1과목: 연소공학
1. 연료 사용설비의 배기가스에 의한 대기오염을 방지 하는 방법으로 가장 거리가 먼 것은?
2. 저질탄 또는 조분탄의 연소방식이 아닌 것은?
3. 9.8N의 물체가 100m의 높이에서 지상으로 떨어졌을 때 발생하는 열량은 약 몇 J인가?
4. 과잉공기량이 연소에 미치는 영향으로 가장 거리가 먼 것은?
5. 경유에 포함된 탄화수소 중 세탄가가 높은 순서대로 나타낸 것은?
6. 액체의 인화점에 영향을 미치는 요인으로 가장 거리가 먼 것은?
7. 기체연료가 다른 연료에 비하여 연소용 공기가 적게 소요되는 가장 큰 이유는?
8. 액체 연료의 발열량 산출식으로 옳은 것은? (단, HL : 저위 발열량, Hh : 고위발열량, 연료 1kg 중의 C, H, O, S 이다.)
9. 전압은 분압의 합과 같다는 법칙은?
10. 석탄에 함유되어 있는 성분 중 ㉮수분, ㉯휘발분, ㉰황분이 연소에 미치는 영향으로 가장 적합하게 각각 나열한 것은?
11. 저탄장 바닥의 구배와 실외에서 탄층높이로 가장 적절한 것은?
12. 95% 효율을 가진 집진장치계통을 요구하는 어느 공장에서 35% 효율을 가진 전처리 장치를 이미 설치하였다. 주처리 장치는 몇 % 효율을 가진 것이어야 하는가?
13. 온도가 높고 압력이 커질수록 연소속도는 어떻게 변하는가?
14. 연소속도는 다음 중 어느 것의 영향을 가장 많이 받는가?
15. 연도가스를 분석한 결과 값이 각각 CO2 12.6%, O2 6.4% 일 때 (CO2)max 값은?
16. 액체연료를 연소시키는데 필요한 이론공기량을 옳게 표시한 것은?




17. 출력 20000kW의 화력발전소에 사용되는 중유의 발열량이 9900kcal/kg일 때 중유 1kg의 출력(kWh)은? (단, 열효율은 34%이다.)
18. 연료 중에 회분이 많을 경우 연소에 미치는 영향으로 옳은 것은?
19. 다음 중 석유제품에 포함된 황분에 대한 시험방법이 아닌 것은?
20. 수소 1Nm3를 이론공기량으로 완전연소시켰을 때 생성되는 이론 습윤 연소가스량(Nm3)은?
2과목: 열역학
21. 오토사이클에서 동작 가스의 가열전, 후 온도가 600K, 1200K 이고 방열 전, 후의 온도가 800K, 400K일 경우의 이론 열효율은 몇 % 인가?
22. 압력 200kPa, 체적 1.66m3의 상태에 있는 기체를 정압하에서 열을 제거하였다. 최종 체적이 처음 체적의 반이라면 이 기체에 의하여 행하여진 일은 몇 kJ인가?
23. 어떤 열기관이 열펌프와 냉동기로 작동될 수 있다. 동일한 고온열원과 저온열원에서 작동될 때, 열펌프(heat pump)와 냉동기의 성능계수 COP는 다음과 같은 관계식으로 표시될 수 있다. ( ) 안에 알맞은 값은?
24. 동일한 압축비 및 연료 단절비에서 열효율이 큰 순서는?
25. 96.9℃로 유지되고 있는 항온탱크가 온도 26.9℃의 방 안에 놓여있다. 어떤 시간 동안에 1000J의 열이 항온탱크로부터 방 안 공기로 방출됐다. 항온탱크 물질의 엔트로피의 변화는 몇 J/K인가?
26. 이상기체의 정압비열(Cp)과 정적비열(Cv)의 관계로 옳은 것은? (단, R은 기체상수이다.)
27. 다음의 공정도를 갖는 사이클의 명칭은?
28. 성능계수가 4.3 인 냉동기가 시간당 30MJ의 열을 흡수한다. 이 냉동기를 작동하기 위한 동력은 약 몇 kW인가?
29. 압력이 200kPa로 일정한 상태로 유지되는 실린더 내의 이상기체가 체적 0.3m3에서 0.4m3로 팽창될 때 이상기체가 한 일의 양은 몇 kJ인가?
30. 밀폐계에서 비가역 단열과정에 대한 엔트로피 변화를 옳게 나타내는 식은?

31. 어느 밀폐계와 주위 사이에 열의 출입이 있다. 이것으로 인한 계와 주위의 엔트로피의 변화량을 각각 △S1, △S2로 하면 엔트로피 증가의 원리를 나타내는 식은?
32. 기체상수가 0.287kJ/kg·K인 이상기체의 정압비열이 1.0kJ/kg·K이다. 온도가 10℃ 만큼 상승하면 내부 에너지는 얼마나 증가하는가?
33. 폴리트로픽 지수가 n > k(비열비)인 경우에 팽창에 의한 열량은 어떠한가?
34. 체적 0.4m3인 단단한 용기 안에 100℃의 물 2kg이 들어있다. 이 물의 건도는 얼마인가? (단, 100℃의 물에 대해 vf=0.00104m3/kg, vg=1.672m3/kg 이다.)
35. 직경이 일정한 수평관에 교축밸브가 장치되어 있으며 공기가 흐른다. 밸브 상류의 공기는 800kPa, 30℃이고 밸브 하류의 압력은 600kPa이다. 밸브가 잘 단열되어 있을 때 밸브 하류에서의 공기온도는 얼마인가? (단, 공기를 이상기체로 가정한다.)
36. 물의 경우 고온, 고압에서 포화액과 포화증기의 구분이 없어지는 상태가 나타난다. 이 상태를 무엇이라 하는가?
37. 냉장고가 저온체에서 30kW의 열을 흡수하여 고온체로 40kW의 열을 방출한다. 이 냉장고의 성능계수는?
38. 압력 300kPa인 이상기체 150kg이 있다. 온도를 일정하게 유지하면서 압력을 100kPa로 변화시킬 때 엔트로피(kJ/K)변화는? (단, 기체의 정적비열은 1.735kJ/kg·K, 비열비는 1.299이다.)
39. 이상기체 1kg이 A상태(TA, PA )에서 B상태(TB, PB )로 변화하였다. 정압비열 CP가 일정할 경우 엔트로피의 변화 △S를 옳게 나타낸 것은?




" 입니다.40. 그림 중 A 점에서는 어떠한 상태가 공존하는가?
3과목: 계측방법
41. 열전대 온도계의 열기전력은 무엇으로 측정하는가?
42. 다음 중 피토관의 유속 V(m/s)를 구하는 식은? (단, g : 중력가속도 [9.8m/s2], Pt : 전압 [kg/m2], Ps : 정압[kg/m2], r : 유체의 비중량 [kg/m3])




"이다.43. 비례동작 제어장치에서 비례대(帶)가 40% 일 경우 비례강도는 얼마인가?
44. 다음 중 실제 값이 나머지 3개와 다른 값을 갖는 것은?
45. 방사온도계의 특징에 대한 설명으로 옳은 것은?
46. 다음 중 자동제어계와 직접 관련이 없는 장치는?
47. 다음 보기에서 설명하는 온도계는?
48. 열전대온도계의 기전력은 온도에 따라 변한다. 다음 중 일정온도에서 열기전력의 값이 가장 큰 것은?
49. 오리피스(orifice)는 어떤 형식의 유량계인가?
50. 다음 중 화학적 가스 분석계에 해당하는 것은?
51. 다음 중 하겐-포아젤의 법칙을 이용한 점도계는?
52. 다음 각 가스별 시험방법 등의 연결이 잘못된 것은?
53. 다음 중 방전을 이용하는 진공계는?
54. 조리개부가 유선형에 가까운 형상으로 설계되어 축류의 영향을 비교적 적게 받게 하고 조리개에 의한 압력손실을 최대한으로 줄인 조리개의 형식의 유량계는?
55. 불꽃이온화식 검출기에 대한 설명으로 옳은 것은?
56. 전자 유량계의 특징에 대한 설명으로 가장 거리가 먼 것은?
57. 제어량에 편차가 생겼을 경우 편차의 적분차를 가감해서 조작량의 이동속도가 비례하는 동작으로서 잔류편차가 제어되나 제어 안정성은 떨어지는 특징을 가진 동작은?
58. 열전대에 사용하는 보상도선은 다음 중 어느 원리에 해당하는가?
59. 막식가스미터의 고장 현상인 부동의 원인과 거리가 먼 것은?
60. 보일러의 통풍계 등에도 사용되며 미세압을 측정하는데 가장 적당한 압력계는?
4과목: 열설비재료 및 관계법규
61. 다음은 요로의 정의에 대한 설명이다. ( )안 ㉮~㉱에 들어갈 용어로서 틀린 것은?
62. 열처리로 경화된 재료를 변태점 이상의 적당한 온도로 가열한 다음 서서히 냉각하여 강의 압도를 미세화하여 조직을 연화, 내부응력을 제거하는 로는?
63. 다음 중 캐스터불내화물의 특성이 아닌 것은?
64. 다음 내화물의 특성 중 비중과 관계없는 것은?
65. 태양전지에서 가장 널리 쓰이는 재료는?
66. 검사대상기기 조종자에 대한 교육기관으로서 맞는 것은?
67. 단열재를 사용하지 않는 경우의 방출열량이 300kcal/h이고, 단열재를 사용할 경우의 방출열량이 0.1kW라 하면 이 때의 보온 효율은 약 몇 % 인가?
68. 산업통상자원부장관은 에너지 사정 등의 변동으로 에너지수급에 중대한 차질이 발생할 우려가 있다고 인정되면 필요한 범위에서 에너지 사용자, 공급자 등에게 조정·명령 그 밖에 필요한 조치를 할 수 있다. 이에 해당되지 않는 항목은?
69. 고압 배관용 탄소강관에 대한 설명 중 틀린 것은?
70. 벽돌, 기와, 보도타일 등 건축재료를 소성하는데 주로 사용되는 가마는?
71. 에너지이용합리화법에서의 양벌규정 사항에 해당되지 않는 것은?
72. 에너지이용합리화법에서 정한 검사대상기기에 대한 검사의 종류가 아닌 것은?
73. 알루미늄박 보온재의 열전도율의 값으로 가장 옳은 것은?
74. 다음 중 내화단열벽돌의 안전사용온도는?
75. 검사대상기기조종자의 해임신고는 신고사유가 발생한 날로부터 며칠 이내에 하여야 하는가?
76. 에너지사용량신고에 대한 설명으로 옳은 것은?
77. 에너지법에서 정한 에너지에 해당하지 않는 것은?
78. 용광로에 장입하는 코크스의 역할이 아닌 것은?
79. 다음 중 주물 용해로가 아닌 것은?
80. 고효율에너지 인증대상기자재에 해당하지 않는 것은?
5과목: 열설비설계
81. 다음 급수처리 방법 중 화학적 처리방법은?
82. 보일러경판의 강도가 큰 순서로 바르게 나열된 것은?
83. 압력 1MPa인 포화수가 압력 0.4MPa인 재증발기(Flash Vessel)에 들어올 때, 포화수 100kg당 약 몇 kg의 증기가 발생하는가? (단, 1MPa에서 포화수 엔탈피는 775.1kJ/kg, 0.4MPa에서 포화수 엔탈피는 636.8kJ/kg이고, 0.4MPa의 증기 엔탈피는 2748.4kJ/kg이다.)
84. 급수에서 ppm 단위를 사용할 때 이에 대하여 가장 잘 나타낸 것은?
85. 보일러의 용량을 산출하거나 표시하는 양으로서 적합하지 않은 것은?
86. 다음 중 열관류율의 표시단위는?
87. 연소실 연도의 단면적 크기를 정할 때 중요성이 가장 적게 강조되는 것은?
88. 노통연관식 보일러의 수면계 부착위치 기준에 대하여 가장 옳은 것은?
89. 내경이 150mm이고, 강판두께가 10mm인 파이프의 허용인장응력이 6kg/mm2일 때, 이 파이프의 유량이 40L/s 이다. 이 때 평균유속은 약 몇 m/s 인가? (단, 유량계수는 1 이다.)
90. 물의 탁도(濁度)에 대한 설명으로 옳은 것은?
91. 보일러에 설치된 기수분리기에 대한 설명으로 틀린 것은?
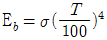
92. 완전 흑체의 복사열량(Eb)이 절대온도(T)와의 관계식으로 옳은 것은?




93. 보일러 부하의 급변으로 인하여 동 수면에서 작은 입자의 물방울이 증기와 혼입하여 튀어 오르는 현상을 무엇이라고 하는가?
94. 인젝터의 작동순서로서 가장 적정한 것은?
95. 20℃ 상온에서 재료의 열전도율(kJ/m·h·K)이 큰 순서가 바르게 나열된 것은?
96. 줄-톰슨계수(Joule-Thomson coefficient, μ)에 대한 설명으로 옳은 것은?
97. 화격자 크기가 1.5m×2m인 보일러에서 5시간 동안 3ton의 석탄을 사용하였다면 이 보일러의 화격자 연소율은 약 몇 kg/m2·h 인가?
98. 보일러 효율을 나타낸 식 중 틀린 것은? (단, Ge : 상당 증발량, Gf : 연료 소비량[kg/h], Ga : 실제 증발량[kg/h], h2, h1 : 각각 발생증기 및 급수의 엔탈피[kcal/kg], Hℓ : 연료의 저발열량, ηc : 연소율, ζh 은 전열효율이다.)



99. 다음 중 경판의 탄성(강도)을 높이기 위한 것은?
100. 보일러의 노통이나 화실과 같은 원통 부분이 외측으로부터의 압력에 견딜 수 없게 되어 눌려 찌그러져 찢어지는 현상을 무엇이라 하는가?
오답 노트
- 집진장치를 설치한다: 미세먼지 등 입자상 물질 제거에 효과적이므로 오답.
- 연료유의 불순물을 제거한다: 황(S) 등 불순물 제거로 황산화물(SOx) 발생을 줄이므로 오답.
- 연소장치를 정기적으로 청소한다: 연소 효율을 높여 불완전 연소로 인한 오염물질 발생을 줄이므로 오답.