1과목: 해양학개론
1. 기조력의 크기와 달까지의 거리와의 관계가 옳은 것은?
2. 용승(Upwelling) 해역에 대한 설명 중 틀린 것은?
3. 엘니뇨(El Nino) 현상은 어디에서 주로 일어나는가?
4. 대양에서 영구수온약층(permenent thermocline)이 가장 깊은 수심에서 나타나는 해역은?
5. 열점(Hot Spot)과 관계가 가장 깊은 것은?
6. 해수 중 인산염 농도변화를 설명한 내용 중 잘못된 것은?
7. 심해저 망간단괴를 상대적으로 많이 채취할 수 있는 장점은 있으나 주변의 퇴적물을 채취하지 못하는 단점을 가진 방법은?
8. 미나마타병과 이타이 이타이병의 원인이 되는 해양오염 물질은 각각 무엇인가?
9. 해빈 물질의 특성과 거리가 먼 것은?
10. 대기와 해양간의 탄소 교환에 중요한 역할을 하는 CO2의 분압과 해수의 pH에 관련된 내용이 옳게 설명된 것은?
11. 해양의 표면염분 분포에 가장 큰 영향을 주는 것은?
12. 고기압 지역에 나타나는 현상으로 맞는 것은?
13. 밀도류에 대한 설명 중 옳은 것은?
14. 해양판과 해양판이 수렴하는 수렴경계면에서 나타나는 대표적인 해저지형(장소)은?
15. 파랑이 심해에서 전파될 때 파의 속도는?
16. 염분 측정에 이용되는 대표적인 물리적 성질은?
17. Ekman의 취송류이론에서 상부마찰심도의 해류는 해표면 해류의 몇 배로 나타나는가?
18. 다음 중 지구 내부의 열을 공급하는 가장 주된 작용은?
19. 해양과 대기의 상호작용을 설명한 내용 중 틀린 것은?
20. 망간단괴 성분 중 경제적인 가치가 없는 것은?
2과목: 해양수리학
21. 수리모형 실험에서 원형과 모형 사이에 상사시키기 가장 어려운 것은?
22. 동점성계수의 차원은?
23. 토사 입자의 해저 이동시 마모되는 정보의 지표가 되는 것은?
24. 파의 천수계수(Ks)에 영향을 미치지 않는 것은?
25. 표사로 인한 해빈의 특수한 평면 형상 중에서 자연해안, 특히 결궤성 해안에서는 정선(汀線)이 원호상으로 드나드는 일이 많다. 이와 같은 원호상의 정선은?
26. 해안선의 변형을 예측하는데 주로 사용하는 모델은?
27. 주기 3분의 장주기 파랑에 의한 공진현상이 일어날 수 있는 수심이 25m이며, 한쪽이 폐쇄된 내만의 특성길이는?
28. 조석이 있는 2개의 해역을 잇는 해협이 있다. 이 해협의 수심과 폭이 일정하며, 해협 양끝에서의 최대 수위차가 1m인 경우 해협 중앙부에서의 최대 조류속도는?
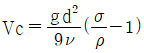
29. 모래입자의 평균입경이 d(cm), 해수의 밀도를 ρ(g/cm3), 모래입자의 밀도를 σ(g/cm3), 동점성계수를 ν(cm2/sec) 라고 할 때 Stokes의 한계침강속도 Vc(cm/sec)를 나타낸 식은?




30. 취송류(wind drift current)에 관한 설명 중 틀린 것은?
31. 물체의 저항과 관련된 설명 중 틀린 것은?
32. 이안류에 대한 설명으로 틀린 것은?
33. 파의 운동에 관한 설명 중 틀린 것은?
34. 톰보로(Tombolo) 지형에 대한 설명으로 옳은 것은?
35. 지중해를 그림과 같이 단순모형화 하였을 때 지중해 입구 상층부에서는 36.25‰의 염분을 가진 물이 지중해로 유입되고, 저층부에서는 37.75‰의 염분을 가진 물이 지중해에서 대서양으로 유출되며, 지중해 내에서 단위시간당 증발량이 70×103 m3/s라면 단위시간당 지중해로 유입되는 해수량은?
36. 파랑의 굴절현상의 해석에 이용되는 스넬(Snell)법칙은? (단, α1 : 파랑의 입사각, α2 : 파랑의 굴절각, C1 : 파랑의 입사파속, C2 : 파랑의 굴절파속)




37. 해빈 표사시로 채취 시 주의사항이 아닌 것은?
38. 수평축척 1/1600, 연직축척 1/100인 모형수조에서 조류의 모형실험을 실시하였다. 이 때 원형에서 12시간의 조석수기에 해당하는 모형에서의 시간과, 모형실험에서 10cm/sec의 유속에 해당하는 원형에서 유속은?
39. 다음 중 주기가 가장 긴 분조는?
40. 유의파와 최대파의 설명으로 틀린 것은?
3과목: 해양구조공학
41. 방파제의 마루높이를 결정할 때 고려해야 할 중요한 인자와 가장 거리가 먼 것은?
42. 한변의 길이가 a인 정사각형 단면의 대각선 축에 관한 단면 2차모멘트는?




43. H1/3가 6m인 파랑내습이 예상되는 지점에 KD값이 8인 이형콘크리트 블록으로 피복한 사면제(cot θ = 1.25)를 건설하는 경우 블록의 소요 중량은? (단, 콘크리트 블록의 대기중 단위체적 중량은 2.3 t/m3, 해수의 단위체적중량은 1.03 t/m3 이다.)
44. 두 개의 집중하중이 아래 그림과 같이 작용할 때 최대 처짐각은?




45. 다음 그림과 같은 구조물의 C점에 100t의 하중이 가해져서 C점과 D점의 처짐이 각각 4cm, 5cm가 발생하였다. 이 구조물의 D점에서만 150t의 하중이 가해졌을 때 C점에서의 처짐의 크기는?
46. 아래의 구조물에서 단면 a-a에 발생하는 최대 휨응력의 크기는?
47. 다음 중 계류시설이 아닌 것은?
48. 물양장에 대한 설명으로 틀린 것은?
49. 다음 중 슬립(slip)을 설명한 것은?
50. 말뚝식 해양구조물에 대한 설명으로 틀린 것은?
51. 경사제의 장점이 아닌 것은?
52. 다음과 같은 부재가 기온이 15℃에서 30℃로 증가함에 따라 2cm가 늘어났다면 다시 30℃에서 60℃로 증가할 때 늘어나는 길이는?
53. 다음 그림과 같은 1면 전단의 리벳이음으로 40t의 인장하중을 지지하려고 할 때 필요한 리벳의 개수는? (단, 리벳의 허용전단응력은 1500 kg/cm2, 허용지압응력은 2000kg/cm2, 리벳의 직경은 2cm 이다.)
54. 다음 중 단위가 무차원인 것은?
55. 다음 단순보의 지점에서의 반력을 올바르게 나타낸 것은?
, 수평반력 : P(←)
, 수평반력 : 0
, 수평반력 : P(←)56. 해양생산플랫폼을 rigid type, compliant type, floating type으로 구분할 때, 다음 중 rigid type의 구조물은?
57. 석유굴착용 플래트폼이 외해의 심한 자연조건 아래에 설치될 때 주요한 외력이 아닌 것은?
58. 부체운동 중 변위에 대한 복원력이 없는 것은?
59. 푼툰(pontoon)에 대한 설명 중 틀린 것은?
60. 해양구조물 설계 시 중요하게 고려하는 작업상태가 아닌 것은?
4과목: 측량학
61. 촬영고도 4000m에서 16cm 초점거리의 광각사진기로 시속 200km의 운항속도로 항공사진을 촬영할 때 사진 노출점간의 최소 소요 노출시간은? (단, 사진의 크기 23cm × 23cm, 종중복도 60% 이다.)
62. 카메라의 초점거리가 150mm, 대지표고 100m, 촬영고도 950m 일 때 항공사진의 축척값에 가장 가까운 것은?
63. GPS측량의 DOP(정밀도 저하율) 특징 중 틀린 것은?
64. 항해용 해도에 관한 설명 중 틀린 것은?
65. 음파의 주파수에 대한 설명 중 옳은 것은?
66. 트래버스 측량에서 정확도가 가장 좋은 방법은?
67. 양단면의 면적이 A1 = 65m2, A2 = 30m2 이고, 높이가 18m 일 때 체적은?
68. 해상위치측정에서 시간차에 의한 거리차측정방식을 이용하여 거리를 측정하는 기계로 쌍곡선방식과 원호방식을 모두 채용할 수 있으며, 측정거리는 주간은 75mile, 야간은 50mile 정도 되는 것은?
69. 최소제곱법에 의해 처리할 수 있는 오차는?
70. 음파탐사의 주파수(f)가 3kHz라면 파장(λ)은?
71. 채취한 해저질의 입도분석에 사용되는 방법이 아닌 것은?
72. 해저 지질조사 시의 직접조사 방법이 아닌 것은?
73. 음향측심의 보정사항이 아닌 것은?
74. 해수중 음파의 강도(I)에 대한 설명 중 틀린 것은?
75. 위도 80° 이상의 양극지역의 좌표를 표시하는데 가장 적합하게 사용되는 것은?
76. 지구관측 및 원격탐사를 위한 위성이 아닌 것은?
77. 음향측심기에서 음속의 기준은?
78. 연안역의 외해에 정박된 선박이 그 위치를 결정하기 위해서 이용되는 것으로 평판측량에도 널리 이용되는 위치결정방법은?
79. 항공사진의 특수 3점이 아닌 것은?
80. 등고선의 성질 중 틀린 것은?
5과목: 재료공학
81. 다음 그림과 같은 등변분포하중을 받는 단순보에서 C점의 휨모멘트는?
82. 재료에 지속하중이 장시간에 걸쳐 작용할 때 시간의 경과와 함께 변형이 증가하는 현상은?
83. 해양에서의 철강 재료의 부식 요인과 가장 거리가 먼 것은?
84. 해양콘크리트의 물-시멘트비에 대한 설명 중 틀린 것은?
85. 해양 콘크리트에 사용된 철근의 부식을 최소화 하기 위한 방법이 아닌 것은?
86. 지름 4cm, 길이 100cm의 봉에 6000kg의 인장하중을 부과하였다면 축방향의 신장은? (단, E = 0.63 × 106 kg/cm2)
87. 굳지 않은 콘크리트의 워커빌리티(workbility) 측정시험 방법이 아닌 것은?
88. 시멘트의 비중시험을 위하여 르 샤텔리(Le Chatelier) 비중병의 0.2mL 눈금까지 광유를 주입하고 시료를 64g 가하였을 때의 눈금이 22.4mL이면 이 시료의 비중은?
89. 길이 300m, 직경 50mm인 알루미늄 봉을 100kN으로 인장시험한 결과 봉의 길이가 0.3mm 늘어났고 지름은 0.012mm 만큼 감소하였다. 이 때 프와송비는?
90. 강을 필요한 용도와 목적에 맞도록 가열 또는 냉각함으로서 그 조직을 바꾸고 가공성, 강도, 점성 등의 성질을 개선시키기 위한 강의 열처리방법에 속하지 않는 것은?
91. 허용응역 이하로 긴장해 놓은 PS(Prestressing) 강재(Steel)가 긴장 후 몇 시간, 또는 수십 시간 후에 별안간 끊어지는 현상은?
92. 조강성, 내화성, 화학적 저항성이 높고 발열량이 커서 긴급을 요하는 공사, 내화용 콘크리트, 해양콘크리트 또는 한중공사의 시공에 이용될 수 있는 시멘트는?
93. 골재의 조립률 설명으로 틀린 것은?
94. 콘크리트의 압축강도를 측정하는 방법으로 테스트 해머에 의한 강도 평가방법은?
95. 1000kg/cm 의 비틀림 모멘트가 작용하는 직경 6cm인 둥근 막대의 최대전단응력은?
96. 철강재료의 녹방지용 페인트 성질을 열거한 내용 중 틀린 것은?
97. 샬피 충격시험(Charpy V-Notch)에 관한 설명으로 틀린 것은?
98. 단면이 30×50cm인 재료의 압축강도가 250 kg/cm2 이라면 이 재료에 가할 수 있는 압축력의 한계값은?
99. 해수 중에 포함된 다양한 염류 중에서 콘크리트에 침투하여 에트링가이트(Ettringite)를 생성, 콘크리트를 팽창시켜 내구성 저하와 균열을 유발하는 물질은?
100. 철근 콘크리트에 사용되는 보통 포틀랜드 시멘트(ordinary portland cement)에 관한 설명으로 틀린 것은?