1과목: 어구학
1. 강도가 가장 강하나 마찰에 약해서 그물실용으로는 거의 없고 밧줄용으로 가장 많이 쓰이며, 비중이 가장 적은 합성섬유 계통은?
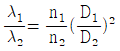
2. 어구의 성능을 시험하기 위한 모형어구의 수조시험에서 그물실 지금, 그물실 비중, 유속의 관계는
과 같다. 이 식에서 v, d, p는 차례대로 각각 무엇을 나타내는가?(단, 첨자 1은 실물, 첨자 2는 모형을 나타낸다.)
3. 태클로써 끌어올리려고 하는 물체의 최대 하중이 4500kg, 윈치가 물체를 끌어올리는데 사용할 수 있는 힘의 최대치가 850kg이다. 동활차와 이동활차를 조합하여 태클을 구성하려고 할 때, 동활차를 통과하는 줄의 가닥수는 최소한 얼마로 해야 하는가?
4. 선망 어업에서 많이 이용하고 있는 마찰식 양망기에 있어 무거운 그물을 오리는데 가장 좋은 방법은?
5. 건착망 어구 설계 도면에 조임고리(purse ring)의 표시가 아래와 같다. 표시된 내용과 일치하지 않는 것은?
6. 낙망을 설계할 때 근본적인 기준이 되는 것은?
7. 망사의 안전 사용력은 파단력의 어느 정도인가?




8. 킹크(kink)가 생기지 않고 실이 끊어져도 꼬임이 잘 풀리지 않는 그물실은?
9. 다음 중 건착망의 어구설계 시 깊이를 결정하는 요소는?
10. 다랑어 주낙용 양승기의 권양력을 크게 하는데 영향을 미치는 요소로 가장 거리가 먼 것은?
11. 컴파운드로프(compound rope)란?
12. Nylon 그물감의 그물코의 뻗친 길이가 38mm 이면 몇 절인가?
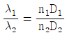
13. 그물을 끄는 동안 날개그물의 간격이 저절로 좁혀지는 어구는?
14. 그물어구의 상사법칙에서 길이를 λ, 뜸의 직경 D, 단위 길이당의 뜸의 수를 n, 모형은 첨자 1, 실물은 첨자 2로 한다면 다음 중 그 표현이 가장 적합한 것은?




15. 기선저인망, 안강망, 기선권현망, 어선 등에서 끌줄, 후릿줄, 고삐줄 등과 같이 힘이 많이 걸리는 각종 rope류를 감아올리는 기계장치는?
16. 트롤 원치(Trawl winch)에 있어서 윈치의 동력 P, 예강에 걸리는 장력이 양현 모두 같이 T이고, 감아올리는 속도를 v라고 할 때 P는?




17. 다음 어업 중 미늘이 없는 낚시를 사용하는 경우는?
18. 쌍끌이 기선저인망에서 어선의 마력이 500ps일 때 부력의 기준치는?
19. 양승기에 있어서 압착롤러의 역할은?
20. 다음 중 오징어 채낚기 어선에서 현재 집어등으로서 가장 널리 사용되고 있는 광원은?
2과목: 어법학
21. 다랑어 주낙을 투승 시 어군의 유영층이 일정하지 않을 때 낚시의 깊이를 조절하기 위한 방법은?
22. 권착망 어법에서 어구의 길이 결정요인에 관한 설명으로 옳지 않은 것은?
23. 집어등에 유집된 고등어 어군의 일반적인 유영행동은?
24. 어군이 자극원에서 피해가도록 해서 모이게 하는 집어 방법은?
25. 다음 중 순대말이 현상과 가장 관계 깊은 어법은?
26. 저인망 어법에 있어서 어획성능을 높이기 위해서 어군을 집결시키는 것이 중요한데, 이것을 1차적으로 수행하는 것은?
27. 다음 중 예망속도가 가장 큰 것은?
28. 권현망 어법에 사용되는 어구에서 자루를 적당한 깊이에 유지하고, 뜸줄의 장력을 자루에 원활히 전달하기 위하여 자루등판에 붙이는 것을 무엇이라 하는가?
29. 새우 트롤어업에서 가장 문제되는 것은?
30. 대형 정치망에서 그물과 뜸을 떼어서 놓아야 할 경우 그물과 뜸 사이의 줄을 무슨 줄이라고 하는가?
31. 건착망 그물의 그물 하단을 죄기 위한 밧줄은?
32. 현측식 쌍끌이 기선저인망 투망법의 설명으로 옳은 것은?
33. 안강망어업의 주 대상 어족이 아닌 것은?
34. 다음 중 조기 어획 시 가장 적합하게 사용되는 어업으로 짝지어진 것은?
35. 멸치 유자망 어법에서 어구의 1폭 당 잉여 부력은 전체 부력의 몇 %가 되도록 구성하는가?
36. 권현망 어업에 쓰이는 선박 중 어로장이 탑승하여 조업을 지휘하는 역할을 하는 배는?
37. 중층 트롤의 일반적인 특징으로 옳지 않은 것은?
38. 다음 중 어법의 적극성이 다른 것은?
39. 다랑어 선망을 투망할 때, 맨 먼저 슬립웨이(Slipway)를 통하여 그물 한 자락 끝이 매어 있는 선박을 투입하는데, 그 선박을 무엇이라 하는가?
40. 고등어, 전갱이를 주 대상으로 하는 어법이며, 1980년대부터 다랑어의 어획에도 사용되고 있는 것은?
3과목: 수산자원학 및 어업관리학
41. 트롤조사법에서 여과용적의 계산이 가장 적절한 것은?
42. 선택계수가 3.인 청어 트롤어구가 있다. 어포부의 망목크기를 60mm로 하면, 이 어구로서 어획할 수 있는 청어의 50% 선택체장은 얼마인가?
43. 자원량이 증가함에 따라 자원증가율이 저하하는 현상은?
44. 연어과 어류와 고등어가 어류들이 등지느러미 뒤쪽에 가지는 작은 지느러미를 각각 무엇이라고 하는가?
45. 소하서 어류를 가장 잘 설명한 것은?
46. 어류의 종족유지를 위한 회유는?
47. 배타적 경제수역 설정에 있어서 한국이 중국 및 일본과 경계획정에 관한 현상을 하고 있는 이유는?
48. 다종어업의 관리방법에 관한 설명 중 맞는 것은?
49. 북양 트롤어업의 주 대상 어종이 아닌 것은?
50. 유엔해양법의 발효와 더불어 등장한 배타적경제수역(EEZ)의 설명 중 옳지 않은 것은?
51. 새파에 대한 설명으로 옳은 것은?
52. 다음 중 수온이 가장 높은 해역에서 주로 분포하는 것은?
53. 남획 징후와 관련이 먼 것은?
54. 우리나라 동해안에서는 주로 유자망으로 어획하나 북해도 근해에서는 봉수망에 의해 대향 어획되는 어종은?
55. 어업관리에 사용하는 개별할당제를 실시할 때 문제점이라고 생각되는 사항이 아닌 것은?
56. 어류의 체장을 L, 체중을 W라 할 때 비만상태계수는?
57. TAC에 의한 어획규제의 제도하에서는 문제점이 있기 때문에 ITQ 어업관리제도를 도입하게 되는데, 다음 중 그 도입배경과 가장 거리가 먼 것은?
58. 어업관리에서 사용하는 용어 중 양도가능 개별할당제를 뜻하는 용어는?
59. 다음 중 살지느러미의 모양이 다른 오징어류는?
60. 전어, 참돔, 쥐치 등이 체형으로 가장 적합한 것은?
4과목: 어업어장정보론
61. 어망감시기(net recorder)에서 에코 신호 전송용 주파수는 선미와 트롤망 입구와의 거리가 2000m 이내이면 50 kHz를, 그 이상이면 30 ~ 40 kHz를 사용한다. 그 주된 이유는?
62. 참다랑어의 좋은 어장이 되는 해양 조건은?
63. 해양에서 물의 맑고 흐림을 측정하기 위하여 사용하는 직경 30cm의 희색 원판을 무엇이라고 하는가?
64. 지구의 자전으로 인하여 그 방향이 변하여 곡선운동을 하는 것처럼 보이는 이유는 무엇에 의한 영향 때문인가?
65. 수중 음탐장치에서 반사체의 표적강고 T를 음파의 반사강도(Is)와 입사강도(Ii)를 표시하면 다음 어느 관계식이 되는가?




66. 다음 중 겨울철에 형성된 물이 하계에도 중·저층에 잔존해 있으면서 주변의 어장분포에 크게 영향을 미치는 수괴는?
67. 용승역에 좋은 어장이 이루어지는 이유로 가장 적합한 것은?
68. 탄성체에 응력을 가하면 그 표면에 전하가 발생하는 현상은?
69. 위성사진에서 수온을 추정할 경우 적절한 해석방법이 아닌 것은?
70. 표층 가까이를 군영하는 어군의 군색에 영향을 주는 요인이 아닌 것은?
71. 수중에서 트롤 어구의 입구 전개 상태를 정확하게 파악하기 위한 장치는?
72. 상관법에 의해 어황예측을 할 때 꼭 필요한 조건이 아닌 것은?
73. 다음 중 현재 어업정보를 얻는 데 가장 적합한 위성은?
74. 해수의 밀도표시를 간단히 하기 위해 해양학자는 시그마-티(Sigma-T, σt)를 사용한다. 다음 중 시그마-티를 바르게 나타낸 것은? (단, p는 해수의 밀도이다.)
75. 조경부근에 일어나는 와류의 강도는?
76. 다음 지역 중 조차가 가장 큰 곳은?
77. 어군탐지기에서 해저부근의 어류와 해저와의 분별이 곤란할 때 이용하는 것은?
78. 넓은 해역에서 단시간 내에 해수의 유동을 측정 할 수 있는 계기는?
79. 내만 부근의 조경어장에서 조목이 형성되는 곳은?
80. 조경 어장에 대한 설명 중 틀린 것은?
5과목: 해양수산법규
81. 다음 ( )에 가장 적합한 것은?
82. 연안국에 의한 영역관할권의 행사를 실질적으로 보장해줌과 동시에 공해에서의 외국선박에 대한 불간섭원칙의 예외가 되는 것은?
83. 직선기선제도가 국제분쟁의 요인이 되는 직접적인 이유는?
84. 다음 중 수산업법에서 규정하고 있는 수산업의 종류가 아닌 것은?
85. 수산업법에서는 어업을 경영하는 자를 무엇이라 규정하고 있는가?
86. 다음 중 근해어업에서 어업의 종류에 따라 사용이 제한되는 그물코의 규격이 옳지 않은 것은?
87. 총허용어획량계획에 포함되어야 하는 사항이 아닌 것은?
88. 수산업법상 면허어업의 종류에 속하는 것은?
89. 다음 중 시·군·구 수산조정위원회의 기능에 속하지 않는 것은?
90. 수산업법의 목적을 가장 적합하게 표현한 것은?
91. 1982년 유엔해양법협약상 배타적경제수역에 대한 설명으로 틀린 것은?
92. UN해양법협약에 의하면 연안국은 아래에 관하여 협약의 규정 및 국제법의 기타 규칙에 따라서 영해에서의 무해통항에 관한 법령을 제정할 수 있는데, 이에 관련이 없는 것은?
93. 수산업법이 적용되는 수면에 관한 설명이 옳지 않은 것은?
94. 수산업법령상 마을어업 어장의 수심한계는?(단, 강원도, 경북 및 제주도의 경우를 제외함)
95. 수산업법의 규정에 의하여 면허를 방아 어업을 경영할 수 있는 권리는?
96. 총허용어획량의 설정과 관련한 법상의 규정과 거리가 먼 것은?
97. 다음 중 배타적경제수역내에서 대한민국이 가지는 주권적 관리와 관할권에 대한 설명으로 옳지 않은 것은?
98. 어업 감독 공무원의 직무사의 권한에 속하는 것은?
99. 다음 중 신고어업에 대한 내용으로 틀린 것은?
100. 경남 거제군수가 갑의 신청에 의거 지금까지 금지하고 있었던 총톤수 7통의 통발어업에 대하여 금지를 해제하였다. 이 행위의 법적 성격은?