1과목: 콘크리트공학
1. 숏크리트에 대한 설명으로 옳지 않은 것은?
2. 매스(mass) 콘크리트에 대한 설명으로 틀린 것은?
3. 콘크리트의 양생에 대한 설명으로 틀린 것은?
4. 콘크리트의 슬럼프시험에 대한 설명으로 틀린 것은?(오류 신고가 접수된 문제입니다. 반드시 정답과 해설을 확인하시기 바랍니다.)
5. 콘크리트 비파괴 시험방법 중 철근 부식상태를 평가할 수 있는 시험법은?
6. 다음 중 경량골재 콘크리트에 대한 설명으로 틀린 것은?
7. 콘크리트 배합 시 단위수량을 감소시킬 경우 얻는 이점이 아닌 것은?
8. 프리스트레스트 콘크리트에 사용하는 그라우트에 대한 설명으로 틀린 것은?
9. 다음 중 수중콘크리트 타설의 원칙에 대한 설명으로 틀린 것은?
10. 콘크리트의 블리딩시험(KS F 2414)에 대한 설명으로 틀린 것은?
11. 서중 콘크리트에 대한 설명으로 틀린 것은?
12. 압축강도에 의한 콘크리트 품질관리에 대한 설명으로 틀린 것은?
13. 거푸집 및 동바리의 구조를 계산할 때 연직하중에 대한 설명으로 틀린 것은?
14. 굳지 않은 콘크리트의 워커빌리티에 영향을 미치는 요인에 대한 설명으로 옳은 것은?
15. 아래 표와 같은 시방배합을 현장배합으로 고칠 경우 1m3의 콘크리트를 제조하기 위한 각 재료의 양을 설명한 것으로 틀린 것은? (단, 현장의 잔골재 중에서 5mm체에 남는 것은 3%, 굵은골재 중에서 5mmcp를 통과하는 것은 5%, 잔골재의 흡수율은 1.3%, 잔골재의 함수율은 3.8%, 잔골재의 함수율은 3.8%, 굵은골재는 표면건조포화상태이다.)
16. 설계기준 압축강도가 28MPa이고, 15회의 압축강도 시험으로부터 구한 압축강도의 표준편차가 3.5MPa일 때 콘크리트의 배합강도를 구하면?
17. 일반 콘크리트의 타설 및 다지기에 관한 설명으로 옳은 것은?
18. 프리스트레스트 콘크리트에 대한 설명 중 틀린 것은?
19. 일반 콘크리트에 사용되는 재료의 계략허용오차에 대한 설명으로 틀린 것은?
20. 콘크리트의 균열은 재료, 시공, 설계 및 환경 등 여러 가지 요인에 의해 발생한다. 다음 중 재료적 요인과 가장 관련이 많은 균열현상은?
2과목: 건설시공 및 관리
21. 아스팔트 포장의 안정성 부족으로 인해 발생하는 대표적인 파손은 소성변형(바퀴자국, 측방유동)이다. 최근 우리나라의 도로에서 이 소성변형이 문제가 되고 있는데, 다음 중 그 원인이 아닌 것은?
22. 토공에서 성토재료에 대한 요구조건으로 틀린 것은?
23. 자연 함수비 8%인 흙으로 성토하고자 한다. 다짐한 흙의 함수비를 15%로 관리하도록 규정하였을 때 매층마다 1m2당 약 몇 kg의 물을 살수해야 하는가?(단, 1층의 다짐 후 두께는 30cm이고, 토량 변화율 C=0.9이며, 원지반상태에서 흙의 단위중량은 1.8t/m3이다.)
24. 네크워크 공정표작성에 필요한 용어 중 아래의 표에서 설명하고 있는 것은?
25. 암석발파공법에서 1차발파 후에 발파된 원석의 2차발파공법으로 주로 사용되는 것이 아닌 것은?
26. 교량 가설공법 중 압출공법(ILM)의 특징을 설명한 것으로 틀린 것은?
27. 다음은 어떤 공사의 품질관리에 대한 내용이다. 가장 먼저 해야 할 일은?
28. 웰 포인트(well point)공법으로 강제배수시 point와 point의 일반적인 간격으로 적당한 것은?
29. 아스팔트포장에서 표층에 가해지는 하중을 분산시켜 보조기층에 전달하며, 교통하중에 의한 전단에 저항하는 역할을 하는 층은?
30. 15t 불도우저로 60m를 도우저 작업을 할 경우에 시간당 작업능력은? (단, 토질은 보통토, 평탄지로 작업효율 0.65, 불도우져의 전진속도 40m/min, 후진속도 100m/min, 브레이드의 정격용량 2.3m3, 토량의 변화율은 보통토로서 C=0.9, L=1.25이고 기어변속시간은 0.25분이다.)
31. 기초를 시공할 때 지면의 굴착 공사에 있어서 굴착면이 무너지거나 변형이 일어나지 않도록 흙막이 지보공을 설치하는데 이 지보공의 설비가 아닌 것은?
32. 본바닥 토량 20000m3를 0.6m3 백호를 사용하여 굴착하고자 한다. 아래 표의 조건과 같을 때 굴착완료에 며칠이 소요되는가?
33. 운동장 또는 광장 등 넓은 지역의 배수는 주로 어떤 배수로 하는 것이 좋은가?
34. 불도저의 종류 중 배토판을 좌, 우로 10~40cm정도 기울려 경사면 굴착이나 도랑파기 작업에 유리한 것은?
35. 폭우 시 옹벽 배면에는 침투수압이 발생되는데, 이 침투수에 의한 중요 영향과 관계가 먼 것은?
36. RCD(reverse circulation drill)공법의 시공방법 설명 중 옳지 않은 것은?
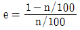
37. 시공기면을 결정할 때 고려할 사항으로 틀린 것은?
38. 아래 그림과 같이 20개의 말뚝으로 구성된 군항이 있다. 이 군항의 효율(E)을 Converse-Labarre식을 이용해서 구하면?
39. TBM(Tunnel Boring Machine)에 의한 굴착의 특징이 아닌 것은?
40. 25℃에서 100mL의 물에 몇 g의 Ag3AsO4가 용해될 수 있는가? (단, 25℃에서 Ag3AsO4의 Ksp=1.0×1022, Ag3AsO4의 분자량 : 462.53g/mol이다.)(오류 신고가 접수된 문제입니다. 반드시 정답과 해설을 확인하시기 바랍니다.)
3과목: 건설재료 및 시험
41. 강의 열처리 방법 중 담금질을 한 강에 인성을 주기 위해 변태점 이하의 적당한 온도에 서 가열한 다음 냉각시키는 방법은?
42. Hooke의 법칙이 적용되는 인장력을 받는 부재의 늘음량(길이변형량)에 대한 설명으로 틀린 것은?
43. 도폭선에서 심약(心藥)으로 사용되는 것은?
44. 토목섬유(Geosynthetics)의 기능과 관련된 용어 중 아래의 표에서 설명하는 기능은?
45. 콘크리트에 AE제를 혼입했을 때의 설명 중 옳지 않은 것은?
46. 굵은 골재의 최대 치수란 질량비로 몇 %이상 통과시키는 체 중에서 최소 치수인 체의 호칭치수를 말하는가?
47. 다음 중 목재의 인공건조법이 아닌 것은?
48. 다음 중에서 아스팔트의 점도에 가장 큰 영향을 주는 것은?
49. 전체 500g의 잔골재를 체분석한 결과가 아래 표와 같을 때 조립률은?
50. 아스팔트 배합설계 시 가장 중요하게 검토하는 안정도(stability)에 대한 정의로 옳은 것은?
51. 다음 중 시멘트 응결시간 측정에 사용하는 기구는?
52. 역청재료의 일반적 성질에 관한 설명으로 틀린 것은?
53. 포틀랜드시멘트에 혼합물질을 섞은 시멘트를 혼합시멘트라고 한다. 다음 중 혼합시멘트에 속하지 않는 것은?
54. 단위용적 질량이 1.65t/m3인 굵은 골재의 절건밀도가 2.65g/cm3일 때 이 골재의 실적률 (A)과 공극률(B)은?
55. 석재를 모양 및 치수에 따라 분류할 경우 아래의 표에서 설명하는 석재는?
56. 콘크리트용 혼화재료인 플라이애시에 대한 다음 설명 중 틀린 것은?
57. 다음 혼화재료 중 고강도 및 고내구성을 동시에 만족하는 콘크리트를 제조하는데 가장적합한 혼화재료는?
58. 포틀랜드 시멘트의 제조에 필요한 주원료는?
59. 화강암의 일반적인 특징에 대한 설명으로 틀린 것은?
60. 골재의 함수상태에 대한 설명으로 틀린 것은?
4과목: 토질 및 기초
61. 샘플러(sampler)의 외경이 6cm, 내경이 5.5cm일 때, 면적비(Ar)는?
62. 기초록 4m인 연속기초에서 기초면에 작용하는 합력의 연직성분은 10t이고 편심거리가 0.4m일 때, 기초지반에 작용하는 최대압력은?
63. Sand drain공법의 지배 영역에 관한 Barron의 정사각형 배치에서 사주(Sand pile)의 간격을 d, 유효원의 지름을 de라 할 때 de를 구하는 식으로 옳은 것은?
64. 아래 그림에서 투수계수 K=4.8×103cm/sec 일 때 Darcy 유출속도(v)와 실제 물의 속도(침투속도, vs)는?
65. 다음 중 시료채취에 대한 설명으로 틀린 것은?
66. 어떤 굳은 점토층을 깊이 7m가지 연직 절도하였다. 이 점토층의 일축압축강도가 1.4kg/cm2, 흙의 단위중량이 2t/m3 라 하면 파괴에 대한 안전율은? (단, 내부마찰각은 30°)
67. 아래 그림과 같은 지표면에 2개의 집중하중이 작용하고 있다. 3t의 집중하중 작용점 하부 2m지점 A에서의 연직하중의 증가량은 약 얼마인가? (단, 영행계수는 소수점이하 넷째자리까지 구하여 계산하시오.)
68. 10m 두께의 점토층이 10년 만에 90% 압밀이 된다면, 40m 두께의 동일한 점토층이 90% 압밀에 도달하는 수요되는 기간은?
69. 사면안정 해석방법에 대한 설명으로 틀린 것은?
70. 흙의 다짐에 대한 설명으로 틀린 것은?
71. 성토나 기초지반에 있어 특히 점성토의 압밀 완료 후 추가 성토 시 단기 안정문제를 검토하고자 하는 경우 적용되는 시험법은?
72. 테르쟈기(Terzaghi)의 얕은 기초에 대한 지지력 공식
에 대한 설명으로 틀린 것은?
73. 자연상태의 모래지반을 다져 emin 에 이르도록 했다면 이 지반의 상대밀도는?
74. 어떤 지반의 미소한 흙요소에 최대 및 최소 주응력이 각각 1kg/cm2 및 0.6kg/cm2일 때, 최소주응력면과 60°를 이루는 면상의 전단응력은?
75. 수직방향의 투수계수가 4.51×10-8m/sec이고, 수평방향의 투수계수가 1.6×10-8m/sec 인 균질하고 비등방(非等方)인 흙댐의 유선망을 그린 결과 유로(流路)수가 4개이고 등수두선의 간격수가 18개 이었다. 단위길이(m)당 침투수량은? (단, 댐의 상하류의 수면의 차는 18m이다.)
76. 도로 연장 3km 건설 구간에서 7개 지점의 시료를 채취하여 다음과 같은 CBR을 구하였다. 이때의 설계 CBR은 얼마인가?
77. 다음 중 연약점토지반 개량공법이 아닌 것은?
78. 간극비(e)와 간극률(n, %)의 관계를 옳게 나타낸 것은?




79. 분사현상에 대한 안전율이 2.5 이상이 되기 위해서는 Δh를 최대 얼마 이하로 하여야 하는가? (단, 간극률(n)=50%)
80. 옹벽배면의 지표면 경사가 수평이고, 옹벽배면 벽체의 기울기가 연직인 벽체에서 옹벽과 뒷채움 흙사이의 벽면마찰각(δ)을 무시할 경우, Rankine토압과 Coulomb토압의 크기를 비교하면?
숏크리트는 건식법과 습식법 두 가지 공법이 있으며, 거푸집이 필요하지 않아 경제적입니다. 또한 숏크리트는 특수한 재료를 사용하여 평활한 마무리면을 얻을 수 있습니다.