1과목: 건축일반
1. 건물에서의 열전달에 관련된 용어의 단위 중 옳지 않은 것은?
2. 다음 그림 중 왕대공 지붕틀에 해당하는 것은?




"이다. 왕대공 지붕틀은 기와로 된 지붕틀로, 그림에서 보면 기와로 된 지붕이 그려져 있기 때문이다. 다른 보기들은 모두 평지붕이거나 기타 형태의 지붕이다.3. 철골구조의 데크플레이트에 사용되는 스터드 볼트의 주된 역할은?

4. 잔향시간이란 음원으로부터 발생되는 소리가 정지했을 때 음압레벨이 몇 dB 감쇠하는데 소요되는 시간인가?
5. 주택의 식사실 형태에 관한 설명으로 옳은 것은?
6. 사무소건물에 아트리움(atrium)을 도입하는 이유에 해당하지 않는 것은?
7. 유효온도에서 고려하지 않는 요소는?
8. 공기환경측정과 관련된 측정방법이 잘못 연결된 것은?
9. 상점의 판매형식 중 대면판매에 관한 설명으로 옳지 않은 것은?
10. 반자의 세부 구조를 위에서부터 순서대로 옳게 나열한 것은?
11. 구조적 안전성을 고려할 때 가장 바람직한 코어형태는?
12. SRC(철골철근콘크리트)조에 관한 설명으로 옳지 않은 것은?
13. 리조트 호텔 배치계획의 부지조건으로 옳지 않은 것은?
14. 종합병원의 병실계획에 관한 설명으로 옳지 않은 것은?
15. 학교건축 계획에 관한 설명으로 옳지 않은 것은?
16. 건축물 계획 시 사용하는 모듈(module)의 특징에 관한 설명으로 옳은 것은?
17. 경사지를 적절하게 이용할 수 있으며, 각 호마다 전용의 정원 확보가 가능한 주택형식은?

18. 도서관 출납 시스템에 관한 설명으로 옳지 않은 것은?
19. 백화점에 설치하는 엘리베이터와 에스컬레이터에 관한 설명으로 옳지 않은 것은?
20. 사무소건축의 사무실 계획에 관한 설명으로 옳은 것은?
2과목: 위생설비
21. 급탕배관 방식 중 헤더 방식에 관한 설명으로 옳지 않은 것은?
22. 통기배관에 관한 설명으로 옳지 않은 것은?
23. 물의 성질에 관한 설명으로 옳지 않은 것은?
4번 9%
24. 가스계량기는 전기점멸기와 최소 얼마 이상의 거리를 유지하여야 하는가?
25. 어느 배관에 20mm 소변기 2개, 25mm 대변기 2개가 연결될 때 이 배관의 관경은?
20mm 소변기 2개, 25mm 대변기 2개의 사용기구수 합은 4개입니다.
동시사용률표에서 기구수 4개일 때 동시사용률 75% → 등가사용기구수 =4×0.75=3개입니다.
관균등표에서 사용기구수 3개에 해당하는 관경은 25mm입니다
26. 수도 본관에서 수직 높이 6m 위치에 있는 기구를 사용하고자 할 때 수도 본관의 최저 필요 수압은? (단, 관내 마찰손실은 0.02MPa, 기구의 최소 필요압력은 0.07MPa 이다.)

27. 음료용 급수의 오염원인에 따른 방지대책으로 옳지 않은 것은?
28. 스위블형 신축이음쇠에 관한 설명으로 옳지 않은 것은?
④번 (오답): 스위블형은 나사 연결 부위에서 누수의 위험이 크기 때문에, 고온·고압의 옥외 배관에는 거의 사용하지 않습니다. 고온·고압 옥외 배관에는 주로 슬리브형이나 벨로즈형을 사용합니다.

29. 동시사용률이 높은 건물의 급탕설비에 관한 설명으로 옳은 것은?
30. 내경이 50mm인 급수배관에 물이 1.5m/sec의 속도로 흐르고 있을 때, 체적유량은?
체적유량 Q=A⋅v 이므로 A=4πd2, d=0.05 m, v=1.5 m/s 입니다.
A=4π(0.05)2≈0.0019635 m2, 그래서 Q≈0.0019635×1.5=0.002945 m3/s≈0.1767 m3/min 입니다.
정답: ② 약 0.18 m³/min
31. 배관 이음재료 중 시공한 후 배관 교체 등 수리를 편리하게 하기 위해 사용하는 것은?

32. 다음 중 간접배수로 하여야 하는 기기에 속하지 않는 것은?
33. 간접가열식 급탕방식에 관한 설명으로 옳은 것은?
34. 다음 중 배수트랩이 구비해야 할 조건과 가장 관계가 먼 것은?
35. 급탕설비에 관한 설명으로 옳지 않은 것은?
36. 펌프의 양정에 관한 설명으로 옳지 않은 것은?
37. 급수방식 중 수도직결방식에 관한 설명으로 옳은 것은?
38. 다음 중 펌프의 분류상 터보형 펌프에 속하지 않는 것은?
39. 다음 중 트랩의 봉수 파괴 원인이 아닌 것은?
40. 먹는물의 수질기준에 관한 설명으로 옳지 않은 것은?
3과목: 공기조화설비
41. 다음과 같은 조건에서 어느 작업장의 발생 현열량이 4000W 일 때 필요 환기량(m3/h)은?

42. 냉동기의 증발기에서 일어나는 상태변화에 관한 설명으로 옳지 않은 것은?
43. 스플릿 댐퍼에 관한 설명으로 옳지 않은 것은?

44. 건구온도 33℃의 공기 20kg과 건구온도 25℃의 공기 80kg을 단열혼합하였을 때, 혼합공기의 건구온도는?
45. 증기트랩의 작동원리에 따른 분류 중 기계식 트랩에 속하는 것은?
46. 다음 중 배관계통의 방진을 위해 고려해야 할 사항과 가장 거리가 먼 것은?
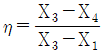
47. 그림과 같은 전열교환기의 전열효율(η)을 올바르게 나타낸 것은? (단, 난방의 경우이며, X1, X2, X3, X4는 각 공기 상태의 엔탈피를 나타낸다.)




"이다.48. 전열교환기에 관한 설명으로 옳지 않은 것은?
49. 습공기에 관한 설명으로 옳은 것은?
50. 정풍량 단일덕트방식에 관한 설명으로 옳지 않은 것은?
51. 다음 중 현열로만 구성된 냉방부하의 종류는?
52. 온수난방에 관한 설명으로 옳지 않은 것은?
53. 다음과 같은 조건에서 난방 시 도입 외기량이 500kg/h 일 때 도입외기에 의한 외기부하는?
54. 바이패스형 변풍량 유닛(VAV unit)에 관한 설명으로 옳지 않은 것은?
55. 가습장치로 G(kg/h)의 공기를 가습할 때 가습량 L(kg/h)은? (단, 가습장치 입출구 공기의 절대습도는 X1, X2(kg/kg′)이고 가습효율은 100% 이다.)
56. 배관설계에 관한 설명으로 옳은 것은?
57. 다음 중 상당외기온도 산정 시 고려하지 않는 것은?
여름철 건물 외벽이나 지붕이 일사(햇빛)에 의해 흡수한 복사열과 외기온도를 합산하여, 실제 외기보다 높은 온도 상태를 표현한 가상의 온도
58. 고속덕트에 관한 설명으로 옳지 않은 것은?
59. 열펌프(heat pump)에 관한 설명으로 옳지 않은 것은?
60. 습공기 선도의 표시사항에 속하지 않는 것은?
습공기 선도란 어떠한 공기의 상태를 온도, 습도 등에 따라 나타낼 수 있는 그래프
4과목: 소방 및 전기설비
61. 4[H]의 코일에 5[A]의 직류전류가 흐를 때 코일에 축적되는 에너지는?
62. 소방시설 관련 설비의 설치 위치에 관한 설명으로 옳지 않은 것은?
63. 피뢰침에 근접한 뇌격을 흡인하여 전극으로 확실하게 방류하기 위한 요구조건으로 옳은 것은?
64. 특정소방대상물의 어느 층에 옥내소화전이 2개가 설치되어 2개의 옥내소화전을 동시에 사용할 경우 각 소화전의 노즐선단에서의 방수압력과 방수량은 최소 얼마 이상이어야 하는가?
65. 다음 중 피드백 제어방식의 제어동작에 의한 분류에 속하지 않는 것은?
66. 옥내소화전설비에서 충압펌프의 주된 사용 목적은?
67. 다음 설명에 알맞은 축전지의 사용 중 충전방식은?
68. 선간전압 220[V], 전류 70[A], 소비전력 18[kW]인 3상 유도전동기의 역률은?
69. 다음 중 피드백 제어 시스템에서 반드시 필요한 장치는?
70. 20[Ω]의 저항에 또 다른 저항 R[Ω]을 병렬로 접속하였더니, 두 개의 합성 저항이 4[Ω]이 되었다. 이 때 저항 R는 몇 [Ω] 인가?
71. 역률이 나쁘다는 결점이 있으나, 구조와 취급이 간단하여 건축설비에서 가장 널리 사용되고 있는 전동기는?
72. 방송공동수신설비의 일반적 구성에 속하지 않는 것은?
73. 인접 건물에 대한 연소확대 방지 목적으로 사용되는 소화설비는?
74. “회로내의 임의의 한점에 들어오고 나가는 전류의 합은 같다”와 관련된 법칙으로 전류의 법칙이라고도 불리는 것은?
75. 정전용량이 C1과 C2인 콘덴서를 병렬로 접속시켰을 때 합성정전용량은?
76. 수용장소의 총부하설비용량에 대한 최대수요전력의 비율을 백분율로 나타낸 것은?
77. 전압과 전류의 위상차 θ가 있는 경우, 교류전력 중 유효전력을 나타낸 것은?
78. 인터폰의 통화망 구성방식에 따른 분류에 속하지 않는 것은?
79. 가연물질 주변의 공기 중 산소의 농도를 낮추어 소화하는 방법은?
80. 어느 사무실의 크기가 폭 12m, 안길이 10m이고 피조면에서 광원까지의 높이가 2.75m 인 경우, 이 사무실의 실지수는?
5과목: 건축설비관계법규
81. 건축물의 에너지절약설계기준에 따른 기계부문의 권장사항으로 옳지 않은 것은?
82. 다음은 소방시설의 내진설계에 관한 기준 내용이다. 밑줄 친 대통령령으로 정하는 소방시설에 속하지 않는 것은?
83. 다음은 숙박시설이 있는 특정소방대상물의 경우 갖추어야 하는 소방시설 등의 종류를 결정할 때 고려하여야 하는 수용인원의 산정방법에 관한 기준 내용이다. ( ) 안에 알맞은 것은? (단, 침대가 없는 숙박시설의 경우)
84. 문화 및 집회시설 중 공연장의 개별 관람실로부터의 출구의 설치에 관한 기준 내용으로 옳지 않은 것은? (단, 개별 관람실의 바닥면적은 300m2 이다.)
85. 다음 중 철근콘크리트조로서 두께와 상관없이 내화구조로 인정되는 것에 속하지 않는 것은?
86. 건축물의 냉방설비에 대한 설치 및 설계기준상 다음과 같이 정의되는 것은?
87. 각 층의 거실면적이 3000m2이며 층수가 12층인 호텔 건축물에 설치하여야 하는 승용승강기의 최소 대수는? (단, 24인승 승강기를 설치하는 경우)
88. 소리를 차단하는데 장애가 되는 부분이 없도록 건축물의 피난·방화구조 등의 기준에 관한 규칙에서 정하는 구조로 하여야 하는 대상에 속하지 않는 것은?
89. 다음의 용도변경 중 허가 대상에 속하는 것은?
90. 장례식장의 용도로 쓰이는 건축물의 집회실로서 그 바닥면적이 200m2인 경우 반자의 높이는 최소 얼마 이상이어야 하는가? (단, 기계환기장치를 설치하지 않은 경우)
91. 건축허가신청에 필요한 설계도서에 속하지 않는 것은?
92. 특별피난계단에 설치하는 배연설비의 구조에 관한 기준 내용으로 옳지 않은 것은?
93. 특정소방대상물이 문화 및 집회시설 중 공연장인 경우 모든 층에 스프링클러설비를 설치하여야 하는 수용인원 기준은?
94. 세대수가 5세대인 주거용 건축물에 설치하는 음용수 급수관의 지름은 최소 얼마 이상으로 하여야 하는가?
95. 건축물 지하층에 설치하는 비상탈출구에 관한 기준 내용으로 옳지 않은 것은? (단, 주택이 아닌 경우)
96. 건축법령상 다음과 같이 정의되는 주택의 종류는?
97. 건축물에 건축설비를 설치하는 경우 관계전문기술자의 협력을 받아야 하는 대상 건축물의 연면적 기준은? (단, 창고시설 제외)
98. 다음의 소방시설 중 경보설비에 속하지 않는 것은?
99. 건축물의 설비기준 등에 관한 규칙에 따라 피뢰설비를 설치하여야 하는 대상 건축물의 높이 기준은?
100. 다음은 건축법상 지하층의 정의이다. ( ) 안에 알맞은 것은?