1과목: 연소공학
1. 액체연료의 미립화 시 평균 분무입경에 직접적인 영향을 미치는 것이 아닌 것은?
2. 연돌의 통풍력은 외기온도에 따라 변화한다. 만일 다른조건이 일정하게 유지되고 외기 온도만 높아진다면 통풍력은 어떻게 되겠는가?
3. 집진장치 중 하나인 사이클론의 특징으로 틀린 것은?
4. 증기운 폭발의 특징에 대한 설명으로 틀린 것은?
5. 보일러의 열정산 시 출열에 해당하지 않는 것은?
6. 연소를 계속 유지시키는데 필요한 조건에 대한 설명으로 옳은 것은?
7. 비중이 0.8(60℉/60℉)인 액체연료의 API도는?
8. 다음의 혼합 가스 1 Nm3의 이론 공기량(Nm3/Nm3)은? (단, C3H8 : 70%, C4H10 : 30%이다.)
9. 액체연료 연소장치 중 회전식 버너의 특징에 대한 설명으로 틀린 것은?
10. 일반적인 천연가스에 대한 설명으로 가장 거리가 먼 것은?
11. 200 kg의 물체가 10m의 높이에서 지면으로 떨어졌다. 최초의 위치 에너지가 모두 열로 변했다면 약 몇 kcal의 열이 발생하겠는가?
12. 연료의 발열량에 대한 설명으로 틀린 것은?
13. 최소 점화에너지에 대한 설명으로 틀린 것은?
14. 다음 중 분젠식 가스버너가 아닌 것은?
15. 다음 주 열정산의 목적이 아닌 것은?
16. 다음 중 일반적으로 연료가 갖추어야 할 구비조건이 아닌 것은?
17. 어떤 연도가스의 조성이 아래와 같을 때 과잉공기의 백분율은 얼마인가? (단, CO2는 11.9% CO는 1.6%, O2는 4.1%, N2는 82.4%이고 공기 중 질소와 산소의 부피비는 79:21이다.)
18. 연료를 공기 중에서 연소시킬 때 질소산화물에서 가장 많이 발생하는 오염 물질은?
19. 연소장치의 연소효율(Ec)식이 아래와 같을 때 H2는 무엇을 의미하는가? (단, Hc : 연료의 발열량, H1 : 연재 중의 미연탄소에 의한 손실이다.)
20. 고위발열량의 9000kcal/kg인 연료 3kg이 연소할 때의 총저위발열량은 몇 kcal인가? (단, 이 연료 1 kg당 수소분은 15%, 수분은 1%의 비율로 들어있다.)
2과목: 열역학
21. 체적이 3L, 질량이 15kg인 물질의 비체적(cm3/g)은?
22. 압력 1Mpa, 온도 400℃ 의 이상기체 2 kg이 가역단열과정으로 팽창하여 압력이 500kPa로 변화한다. 이 기체의 최종온도는 약 몇 ℃ 인가? (단, 이 기체의 정적비열은 3.12kJ/(kg·K), 정압비열은 5.21kJ/(kg·K)이다.)
23. 랭킨 사이클의 순서를 차례대로 옳게 나열한 것은?
24. 다음 주 열역학적 계에 대한 에너지 보존의 법칙에 해당하는 것은?
25. 성능계수가 4.8인 증기압축냉동기의 냉동능력 1kW당 소요동력(kW)은?
26. 역카르노 사이클로 운전되는 냉방장치가 실내온도 10℃에서 30kW의 열량 흡수하여 20℃ 응축기에서 응축기에서 방열한다. 이 때 냉방에 필요한 최소 동력은 약 몇 kW인가?
27. 이상기체 1kg의 압력과 체적이 각각 P1 ,V1 에서 P2 ,V2 로 등온 가역적으로 변할 때 엔트로피 변화(ΔS)는? (단, R은 기체상수이다.)




28. 다음 가스 동력 사이클에 대한 설명으로 틀린 것은?
29. 다음 주 어떤 압력 상태의 과열 수증기 엔트로피가 가장 작은가? (단, 온도는 동일하다고 가정한다.)
30. 물의 삼중점(triple point)의 온도는?
31. 이상기체가 등온과정에서 외부에 하는 일에 대한 관계식으로 틀린 것은? (단, R은 기체상수이고, 계에 대해서 m은 질량, V는 부피, P는 압력을 나타낸다. 또한 하첨자 “1”은 변경전, 하첨자 “2”는 변경후를 나타낸다.)




32. 100℃ 건포화증기 2㎏이 온도 30℃인 주위로 열을 방출하여 100℃ 포화액으로 되었다. 전체(증기 및 주위)의 엔트로피 변화는 약 얼마인가? (단, 100℃에서의 증발잠열은 2257kJ/㎏이다.)
33. 증기 동력 사이클의 구성 요소 중 복수기(condenser)가 하는 역할은?
34. 대기압이 100kPa인 도시에서 두 지점의 계기압력비가 “5 : 2”라면 절대 압력비는?
35. 이상기체의 단위 질량당 내부 에너지 u, 엔탈피 h, 엔트로피 s에 관한 다음의 관계식 중에서 모두 옳은 것은? (단, T는 온도, p는 압력, v는 비체적을 나타낸다.)
36. 오존층 파괴와 지구 온난화 문제로 인해 냉동장치에 사용하는 냉매의 선택에 있어서 주의를 요한다. 이와 관련하여 다음 중 오존 파괴 지수가 가장 큰 냉매는?
37. 체적 4m3, 온도 290K의 어떤 기체가 가역 단열과정으로 압축되어 체적 2m3, 온도340K로 되었다. 이상기체라고 가정하면 기체의 비열비는 약 얼마인가?
38. 다음 중 이상적인 교축 과정(throttling process)은?
39. 피스톤이 장치된 용기 속의 온도 100℃, 압력 200 kPa, 체적 0.1m3의 이상기체 0.5kg이 압력이 일정한 과정으로 체적이 0.2m3으로 되었다. 이때 전달된 열량은 약 몇 kJ인가? (단, 이 기체의 정압비열은 5kJ/(kg·K)이다.)
40. 그림과 같이 작동하는 열기관 사이클(cycle)은? (단, γ는 비열비이고, P는 압력, V는 체적, T는 온도, S는 엔트로피이다.)
3과목: 계측방법
41. 피토관 유량계에 관한 설명이 아닌 것은?
42. 온도의 정의 정점 중 평형수소의 삼중점은 얼마인가?
43. 물을 함유한 공기와 건조공기의 열전도율 차이를 이용하여 습도를 측정하는 것은?
44. 다음 각 습도계의 특징에 대한 설명으로 틀린 것은?
45. 부자(float)식 액면계의 특징으로 틀린 것은?
46. 다음 중 접촉식 온도계가 아닌 것은?
47. 순간치를 측정하는 유량계에 속하지 않는 것은?
48. 바이메탈 온도계의 특징으로 틀린 것은?
49. 가스크로마토그래피의 특징에 대한 설명으로 틀린 것은?
50. 자동제어의 일반적인 동작순서로 옳은 것은?
51. 램, 실린더, 기름탱크 가압펌프 등으로 구성되어 있으며 탄성식 압력계의 일반교정용으로 주로 사용되는 압력계는?
52. 보일러의 자동제어 중에서 A.C.C.이 나타내는 것은 무엇인가?
53. 화학적 가스분석계인 연소식 O2계의 특징이 아닌 것은?
54. 다음 중 유도단위에 속하지 않는 것은?
55. 자동제어계와 직접 관련이 없는 장치는?
56. 관리의 유속을 피토관으로 측정할 때 마노미터의 수주가 50cm였다. 이때 유속은 약 몇 m/s인가?
57. 유량 측정기기 중 유체가 흐르는 단면적이 변함으로써 직접 유체의 유량을 읽을 수 있는 기기, 즉 압력차를 측정할 필요가 없는 장치는?
58. 광고온계의 사용상 주의점이 아닌 것은?
59. 열전대 온도계의 보호관으로 사용되는 다음 재료 중 사용 사용 온도가 높은 순으로 옳게 나열된 것은?
60. 측정하고자 하는 상태량과 독립적 크기를 조정할 수 있는 기준량과 비교하여 측정, 계측하는 방법은?
4과목: 열설비재료 및 관계법규
61. 다음 보온재 중 최고안전사용온도가 가장 높은 것은?
62. 에너지이용 합리화법에 따라 냉난방온도의 제한 대상 건물에 해당하는 것은?
63. 중화내화물 중 내마모성이 크며 스폴링을 일으키기 쉬운 것으로 염기성 평로에서 산성 벽돌과 염기성벽돌을 섞어서 축로할 때 서로의 침식을 방지하는 목적으로 사용하는 것은?
64. 에너지이용 합리화법에 따라 산업통상자원부장관은 에너지이용 합리화에 관한 기본계획을 몇 년 마다 수립하여야 하는가?
65. 용광로를 고로라고도 하는데, 이는 무엇을 제조하는데 사용되는가?
66. 노재의 화학적 성질을 잘못 짝지은 것은?
67. 다음 중 에너지이용 합리화법에 따라 에너지관리산업기사의 자격을 가진 자가 조종할 수 없는 보일러는?
68. 운요(Ring kiln)에 대한 설명으로 옳은 것은?
69. 글로브밸브(globe valve)에 대한 설명으로 틀린 것은?
70. 배관용 강관의 기호로서 틀린 것은?
71. 다음 중 연속식 요가 아닌 것은?
72. 에너지이용 합리화법에 따라 에너지 수급안정을 위해 에너지 공급을 제한 조치하고자 할 경우, 산업통상자원부장관은 조치 예정일 며칠 전에 이를 에너지공급자 및 에너지 사용자에게 예고하여야 하는가?
73. 온수탱크의 나면과 보온면으로부터 방산열량을 측정한 결과 각각 1000kcal/m2·h, 300kcal/m2·h 이었을 때, 이 보온재의 보온효율(%)은?
74. 내화 모르타르의 구비조건으로 틀린 것은?
75. 다이어프램 밸브(diaphragm valve)의 특징이 아닌 것은?
76. 에너지이용 합리화법에 따라 검사대상기기의 적용범위에 해당하는 것은?
77. 에너지이용 합리화법에 따라 검사를 받아야 하는 검사대상기기 중 소형온수보일러의 적용범위 기준은?
78. 요로의 정의가 아닌 것은?
79. 에너지이용 합리화법에 따라 에너지다소비사업자가 그 에너지사용시설이 있는 지역을 관할하는 시·도지사에게 신고하여야 하는 사항이 아닌 것은?
80. 에너지이용 합리화법에 따라 에너지다소비사업자에게 에너지손실요인의 개선명령을 할수 있는 자는?
5과목: 열설비설계
81. 노통 보일러의 수면계 최저 수위 부착 기준으로 옳은 것은?
82. 증기 및 온수보일러를 포함한 주철제 보일러의 최고 사용 압력이 0.43MPa 이하일 경우의 수압시험 압력은?
83. 수관식보일러에서 핀패널식 튜브가 한쪽 면에 방사열, 다른 면에는 접촉열을 받을 경우 열전달계수를 얼마로 하여 전열면적을 계산하는가?
84. 순환식(자연 또는 강제) 보일러가 아닌 것은?
85. 다음 그림의 용접이음에서 생기는 인장응력은 약 몇 kgf/cm2인가?
86. 보일러 부하의 급변으로 인하여 동 수면에서 작은 입자의 물방울이 증기와 혼입하여 튀어 오르는 현상을 무엇이라고 하는가?
87. 노통 보일러에 두께 13mm 이하의 경판을 부착하였을 때 가셋 스테이의 하단과 노통 상단과의 완충폭(브레이징 스페이스)은 몇 mm 이상으로 하여야 하는가?
88. 수관식과 비교하여 노통연관식 보일러의 특징으로 옳은 것은?
89. 전열면에 비등 기포가 생겨 열유속이 급격하게 증대하며, 가열면상에 서로 다른 기포의 발생이 나타나는 비등과정을 무엇이라고 하는가?
90. 보일러의 열정산시 출열 항목이 아닌 것은?
91. 과열기에 대한 설명으로 틀린 것은?
92. 온수보일러에 있어서 급탕량이 500kg/h 이고 공급 주관의 온수온도가 80℃, 환수 주관의 온수온도가 50℃ 이라 할 때, 이 보일러의 출력은? (단, 물의 평균 비열은 1kcal/kg·℃이다.)
93. 용접봉 피복제의 역할이 아닌 것은?
94. 보일러 수의 분출 목적이 아닌 것은?
95. 보일러의 노통이나 화실과 같은 원통 부분이 외측으로부터의 압력에 견딜 수 없게 되어 눌려 찌그러져 찢어지는 현상을 무엇이라 하는가?
96. 스팀 트랩(steam trap)을 부착 시 얻는 효과가 아닌 것은?
97. 스케일(scale)에 대한 설명으로 틀린 것은?
98. 보일러의 일상점검 계획에 해당하지 않는 것은?
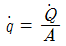
99. 열교환기의 격벽을 통해 정상적으로 열교환이 이루어지고 있을 경우 단위시간에 대한 교환열량 q(열유속, kcal/m2·h)의 식은? (단, Q는 열교환량(kcal/h), A는 전열면적(m2)이다.)




"은 이 식에서 유도된 결과이다.100. 10kg/cm2의 압력하에 2000kg/h로 증발하고 있는 보일러의 급수온도가 20℃ 일 때 환산증발량은? (단, 발생증기의 엔탈피는 600kcal/kg이다.)
오답 노트:
- 액체연료의 표면장력: 표면장력이 높으면 액체가 작은 방울로 쪼개지기 어려워 분무입경이 커지므로 오답.
- 액체연료의 점성계수: 점성계수가 높으면 액체의 유동성이 낮아 미립화가 어려워 분무입경이 커지므로 오답.
- 액체연료의 밀도: 밀도는 액체의 관성력과 관련되어 미립화 과정에 영향을 미치므로 오답.