1과목: 재료역학
1. 그림과 같이 원형단면을 갖는 연강봉이 100kN의 인장하중을 받을 때 이 봉의 신장량은? (단, 탄성계수 E=200GPa이다.)
2. 단면이 가로 100mm, 세로 150mm인 사각 단면보가 그림과 같이 하중(P)을 받고 있다. 허용 전단응력이 τa=20MPa일 때 전단응력에 의한 설계에서 허용하중 P는 몇 kN인가?
3. 양단이 고정단이고 길이가 직경의 10배인 주철 재질의 원주가 있다. 이 기둥의 임계응력을 오일러 식을 이용해 구하면 얼마인가? (단, 재료의 탄성계수는 E이다.)
4. 그림과 같은 단순 지지보에서 길이는 5m, 중앙에서 집중하중 P가 작용할 때 최대 처짐은 약 몇 mm인가? (단, 보의 단면(폭×높이=b×h)은 5cm×12cm. 탄성계수 E=210GPa, P=25kN으로 한다.)
5. 그림과 같은 직사각형 단면의 보에 P=4 kN의 하중이 10°경사진 방향으로 작용한다. A점에서의 길이 방향의 수직응력을 구하면 몇 MPa인가?
6. 길이가 L인 양단 고정보의 중앙점에 집중하중 P가 작용할 때 중앙점의 최대 처짐은? (단, 보의 굽힘강성 EI는 일정하다.)




7. 길이 1m인 단순보가 아래 그림처럼 q=5kN/m의 균일 분포하중과 P=1kN의 집중하중을 받고 있을 때 최대 굽힘 모멘트는 얼마이며 그 발생되는 지점은 A점에서 얼마되는 곳인가?
8. 그림과 같이 두께가 20mm, 외경이 200mm인 원관을 고정벽으로부터 수평으로 돌출시켜 원관에 물을 충만시켜서 자유단으로 부터 물을 방출시킨다. 이 때 자유단의 처짐이 5mm라면 원관의 길이 ℓ는 약 몇 cm인가? (단, 원관 재료의 탄성계수 E=200GPa, 비중은 7.8이고 물의 밀도는 1000kg/m3이다.)
9. 다음과 같은 압력 기구에 안전 밸브가 장치되어 있다. 이때 스프링 상수가 k=100kN/m이고 자연상태에서의 길이는 240mm라 한다. 몇 kN/m2의 압력에 밸브가 열리겠는가?


10. 그림과 같은 집중하중을 받는 단순 지지보의 최대 굽힘 모멘트는? (단, 보의 굽힘강성 EI는 일정하다.)




11. 코일스프링에서 가하는 힘 P, 코일 반지름 R, 소선의 지름 d, 전단탄성계수 G라면 코일 스프링에 한번 감길 때마다 소선의 비틀림각 ø를 나타내는 식은?




12. 지름 d인 환봉을 처짐이 최소가 되도록 직시각형 단면의 보를 만들 경우 단면의 폭 b와 높이 h의 비(h/b)는?
13. 철도용 레일의 양단을 고정한 후 온도가 30℃에서 15℃로 내려가면 발생하는 열응력은 몇 MPa인가? (단, 레일재료의 열팽창계수 α=0.000012/℃이고, 균일한 온도 변화를 가지며, 탄성계수 E=210GPa이다.)
14. 그림과 같은 1축 응력(응력치:σ, σ는 y축 방향) 상태에서 재료의 Z-Z 단면(x축과 45°반시계 방향 경사)에 생기는 수직응력 σn, 전단응력 τn의 값은?
15. 짧은 주철재 실린더가 축방향 압축 응력과 반경 방향의 압축 응력을 각가 40MPa과 10MPa를 받는다. 탄성계수 E=100GPa, 포아송 비 v=0.25, 직경 d=120m, 길이 L=200mm 일 때 지름의 변화량은 약 몇 mm인가?
16. 외경이 내경의 1.5배인 중공축과 재질과 길이가 같고 지름이 중공축의 외경과 같은 중실축이 동일 회전수에 동일 동력을 전달한다면, 이때 중실축에 대한 중공축의 비틀림각의 비는?
17. 굽힘하중을 받고 있는 선형 탄성 균일단면 보의 곡률 및 곡률반경에 대한 설명으로 틀린 것은?
18. 양단이 고정된 축을 그림과 같이 m-n 단면에서 비틀면 고정단에서 생기는 저항 비틀림 모멘트의 비 TB/TA는?
19. 진변형률(εT)과 진응력(σT)을 공칭 응력(σn)과 공칭 변형률(εn)로 나타낼 떄 옳은 것은?

20. 그림에서 W1과 W2가 어느 한쪽도 내려가지 않게 하기 위한 W1:W2의 크기의 비는 어느 것인가? (단, 경사면의 마찰은 무시한다.)
2과목: 기계열역학
21. 실린더안에 0.8kg의 기체를 넣고 이것을 압축하기 위해서는 13kJ의 일이 필요하며, 또 이때 실린더를 냉각하기 위해서 10kJ의 열을 빼앗아야 한다면 이 기체의 비 내부에너지 변화량은?
22. 에어컨을 이용하여 실내의 열을 외부로 방출하려한다. 실외 35℃, 실내 20℃인 조건에서 실내로부터 3kW의 열을 방출하려 할 때 필요한 에어컨의 동력은 얼마인가? (단, Carnot cycle을 가정한다.)
23. 두께 1 cm, 면적 0.5m2의 석고판의 뒤에 가열 판이 부착되어 1000W의 열을 전달한다. 가열 판의 뒤는 완전히 단열되어 열은 앞면으로만 전달된다. 석고판 앞면의 온도는 100℃이다. 석고의 열전도율이 k=0.79W/mㆍK일 때 가열 판에 접하는 석고 면의 온도는 약 몇 ℃인가?
24. 다음 냉동 시스템의 설명 중 틀린 것은?
25. 29℃와 227℃사이에서 작동하는 카르노(Carnot) 사이클 열기관의 열효율은?
26. 고속주행 시 타이어의 온도는 매우 많이 상승한다. 온도 20℃에서 계기압력 0.183MPa의 타이어가 고속주행으로 온도 80℃로 상승할 때 압력 상승한 양(kPa)은? (단, 타이어의 체적은 변하지 않고, 타이어 내의 공기는 이상기체로 가정한다. 대기압은 101.3kPa이다.)
27. 어ᄄᅠᆫ 냉장고에서 질량유량 80kg/hr의 냉매가 17kJ/kg의 엔탈피로 증발기에 들어가 엔탈피 36kJ/kg가 되어 나온다. 이 냉장고의 냉동능력은?
28. 오토사이클(Otto Cycle)의 이론적 열효율 ηth를 나타내는 식은? (단,
는 압축비, k는 비열비이다.)




29. 다음 사항 중 옳은 것은?
30. 성능계수(COP)가 0.8인 냉동기로서 7200kJ/h로 냉동하려면, 이에 필요한 동력은?
31. 다음 열기관 사이클의 에너지 전달량으로 적절한 것은?
32. 다음 중 열역할적 상태량이 아닌 것은?
33. 그림과 같은 증기압축 냉동사이클이 있다. 1, 2, 3 상태의 엔탈피가 다음과 같을 때 냉매의 단위 질량당 소요 동력과 냉각량은 얼마인가? (단, h1=178.16, h2=210.38, h3=74.53, 단위:kJ/kg)
34. 물질의 상태에 관한 설명으로 옳은 것은?
35. 질량 m=100kg인 물체에 a=2.5m/s2의 가속도를 주기 위해 가해야 할 힘(F)은 약 몇 N인가?
36. 100kPa, 20℃의 물을 매시간 3000kg씩 500kPa로 공급하기 위하여 소요되는 펌프의 동력은 약 몇 kW인가? (단, 펌프의 효율은 70%로 물의 비체적은 0.001m3/kg으로 본다.)
37. 대기압하에서 20℃의 물 1kg을 가열하여 같은 압력의 150℃의 과열 증기로 만들었다면, 이때 물이 흡수한 열량은 20℃와 150℃에서 어떠한 양의 차이로 표시되겠는가?
38. 두 정지 계가 서로 열 교환을 하는 경우에 한쪽 계는 수열에 의한 엔트로피 증가가 있고, 다른 계는 방열에 의한 엔트로피 감소가 있다. 이들 두 계를 합하여 한 계로 생각하면 단열된 계가 된다. 이 합성계가 비가역 단열변화를 하면 이 합성계의 엔트로피 변화 dS는?
39. 질량 4kg의 액체를 15℃에서 100℃까지 가열하기 위해 825kJ의 열을 공급하였다면 액체의 비열(specific heat)은 몇 J/kgㆍK인가?
40. 800kPa, 350℃의 수증기를 200kPa로 교축한다. 이 과정에 대하여 운동 에너지의 변화를 무시할 수 있다고 할 때 이 수증기의 Joule-Thomson 계수는? (단, 교축 후의 온도는 344℃이다.)
3과목: 기계유체역학
41. 다음 중 Moody선도에 대하여 잘못 설명한 것은?
42. 직경이 5mm인 원형 직선관 내를 0.2L/min의 유량으로 물이 흐르고 있다. 유량을 두 배로 하기 위해서는 몇 배의 압력을 가해 주어야 하는가? (단, 물의 동점성계수는 약 10-6m2/s 이다.)
43. 온도 25℃인 공기의 압력이 200kPa(abs)일 때 동점성 계수는 0.12cm2/s이다. 이 온도와 압력에서 공기의 점성계수는 약 몇 kg/mㆍs인가? (단, 공기의 기체상수는 287J/DLEK.)
44. x, y좌표계의 비회전 2차원 유동장에서 속도 포텐셜(potential) ø는 ø=2x2y로 주어진다. 점(3, 2)인 곳에서 속도 벡터는? (단, 속도포텐셜 ø는
로 정의된다.)




45. 그림에서 h=50cm이다. 액체의 비중이 1.90일 때 A점의 계기압력은 몇 Pa인가?
46. 그림과 같이 고정된 노즐로부터 밀도가 ρ인 액체의 제트가 속도 V로 분출하여 평판에 충돌하고 있다. 이때 제트의 단면적이 A이고 평판이 u인 속도로 분류 방향으로 운동할 때 평판에 작용하는 힘 F는?
47. 정압이 100kPa인 물(밀도 100kg/m3)이 20m/s로 흐르고 있을 때 정체압은 몇 kPa인가?
48. 모세관 현상에 대한 설명으로 틀린 것은?
49. 프란틀의 혼합거리(mixing length)에 대한 설명 중 옳은 것은?
50. 지름 D=4cm, 무게W=0.4N인 골프공이 60m/s의 속도로 날아가고 있을 때, 골프공이 받는 항력과 항력에 의한 가속도의 크기는 중력가속도의 몇 배인가? (단, 골프공의 항력계수 CD=0.25이고, 공기의 밀도는 1.2kg/m3이다.)
51. 내경 10cm의 원관 속을 0.1m3/s의 물이 흐를 때 관속의 평균 유속은 약 몇 m/s인가?
52. 중력과 관성력의 비로 정의되는 무차원수는? (단, ρ:밀도, V:속도, l:특성 길이, μ:점성계수, P:압력, g:중력가속도, c:소리의 속도)




53. 물을 사용하는 원심 펌프의 설계점에서의 전 양정이 30m이고 유량은 1.2m3/min이다. 이 펌프를 설계점에서 운전할 때 필요한 축 동력이 7.35kW라면 이 펌프의 전 효율은?
54. 파이프 유동에 대한 다음 설명 중 틀린 것은?
55. 원통형의 면 ABC에 수평방향으로 작용하는 힘은 약 몇 kN인가? (단, 유체의 비중은 1이다.)
56. 피스톤 A2의 반지름 A1 반지름의 2배이며 A1과 A2에 작용하는 압력을 각각 P1,P2라 하면 P1과 P2사이의 관계는? (단, 두 피스톤은 같은 높이에 위치하고 있다.)
57. 다음 중 밀도가 가장 큰 액체는?
58. 공기 중을 10m/s로 움직이는 소형 비행선의 항력을 구하려고 1/5 축척의 모형을 물속에서 실험하려고 할 때 모형의 속도는 몇 m/s로 해야 하는가? (단, 밀도:물 1000kg/m3, 공기 1kg/m3, 점성계수:물 1.8×10-3Nㆍs/m2, 공기1×10-5Nㆍs/m2)
59. 유량이 10m3/s로 일정하고 수심이 1m로 일정한 강의 폭이 매 10m 마다 1m 씩 좁아진다. 강 폭이 5m인 곳에서 강물의 가속도는 몇 m/s2인가? (단, 흐름 방향으로만 속도성분이 있다고 가정한다.)
60. 공기의 유속을 측정하기 위하여 피토관을 사용했다. 물을 담은 U자관의 수주의 높이의 차가 10cm라면 공기의 유속은 약 몇 m/s인가? (단, 공기의 밀도는 1.25kg/m3이다.)
4과목: 유체기계 및 유압기기
61. 소구기관의 소기형식은 주로 다음 중 어느 방식을 많이 사용하는가?
62. 연료 소비율이 272g/kWㆍh이고, 연료의 저위발열량이 41870kJ/kg일 때 제동 열효율은 약 몇 %인가?
63. 내연기관에서 밸브 오버랩(valve over lap)이란?
64. 대체 연료 중 수소 연료의 특징이 아닌 것은?
65. 2개의 로터를 갖는 로터리 기관은 왕복 형 기관의 실린더 수로는 몇 개에 해당하는가?
66. 디젤사이클의 열효율식으로 옳은 것은? (단,
:압축비, k:비열비(정압비열/정적비열), ρ:단절비(정압팽창비), α:폭발비(압력비)이다.)




67. 내연기과에서 피스톤 링의 3대 주요 작용이 아닌 것은?
68. 실린더 블럭과 실린더를 별개로 한 실린더 즉, 라이너(liner)를 이용하는 장점이 아닌 것은?
69. 연료의 저위발열량이 43200kJ/kg이고, 기관의 효율이 30%일 때 연료의 소비율(g/kWㆍh)은?
70. 디젤기관의 기계식 조속기 중 전속도 제어형 조속기는?
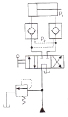
71. 그림과 같은 유압기호는 무슨 밸브의 기호인가?
72. 피스톤 부하가 급격히 제거되었을 때 피스톤이 급진하는 것을 방지하는 등의 속도제어회로로 가장 적합한 것은?
73. 어큐물레이터(accumulator)의 주요 용도가 아닌 것은?
74. 안지름이 10mm인 파이프에 2×104cm3/min의 유량을 통과시키기 위한 유체의 속도는 약 몇 m/s인가?
75. 슬라이드 밸브 등에서 밸브가 중립점에 있을 때, 이미 포트가 열리고, 유체가 흐르도록 중복된 상태를 의미하는 용어는?
76. 1개의 유압 실린더에서 전진 및 후진 단에 각각의 리밋스위치를 부착하는 이유로 가장 적합한 것은?
77. 유압펌프의 소음발생 원인으로 거리가 먼 것은?
78. 유압 속도젱 회로 중 미터 아웃 회로의 설치 목적과 관계없는 것은?
79. 유압 작동유에 요구되는 성질이 아닌 것은?
80. 다음 유압회로의 명칭으로 옳은 것은?
5과목: 건설기계일반 및 플랜트배관
81. 최소 측정값이 1/20mm인 버니어캘리퍼스에 대한 설명으로 옳은 것은?
82. 주조시 탕구의 높이와 유속과의 관계가 옳은 식은? (단, v:유속(cm/s), h:탕구의 높이(쇳물이 채워진 높이, cm), g: 중력 가속도(cm/s2), C:유량계수이다.)




83. 센터리스 연삭의 특징에 대한 설명으로 틀린 것은?
84. 두께 2mm의 연강판에 지름 20mm의 구멍을 펀칭하는데 소요되는 동력은 약 몇 kW인가? (단, 프레스 평균전단속도는 5m/min, 판의 전단응력은 275MPa, 기계효율은 60%이다.)
85. 구성인선(Built-up edge)의 방지대책으로 틀린 것은?
86. 지름 4mm의 가는 봉재를 선재인발(wire drawing)하여 3.5mm가 되었다면 단면 감소율은?
87. 200mm 사인바로 10°각을 만들려면 사인바 양단의 게이지블록의 높이차는 약 몇 mm이어야 하는가? (단, 경사면과 측정면이 일치한다.)
88. 용접의 분류에서 아크 용접이 아닌 것은?
89. 일반적으로기계가공한 강제품을 열처리하는 목적이 아닌 것은?
90. 다음 중 정밀입자에 의한 가공이 아닌 것은?
91. 크레인의 작업장치 중 배수로 작업, 매몰작업, 굴토 작업 등에 가장 적합한 것은?
92. 무한 궤도식 건설기계에서 지면에 접촉하여 바퀴역할을 하는 트랙(track)의 구성요소에 해당하지 않는 것은?
93. 건설기계관리법에 따라 무한궤도식 굴삭기의 접지압의 기준으로 틀린 것은?
94. 모터 그레이더로 0.15m 두께로 흙고르기 작업을 할 때의 시간당 작업량은 약 몇 m3/h 인가? (단, 1회의 작업거리는 80m, 토공판의 유효길이는 2.7m, 토량환산의 계수 1, 작업효율은 70%이며, 1회 사이클 타임은 2.54분이다.)
95. 다음 중 건설기계관리법에서 규정하는 건설기계의 범위에 해당하지 않는 것은?
96. 아스팔트 피니셔에서 노면에 살포된 아스팔트 혼합재를 매끈하게 다듬질하는 판에 해당하는 것은?
97. 다음 중 트리밍 도저(trimming dozer)에 대한 설명으로 옳은 것은?
98. 롤러의 종류 중 자체 중량을 이용하는 전압식 롤러에 해당하지 않는 것은?
99. 굴착 적재기계 중 하나로 버킷래더굴착기와 유사한 구조로서 커터비트(cutter bit)를 규칙적으로 배열한 체인커터를 회전시키는 커터붐을 차체에 설치하고 커터의 회전으로 토사를 굴착하는 것은?
100. 도저로 작업 시 슬롯 압토법(홈 송토법)을 하는 목적으로 가장 가까운 것은?
여기서 인장응력은 F/A로 구할 수 있다. A는 원형단면의 면적으로, A=πr^2이다.
따라서 인장응력은 F/πr^2이다.
변형률은 (F/πr^2)/E이다.
이제 주어진 값들을 대입하면,
변형률 = (100kN/π(1cm)^2)/200GPa = 0.000027
따라서 신장량은 변형률 x 초기길이 = 0.000027 x 200cm = 0.054cm 이다.
따라서 정답은 "0.054cm"이다.