1과목: 컴퓨터일반
1. 명령어에 대한 설명으로 옳은 것을 <보기>에서 고른 것은?
2. 파이프라인(Pipeline)에 대한 설명으로 옳은 것을 <보기>에서 고른 것은?
3. 기억장소의 계층 구조에서 속도가 빠른 순으로 옳은 것은?
4. 명령어 주소 지정 방식에 대한 설명으로 옳지 않은 것은?
5. 데이터마이닝 기법에 대한 설명으로 옳지 않은 것은?
6. 데이터베이스 시스템에 대한 설명으로 옳지 않은 것은?
7. SQL 명령어 중 성격이 나머지와 다른 것은?
8. 데이터베이스 설계 절차로 옳은 것은?
9. 트랜잭션의 특성 중, 구성하는 작업들이 전부 수행되거나 전혀 수행되지 않아야 하는 것에 해당되는 것은?
10. 빅데이터에 대한 설명으로 옳지 않은 것은?
11. C언어에서 배열에 대한 설명으로 옳지 않은 것은?
12. 연결 리스트에 대한 설명으로 옳지 않은 것은?
13. 스택에 대한 설명으로 옳지 않은 것은?
14. 그래프에 대한 설명으로 옳지 않은 것은?
15. 트리에 대한 설명으로 옳지 않은 것은?
16. 정적 테스트에서 비정형 방법에 해당하지 않는 것은?
17. 나선형(Spiral) 모델의 단계에 대한 설명으로 옳지 않은 것은?
18. 디자인 패턴 중, 구조 패턴에 해당하지 않는 것은?
19. 기능 점수 산정 방법에 대한 설명으로 옳지 않은 것은?
20. CMMI(Capability Maturity Model Integration)의 소프트웨어 프로세스 성숙도 단계에 대한 설명으로 옳지 않은 것은?
21. 다음 C프로그램의 실행 결과로 옳은 것은?
22. 다음 C프로그램의 실행 결과로 옳은 것은?
23. 다음 C프로그램의 실행 결과로 옳은 것은?
24. 프로그래밍 언어에 대한 설명으로 옳은 것만을 <보기>에서 모두 고른 것은?
25. 컴퓨터의 구성요소 중, 다음 파이썬 프로그램의 변수가 생성되는 장치로 옳은 것은?
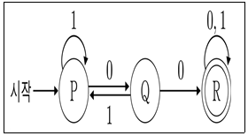
26. 다음 오토마타에서 인식할 수 있는 문자열로 옳지 않은 것은?
27. <보기>에서 동일하거나 유사한 종류의 프로그램으로 분류된 항목 중 옳지 않은 것은?
28. 프로세스에 대한 설명으로 옳은 것만을 <보기>에서 모두 고른 것은?
29. 다음과 같이 분할된 빈 메모리에 프로그램을 할당할 때 최악 적합(Worst Fit)에 해당하는 것은?




30. 운영체제에 대한 설명으로 옳은 것만을 <보기>에서 모두고른 것은?
31. VPN(Virtual Private Network)에 관한 내용으로 옳은 것을 <보기>에서 고른 것은?
32. 사물 인터넷(IoT, Internet of Things)의 보안 위협에 대한 설명으로 옳지 않은 것은?
33. 정보보안의 3대 요구사항에 해당하지 않는 것은?
34. 해시 함수의 특징에 대한 설명으로 옳은 것은?
35. 무선랜 공격에 대한 대응 기법으로 옳지 않은 것은?
36. 시스템에서 사용하는 보안 기법에 대한 설명으로 옳지 않은 것은?
37. 가상화(Virtualization)에 대한 설명으로 옳지 않은 것은?
38. 네트워크 트래픽 유형은 탄력적 트래픽과 비탄력적 트래픽으로 구분할 수 있다. 트래픽의 유형이 나머지와 다른 서비스는?
39. 전기통신 분야의 국제 표준을 담당하는 유엔 산하 기구는?
40. VoIP QoS에 영향을 주는 파라미터에 대한 설명으로 옳지 않은 것은?