1과목: 건축일반
1. 상부는 완만한 경사로, 하부는 급경사로 처리한 2단으로 경사진 지붕은?
2. 호텔건축의 조닝(zoning)에서 공간적으로 성격이 나머지 셋과 다른 하나는?
3. 사무실 배치방식에서 오피스 랜드스케이프에 관한 설명으로 옳지 않은 것은?
4. 말뚝머리 지름이 400mm인 기성콘크리트 말뚝의 중심간격은 최소 얼마 이상으로 하여야 하는가?
5. 조적식구조에 관한 설명으로 옳지 않은 것은?
6. 사무소 건축의 코어(core) 계획에 관한 설명으로 옳지 않은 것은?
7. 상점의 매장계획에 관한 설명으로 옳지 않은 것은?
8. 아파트 단면형식 중 복층형(maisonette type)의 특징에 관한 설명으로 옳지 않은 것은?
9. 건축공간의 모듈러 코디네이션(M.C)에 관한 설명으로 옳지 않은 것은?
10. 병원건축의 분관식에 관한 설명으로 옳은 것은?
11. 그림과 같은 환기 방식이 적합하지 않은 실은?
12. 음에 관한 설명으로 옳지 않은 것은?
13. 도서관의 배치계획에 관한 설명으로 옳지 않은 것은?
14. 철근콘크리트 구조물의 철근 정착위치에 관한 설명으로 옳지 않은 것은?
15. 조립식구조(P.C)의 접합부(joint)가 우선적으로 갖추어야 할 요구 성능으로 가장 거리가 먼 것은?
16. 학교운영방식 중 교과교실형(V형)에 관한 설명으로 옳지 않은 것은?
17. 일사 계획에 관한 설명으로 옳지 않은 것은?
18. 인체의 열적 쾌적감에 영향을 미치는 환경요소에 속하지 않는 것은?
19. 레스토랑의 서비스 방식에 따른 평면형식에 해당하지 않는 것은?
20. 주택의 평면계획에 관한 설명으로 옳지 않은 것은?
2과목: 위생설비
21. 위생기구의 동시사용률은 기구의 수량과 어떤 관계가 있는가?
22. 급탕설비에 있어서 순환 펌프 순환수량을 산출 하는데 필요한 값이 아닌 것은?
23. 급탕설비에서 급탕기기의 부속장치에 관한 설명으로 옳지 않은 것은?
24. 중앙식 급탕방식에 관한 설명으로 옳지 않은 것은?
25. 압력탱크방식 급수법에 관한 설명으로 옳은 것은?
26. 다음 그림에서 Ⓐ 부분의 통기관의 명칭은?
27. 수도직결방식 급수설비에서 수도본관에서 1층에 설치된 샤워기까지의 높이가 2m 이고, 마찰손실압력이 20kPa, 수도본관의 수압이 150kPa 인 경우 샤워기 입구에서의 수압은?
28. 역류를 방지하여 오염으로부터 상수계통을 보호하기 위한 방법으로 적절하지 않은 것은?
29. 우라나라의 아파트, 주택에서 주로 사용되는 대변기 급수방식은?
30. 급탕배관의 설계 및 시공상의 주의점에 관한 설명으로 옳지 않은 것은?
31. BOD 제거율(%)의 산출 공식으로 옳은 것은?




32. 배수배관의 관경과 구배에 관한 설명으로 옳지 않은 것은?
33. 층류와 난류에 관한 설명으로 옳지 않은 것은?
34. 물의 특성에 관한 설명으로 옳지 않은 것은?
35. 배관설비에 사용되는 신축 이음쇠에 속하지 않는 것은?
36. 내경이 150mm인 직선배관에 0.06m3/sec 의 물이 흐를 때, 배관길이가 50m일 경우 관내 마찰손실수두는? (단, 마찰손실계수 f = 0.03)
37. 다음 중 간접배수로 하지 않아도 되는 것은?
38. 다음 중 위생설비를 유니트화하여 얻는 이점과 가장 관계가 먼 것은?
39. 통기설비에 관한 설명으로 옳지 않은 것은?
40. 원심식 펌프로 회전차 주위에 디퓨저인 안내 날개를 가지고 있는 펌프는?
3과목: 공기조화설비
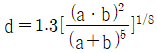
41. 습공기의 건구온도와 습구온도를 알 경우 습공기선도 상에서 파악할 수 없는 것은?
42. 저압증기배관에 관한 설명으로 옳지 않은 것은?
43. 원형덕트와 장방형덕트의 환산식으로 옳은 것은? (단, d : 원형덕트의 직경 또는 환산 직경, a : 장방향덕트의 장변길이, b : 장방향덕트의 단변길이)




44. 펌프의 운전점 결정방법으로 옳은 것은?
45. 다음의 송풍기 풍량제어 방법 중 축동력이 가장 많이 소요되는 것은?
46. 다음 중 다담펌프를 사용하는 가장 주된 목적은?
47. 다음과 같은 조건에서 실체적 3000m3 인 어떤 실의 틈새바람에 의한 냉방부하는?
48. 냉방부하의 발생요인 중 현열부하만 발생하는 것은?
49. 냉각탑 주위의 배관에 관한 설명으로 옳지 않은 것은?
50. 벽체의 열관류율에 관한 설명으로 옳지 않은 것은?
51. 습공기에 관한 설명으로 옳은 것은?
52. 열펌프(heat pump)에 관한 설명으로 옳은 것은?
53. 온도 35℃의 외기 30%와 26℃의 환기 70%를 단열혼합하는 경우 혼합공기의 온도는?
54. 덕트 내에 흐르는 공기의 풍속이 13m/s, 정압이 20mmAq일 때 전압은? (단, 공기의 밀도는 1.2 kg/m3 이다.)
55. 덕트 부속기기 중 스플릿 댐퍼에 관한 설명으로 옳지 않은 것은?
56. 덕트의 치수결정법 등 등속법에 관한 설명으로 옳지 않은 것은?
57. 유체의 흐름이 밸브의 아래에서 위로 흐르며 유량조절용으로 사용되는 밸브는?
58. 공기의 가습에 관한 설명으로 옳은 것은?
59. 용량이 400kW인 터보 냉동기에 순환되는 냉수량은? (단, 냉동기 입구의 냉수온도 12℃, 출구의 냉수온도 6℃, 물의 비열 4.2 kJ/kg·K)
60. 공기조화방식 중 유인유닛방식에 관한 설명으로 옳지 않은 것은?
4과목: 소방 및 전기설비
61. 무대부에 개방형 스프링클러 헤드를 수평거리 1.7m, 정방형으로 설치하는 경우 헤드간 거리는?
62. 연결송수관설비에 관한 설명으로 옳은 것은?
63. 습식스프링클러설비 및 부압식스프링클러설비 외의 설비에 하향식 스프링클러헤드를 설치할 수 있는 경우가 아닌 것은?
64. 변압기에 관한 설명으로 옳은 것은?
65. v = 100sin(314t + 60°)[V]인 교류전압의 주기는?
66. 경사도가 30°이하인 에스컬레이터의 공칭 속도는 최대 얼마 이하이어야 하는가?(오류 신고가 접수된 문제입니다. 반드시 정답과 해설을 확인하시기 바랍니다.)
67. 75[kVA] 단상변압기 2대를 V결선한 경우 3상변압기의 출력은?
68. 어떤 회로의 저항이 10[Ω]이고 2[A]의 전류가 흐른다면 전압은?
69. 차동식 분포형 화재감지기에 속하지 않는 것은?
70. 부하설비의 역률을 개선하기 위해 설치하는 곳은?
71. 옥내소화전설비를 설치하여야 하는 특정소방대상물에서 각 층마다 옥내소화전을 5개 설치한 경우, 옥내소화전설비의 수원의 저수량은 최소 얼마 이상이 되도록 하여야 하는가?(2021년 04월 01일 변경된 규정 적용됨)
72. 다음의 제어동작 중 ON-FF 동작이라고도 하며, 항상 목표치와 제어결과가 일치하지 않는 동작간극을 일으키는 결점이 있는 것은?
73. 축전지의 충전방식 중 비교적 짧은 시간에 보통 충전전류의 2~3배의 전류로 충전하는 방식은?
74. 소화기구의 능력단위에 관한 설명으로 옳지 않은 것은?
75. 다음의 회로에서 a, b간의 합성 정전용량은?
76. 인터폰 설비의 접속방식에 따른 분류에 속하지 않는 것은?
77. 전기력선에 관한 설명으로 옳지 않은 것은?
78. 유접점 시퀀스 제어회로에 관한 설명으로 옳지 않은 것은?
79. 전기력이 미치고 있는 주위공간을 의미하는 용어는?
80. 다음 중 조명률에 영향을 끼치는 요소와 가장 거리가 먼 것은?
5과목: 건축설비관계법규
81. 문화 및 집회시설 중 공연장의 개별관람실의 출구를 관람실별로 2개소 이상 설치해야 하는 개별 관림실의 바닥면적 기준은?
82. 건축물의 에너지절약설계기준에 따른 기계부분의 권장사항 내용으로 옳지 않은 것은?
83. 공동주택과 오피스텔의 난방설비를 개별난방 방식으로 하는 경우에 관한 기준내용으로 옳지 않은 것은?
84. 건축물을 건축하거나 대수선하는 경우 해당 건축물의 설계자가 국토교통부령으로 정하는 구조기준 등에 따라 그 구조의 안전을 확인한 건축물 중 건축물의 건축주가 해당 건축물의 설계자로부터 구조 안전의 확인 서류를 받아 착공신고 시 허가권자에게 제출하여야 하는 대상 건축물 기준으로 옳지 않은 것은? (단, 표준설계도서에 따라 건축하는 건축물은 제외)
85. 다음의 창문 등의 차면시설의 설치에 관한 기준 내용 중 ( ) 안에 알맞은 것은?
86. 건축법령상 고층건물의 정의로 옳은 것은?
87. 다음은 특정소방대상물의 소방시설 설치의 면제에 관한 기준 내용이다. ( ) 안에 알맞은 것은?
88. 건축물의 출입구에 설치하는 회전문에 관한 기준 내용으로 옳지 않은 것은?
89. 다음 중 건축기준의 허용오차로 옳지 않은 것은?
90. 급수·배수·환기·난방설비를 설치하는 경우 건축기계설비기술사 또는 공조냉동기계기술사의 협력을 받아야 하는 건축물에 속하지 않는 것은?
91. 6층 이상의 건축물로서 판매시설의 거실에 설치하는 배연설비에 관한 기준 내용으로 옳지 않은 것은? (단, 피난층의 거실이 아닌 경우)
92. 특정소방대상물이 아파트인 경우 특급 소방안전관리대상물 기준으로 옳은 것은? (단, 층수는 지하층을 제외한 층수이다.)
93. 건축물에 설치하는 굴뚝의 옥상 돌출부는 지붕면으로부터의 수직거리를 최소 얼마 이상으로 하여야 하는가?
94. 비상콘센트설비를 설치하여야 하는 특정소방대상물 기준으로 옳지 않은 것은? (단, 위험물 저장 및 처리 시설 중 가스시설 또는 지하구는 제외)
95. 다음의 소방시설 중 피난구조설비에 속하지 않는 것은?
96. 바닥면적이 100m2인 초등학교 교실에 채광을 위하여 설치하여야 하는 창문 등의 면적은 최소 얼마 이상이어야 하는가? (단, 거실의 용도에 따른 조도기준 이상의 조명장치를 설치하지 않은 경우)
97. 건축물의 냉방설비에 대한 설치 및 설계기준상 다음과 같이 정의되는 용어는?
98. 특별시나 광역시에 건축하는 경우 특별시장이나 광역시장의 허가를 받아야 하는 대상건축물의 층수 기준은?
99. 다음 건축물의 용도 중 6층 이상의 거실면적의 합계가 3000m2인 경우 설치하여야 하는 승용 승강기의 최소 대수가 가장 적은 것은? (단, 8인승 승강기의 경우)
100. 다음 중 건축법령에 따른 용도별 건축물의 종류가 옳지 않은 것은?