 파괴되는 현상을 무엇이라 하는가?
23. 발파해체공법 중 단축붕괴공법(Telescoping)에 대한 설명으로 옳은 것은?
24. 비전기 뇌관 발파에서 사용 가능한 발파회로 결선법은?
25. 발파로 인해 발생한 전단파가 토양층을 통과한다. 공명주파수가 가장 크게 측정되는 토양층 두께는? (단, 통과하는 전단파의 속도는 동일하다.)
26. 비산의 방지대책으로 틀린 것은?
27. Trim blasting을 실시하려고 한다. 장약공의 지름이 50mm일 때, 발파설계 내용으로 틀린 것은?
28. 직교하는 2자유면의 암석발파에서 최소 저항선은 120cm이며 공간격도 최소저항선과 동이하다. 이때 천공깊이를 150cm 수직 천공하여 발파할 경우 공당 채석량은? (단, 암석 비중은 1.9이다.)
29. Lilly의 발파지수(Bl, Blastability Index)를 나타내는 식이 아래와 같을 때 이 식에서 JPO가 의미하는 것은?
30. 2자유면 이상의 발파에 있어서 최소저항선이 130cm이고, 장약의 길이는 공경의 10배일 때 천공심도는? (단, 구멍의 반지름은 15mm이다.)
31. 제안자에 따른 수두지수 함수의 연결로 틀린 것은?




32. 갱도굴착 단면적이 20m2이고, 천공장이 1.7m, 암석항력계수가 1인 암석갱도를 굴질하려고 한다. 1발파당 굴진장을 천공장의 90%로 보았을 때 발파당 폭약량은 약 얼마인가? (단, 폭약 위력계수 e=1, 전색계수 d=1이다.)
33. 아래와 같은 조건에서 발파를 실시할 때 적용되는 생활진동 규제기준은?
34. 발파에 의한 가옥의 피해 손상정도를 판단하는 기준으로 가옥에 미세한 크랙(crack)이 발생하고, 벽토의 붕락이 일어나는 V/C 값으로 가장 적합한 것은? (단, V/C는 Langefors가 제안한 기초지반에서의 탄성파 속도 C(km/s)에 대한 지반진동속도 V(cm/s)의 비이다.)
35. 수직천공과 비교한 경사천공의 장점으로 틀린 것은?
36. 계단식 발파에서 작은 파쇄입도를 얻기 위한 방법으로 옳은 것은?
37. 폭약류의 비교에 대한 설명으로 옳은 것은?
38. 암석의 특성에 따른 폭약 선정방법으로 틀린 것은?
39. 수중 발파 시 발생되는 충격압을 제어하는 방법 중 폭원에서 떨어진 임의의 장소에서 제어하는 방법으로 틀린 것은?
40. 디커플링지수(Decoupling Index)의 개념으로 옳은 것은?
3과목: 암석역학
41. 응력을 제거했을 때 변형률이 0이 되기 위해서 무한대의 시간이 필요한 모델은?
42. Kaiser 효과에 의한 미세균열 거동 현상을 이용하는 초기응력 측정법으로만 나열된 것은?
43. 현지암반의 변형계수를 측정하기 위한 시험법이 아닌 것은?
44. 암석 파괴이론 중에 중간 주응력을 고려한 것은?
45. 어떤 암석의 P파 속도가 4400m/s, S파 속도가 2000m/s인 경우 동푸아송 비는?
46. 탄성체가 z방향으로 구속된 평면변형률 상태에서 x,y방향의 응력이 σx, σy이며, 푸아송 비가 v일 때 z방향의 응력 σz는?

47. 몬모릴로나이트(Montmorillonte)를 함유하고 있는 이암의 특성이 아닌 것은?
48. RQD(Rock Quality Designation)에 대한 설명으로 틀린 것은?
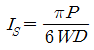
49. 점하증강도 시험에서 축방향시험 시 점하중강도지수(IS)를 구하는 식은? (단, 하중, W는 시험편의 지름, D는 시험편의 두 접촉점 사이의 거리이다.)




50. 암반사면에서 평면파괴가 일어나기 위해 만족되어야 하는 기하학적인 조건으로 틀린 것은?
51. 삼축압축시험에서 봉압이 증가할 때 일어나는 현상은?
52. 지반을 개개의 강성 블록으로 모델링하고 불연속면에서의 변위가 블록 자체의 변형보다 대단히 큰 경우 효과적으로 적용할 수 있는 수치해석법은?
53. 2차원 상태의 미소평면에 σx=20MPa, σy=40MPa, τxy=5MPa의 응력이 작용하고 있을 때 2차원 Mohr 응원력의 반지름은?
54. Griffith 파괴이론에 의하면 일축압축강도는 인장강도의 몇 배인가?
55. 암석의 인장강도를 구하고자 압열인장 강도시험(Brazilian test)을 실시하여 아래와 같은 결과를 얻었다면 이 암석의 인장강도는?
56. 절리면 전단시험 시 시험편의 전단거동특성에 대한 설명으로 틀린 것은?
57. 평사투영법(stereographic projection)에 의해 불연속면들의 극정(pole)을 분석한 결과, 극점이 사면방향과 같은 방향으로 두 곳에 집중되었다. 이 지역에서 예상되는 사면파괴의 형태는?
58. 건조된 어떤 암석 시료의 겉보기 밀도는 2.6g/cm3이고, 이 시료를 이루는 입자들의 밀도는 3.4g/cm3이다. 이 시료의 공극률은?
59. 암석에 있어서 크리프 현상에 대한 설명으로 틀린 것은?
60. 지하공동의 폭이 20m, ESR이 1인 경우 등가 굴착크기(Equivalent dimension)는?
4과목: 화약류 안전관리 관계 법규
61. 허가를 받지 아니하고 제조할 수 있는 화학류의 수량으로 옳은 것은? (단, 학교ㆍ연구소등 공인된 기관에서 물리ㆍ화학상의 실험목적으로 사용하기 위한 것이며, 신호염관ㆍ신호화전 또는 꽃불류의 원료용 화약 및 폭약을 제조하는 경우)
62. 대발파의 기술상의 기준으로 옳지 않은 것은?
63. 화약류를 양도 또는 양수하고자 하는 사람은 누구의 허가를 받아야 하는가? (단, 예외사항 제외)
64. 화약류와 관련한 장부의 비치 등에 대한 설명으로 옳은 것은?
65. 화약류관리보안책임자의 면허를 받을 수 있는 사람은?
66. 다음 ( )안에 들어갈 수치를 차례대로 옳게 나타낸 것은?
67. 1급저장소와 보안물건 간의 보안거리의 기준으로 옳은 것은? (단, 저장된 폭약량은 20톤이며, 철도가 있음)
68. 총포ㆍ도검ㆍ화약류 등의 안전관리에 관한 법령상 다음 ( )안에 알맞은 내용은?
69. 화약류관리보안책임자의 선임기준으로 옳지 않은 것은?
70. 화약류를 운반하는 사람은 운반과정에 화약류운반신고증명서를 지니고 있어야 한다. 이를 위반할 때 받는 처벌은?
71. 다음의 화약류 중 제조, 수출ㆍ입에 관하여는 총포ㆍ도검ㆍ화약류 등의 안전관리에 관한 법률의 적용을 받지만 판매, 소지에 관하여는 적용받지 않는 품목은?
72. 폭약과 비슷한 파괴적 폭발에 사용될 수 있는 것으로서 대통령령이 정하는 것에 속하는 것은?
73. 화약류 운반 시 운반표지를 하지 않아도 되는 화약류의 수량으로 틀린 것은?
74. 정기안전검사를 받아야 하는 대상 시설에 속하지 않는 것은?
75. 화약류의 적재방법의 기술상의 기준으로 옳지 않은 것은?
76. 화약류 판매업자가 소지 또는 양수허가를 받지 아니한 사람에게 화약류를 양도했을 경우 행정처분기준은? (단, 2회 위반)
77. 위험공실의 준방폭식 구조의 기준에 대한 설명으로 옳지 않은 것은?
78. 화약류저장소에 따른 화약류의 최대 저장량으로 적합하지 않은 것은?
79. 화약류를 양도 또는 양수하고자 할 때 허가를 받지 않아도 되는 경우로 옳지 않은 것은?
80. 화약류의 안정도시험에 사용하는 시험기 등에 대한 설명으로 틀린 것은?
5과목: 굴착공학
81. 그림과 같은 단순사면에서의 심도계수는?
82. 터널 굴착에 따른 지하수 및 지표수 등 터널 내 용수를 처리하기 위하여 적용하는 지수 공법에 해당하지 않는 것은?
83. 발파공법과 비교한 TBM 공법의 일반적인 장점으로 틀린 것은?
84. 옹벽에서 주동토압에 대한 설명으로 옳은 것은?
85. 터널시공을 위한 지반조사를 실시하였을 때 터널시공에 문제가 되는 지반조건으로 가장 거리가 먼 것은?
86. 터널계측은 일상적인 시공관리를 위한 일상계측(계측 A)과 정밀 분석을 위한 정밀계측(계측 B)으로 분류한다. 다음 중 일상계측에 해당하지 않는 것은?
87. 숏크리트의 건ㆍ습식 공법에 대한 설명으로 틀린 것은?
88. 사면안전공법 중 억지공법이 아닌 것은?
89. 숏크리트의 작용 효과에 해당하지 않는 것은?
90. 두께 4m의 포화 점토층이 지표로부터 8m깊이의 모래층 아래에 있으며, 지하수위는 지표면 아래 6m 깊이에 있다. 점토와 모래의 포화단위중량은 각각 19kN/m3, 20kN/m3이고, 지하수위 위에 있는 모래의 단위중량은 17kN/m3이다. 지표면 아래 12m 지점에서의 유효연직응력은? (단, 물의 단위중량은 9.8kN/m3이다.)
91. 그림과 같이 암반사면 위에 무게 50kN의 암석 블록이 놓여 있다. 블록의 밑면적이 500cm2, 암반 사면의 경사각 30°, 미끄러짐면의 점착력이 200kN/m2, 마찰각 30°일 때 미끄러짐에 대한 안전율은?
92. 화성암을 분류할 때 염기성암에 해당하는 것은?
93. 록볼트의 지보효과가 아닌 것은?
94. Terzaghi의 암반 하중분류법에서 암반하중이 가장 크게 작용하는 암반상태로 옳은 것은?
95. 에너지를 지하공동 내에 저장하는 경우, 활용이 기대되는 지하공간 특성으로 가장 거리가 먼 것은?
96. 평탄한 탄성지반의 지표면에 집중하중 200kN이 작용할 경우, 여기서 지표면상에 가로 3m, 세로 4m 떨어진 A지점이 있다. A지점의 지표면 아래 10m 지점에서 이 집중하중에 의해서 발생되는 연직응력의 증가량은?
97. 터널 굴착 공법 중 메세르(messer)공법에 대한 설명으로 옳은 것은?
98. 막장면에 지지코어를 남기고 굴착하는 공법으로 막장면의 안정성이 문제가 되는 지반에 적용하는 굴착공법은?
99. 사면을 대상으로 하는 암반 분류법인 SMR은 RMR을 기초로 하고, 기타 요소를 고려하여 보정하는 암반분류방법이다. RMR을 결정한 후 SMR을 위해 적용되는 기타 요소가 아닌 것은?
100. D10=0.082mm, D30=0.29mm, D60=0.51mm인흙의 균등계수(Cu)와 곡률계수(Cc)는? (단, D10, D30, D60은 입격가적곡선에서 통과중량백분율 10%, 30%, 60%에 해당되는 입경이다.)