1과목: 재료역학
1. 그림과 같이 길이 ℓ=3 m의 단순보가 균일 분포하중 ω=5 kN/m의 작용을 받고 있다. 보의 단면이 폭(b)×높이(h)=10 cm×20 cm, 탄성계수 E=10 GPa일 때, 이 보의 최대 처짐량과 지점 A에서의 기울기는? (단, 보의 굽힘강성 EI는 일정하다.)
2. 그림과 같은 단면의 x-x축에 대한 단면 2차 모멘트는?




3. 지름이 10 mm이고, 길이가 3 m인 원형 축이 957 rpm으로 회전하고 있다. 이 축의 허용전단응력이 160 MPa인 경우 전달할 수 있는 최대 동력은 약 몇 kW인가?
4. 단면 치수가 8 mm×24 mm인 강대가 인장력 P=15 kN을 받고 있다. 그림과 같이 30°경사진 면에 작용하는 수직응력은 약 몇 MPa인가? (문제 오류로 가답안 발표시 3번으로 발표되었지만 확정답안 발표시 모두 정답처리 되었습니다. 여기서는 1번을 누르면 정답 처리 됩니다.)
5. 길이 4 m인 단순보의 중앙에 500 N의 집중하중이 작용하고 있다. 10 cm×10 cm의 4각 단면보라고 하면 굽힘응력은 몇 N/cm2인가?
6. 길이가 2 m인 환봉에 인장하중을 가하여 변화된 길이가 0.14 cm일 때 변형률은?
7. 반지름 1 cm, 길이 150 cm, 탄성계수 200 GPa의 강봉이 90 kN의 인장하중을 받을 때 탄성에너지는 약 몇 N ㆍ m인가?
8. 다음 보에 발생하는 최대 굽힘 모멘트는?




9. 다음 자유 물체도에서 경사하중 P가 작용할 경우 수직반력(RA) 및 수평반력(RH)은 각각 얼마인가? (단, 그림에서 보 AB와 P가 이루는 각도는 30°이다.) (문제 오류로 가답안 발표시 4번으로 발표되었지만 확정답안 발표시 모두 정답처리 되었습니다. 여기서는 1번을 누르면 정답 처리 됩니다.)




10. 양단이 고정된 균일 단면봉의 중간단면 C에 축하중 P를 작용시킬 때 A, B에서 반력은?




11. 다음 보에서 B점의 반력 RB는 얼마인가?




12. 직경이 d이고 길이가 L인 균일한 단면을 가진 직선축이 전체 길이에 걸쳐 토크 t0가 작용할 때, 최대 전단응력은?




13. 속이 빈 주철재 기둥에 100 kN의 축방향 압축하중이 걸릴 때 오일러의 좌굴 길이를 구하면 약 몇 cm인가? (단, 양단은 회전상태이며, E=105 GPa, I=260 cm4이다.)
14. 그림과 같은 외팔보의 임의의 거리 C되는 점에 집중하중 P가 작용할 때 최대 처짐량은? (단, 보의 굽힘 강성 EI는 일정하고, 자중은 무시한다.)




15. 45°각의 로제트 게이지로 측정한 결과가 ε0°=400×10-6, ε45°=400×10-6, ε90°=200×10-6일 때, 주응력은 약 몇 MPa인가? (단, 포아송 비 ν=0.3, 탄성계수 E=206 GPa이다.)
16. 축방향 단면적 A인 임의의 재료를 인장하여 균일한 인장응력이 작용하고 있다. 인장방향 변형률이 ε, 포아송의 비를 ν라 하면 단면적의 변화량은 약 얼마인가?
17. 그림에서 P가 1800 N, b=3 cm, h=4 cm, e=1 cm라 할 때 최대 압축응력은 몇 N/cm2인가?
18. 재료와 단면이 같은 두 축의 길이가 각각 ℓ과 2ℓ일 때 길이가 ℓ인 축에 비틀림 모멘트 T가 작용하고 길이가 2ℓ인 축에 비틀림 모멘트 2T가 각각 작용한다면 비틀림각의 크기 비는?
19. 그림과 같은 보가 분포하중과 집중하중을 받고 있다. 지점 B에서의 반력의 크기를 구하면 몇 kN인가?
20. 원형 단면보의 임의 단면에 걸리는 전체 전단력이 3V일 때, 단면에 생기는 최대 전단응력은? (단, A는 원형단면의 면적이다.)




2과목: 기계열역학
21. 클라우지우스(Clausius) 적분 중 비가역 사이클에 대하여 옳은 식은? (단, Q는 시스템에 공급되는 열, T는 절대 온도를 나타낸다.)




22. 다음 중 이상적인 스로틀 과정에서 일정하게 유지되는 양은?
23. 70 kPa에서 어떤 기체의 체적이 12 m3이었다. 이 기체를 800 kPa까지 폴리트로픽 과정으로 압축했을 때 체적이 2 m3으로 변화했다면, 이 기체의 폴리트로프 지수는 약 얼마인가?
24. 이상기체의 가역 폴리트로픽 과정은 다음과 같다. 이에 대한 설명으로 옳은 것은? (단, P는 압력, u는 비체적, C는 상수이다.)
25. 공기 표준 사이클로 운전하는 디젤 사이클 엔진에서 압축비는 18, 체절비(분사 단절비)는 2일 때 이 엔진의 효율은 약 몇 %인가? (단, 비열비는 1.4이다.)
26. 압력 250 kPa, 체적 0.35 m3의 공기가 일정 압력 하에서 팽창하여, 체적이 0.5 m3로 되었다. 이 때 내부에너지의 증가가 93.9 kJ이었다면, 팽창에 필요한 열량은 약 몇kJ인가?
27. 이상기체가 등온 과정으로 부피가 2배로 팽창할 때 한 일이 W1이다. 이 이상기체가 같은 초기조건 하에서 폴리트로픽 과정(지수=2)으로 부피가 2배로 팽창할 때 한일은?



28. 역카르노 사이클로 운전하는 이상적인 냉동사이클에서 응축기 온도가 40 ℃, 증발기 온도가 -10 ℃이면 성능 계수는?
29. 이상기체가 등온과정으로 체적이 감소할 때 엔탈피는 어떻게 되는가?
30. 밀폐시스템에서 초기 상태가 300 K, 0.5 m3인 이상기체를 등온과정으로 150 kPa에서 600 kPa까지 천천히 압축하였다. 이 압축과정에 필요한 일은 약 몇 kJ인가?
31. 이상적인 디젤 기관의 압축비가 16일 때 압축전의 공기 온도가 90 ℃라면, 압축후의 공기의 온도는 약 몇 ℃인가? (단, 공기의 비열비는 1.4이다.)
32. 공기의 정압비열(Cp kJ/(kg ㆍ ℃))이 다음과 같다고 가정한다. 이 때 공기 5 kg을 0 ℃에서 100 ℃까지 일정한 압력하에서 가열하는데 필요한 열량은 약 몇 kJ인가? (단, 다음 식에서 t는 섭씨온도를 나타낸다.)
33. 500 ℃의 고온부와 50 ℃의 저온부 사이에서 작동하는 Carnot 사이클 열기관의 열효율은 얼마인가?
34. 어떤 기체 1 kg이 압력 50 kPa, 체적 2.0 m3의 상태에서 압력 1000 kPa, 체적 0.2 m3의 상태로 변화하였다. 이 경우 내부에너지의 변화가 없다고 한다면, 엔탈피의 변화는 얼마나 되겠는가?
35. 두 물체가 각각 제3의 물체와 온도가 같을 때는 두 물체도 역시 서로 온도가 같다는 것을 말하는 법칙으로 온도측정의 기초가 되는 것은?
36. 그림과 같이 카르노 사이클로 운전하는 기관 2개가 직렬로 연결되어 있는 시스템에서 두 열기관의 효율이 똑같다고 하면 중간 온도 T는 약 몇 K인가?
37. 카르노 냉동기 사이클과 카르노 열펌프 사이클에서 최고 온도와 최소 온도가 서로 같다. 카르노 냉동기의 성적 계수는 COPR이라고 하고, 카르노 열펌프의 성적계수는 COPHP라고 할 때 다음 중 옳은 것은?
38. 에어컨을 이용하여 실내의 열을 외부로 방출하려 한다. 실외 35 ℃, 실내 20 ℃인 조건에서 실내로부터 3 kW의 열을 방출하려 할 때 필요한 에어컨의 최소 동력은 약몇 kW인가?
39. 랭킨 사이클의 각각의 지점에서 엔탈피는 다음과 같다. 이 사이클의 효율은 약 몇 %인가? (단, 펌프일은 무시한다.)
40. 열과 일에 대한 설명 중 옳은 것은?
3과목: 기계유체역학
41. 유체 경계층 밖의 유동에 대한 설명으로 가장 알맞은 것은?
42. 다음 중 점성계수를 측정하는 점도계의 종류에 속하지 않는 것은?
43. 개방된 물탱크 속에 지름 1 m의 원판이 잠겨있다. 이 원판의 도심이 자유표면보다 1 m 아래쪽에 있고, 수평 상태로 있다. 이때 도심의 깊이를 바꾸지 않은 상태에서 원판을 수직으로 세우면 원판의 한쪽 면이 받는 정수력학적 합력의 크기와 합력의 작용점은 어떻게 달라지는가? (단, 평판의 두께는 무시한다.)
44. 체적 0.2 m3인 물체를 물속에 잠겨 있게 하는데 300 N의 힘이 필요하다. 만약 이 물체를 어떤 유체 속에 잠겨 있게 하는데 200 N의 힘이 필요하다면 이 유체의 비중은 약 얼마인가?
45. 공기 중에서 무게가 1540 N인 통나무가 있다. 이 통나무를 물속에 잠겨 평형이 되도록 하기 위해 34 kg의 납(밀도 11300 kg/m3)이 필요하다고 할 때 통나무의 평균 밀도는 약 몇 kg/m3인가?
46. 유체의 체적탄성계수와 같은 차원을 갖는 것은?
47. 실온에서 공기의 점성계수는 1.8×10-5 Pa ㆍ s, 밀도는 1.2 kg/m3이고, 물의 점성계수가 1.0×10-3> Pa ㆍ s, 밀도는 1000 kg/m3이다. 지름이 25 mm인 파이프 내의 유동을 고려할 때, 층류 상태를 유지할 수 있는 최대 Reynolds 수가 2300이라면, 층류유동 시 공기의 최대 평균 속도는 물의 최대 평균 속도의 약 몇 배인가?
48. 유량이 일정한 완전난류유동에서 파이프의 마찰 손실을 줄이기 위한 방법으로 가장 거리가 먼 것은?
49. 입출구의 지름과 높이가 같은 팬을 통해 공기(밀도 1.2 kg/m3)가 0.01 kg/s의 유량으로 송출될 때, 압력 상승이 100 Pa이다. 팬에 공급되는 동력이 1 W일 때 팬의 동력 손실은 약 몇 W인가? (단, 유입 및 유출 공기 속도가 균일하다.)
50. 단면적이 0.005 m2인 물 제트가 4 m/s의 속도로 U자 모양의 깃(vane)을 때리고 나서 방향이 180°바뀌어 일정하게 흘러나갈 때 깃을 고정시키는데 필요한 힘은 몇 N 인가? (단, 중력과 마찰은 무시하고 물 제트의 단면적은 변함이 없다.)
51. 지름이 1 m인 원형 탱크에 단면적이 0.1 m2인 관을 통해 물이 0.5 m/s의 평균 속도로 유입되고, 같은 단면적의 관을 통해 1 m/s의 속도로 유출된다. 이때 탱크 수위의 변화 속도는 약 얼마인가?
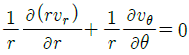
52. 극좌표계(γ, θ)에서 정상상태 2차원 이상유체의 연속방정식으로 옳은 것은? (단, υγ, υθ는 각각 γ, θ방향의 속도성분을 나타내며, 비압축성 유체로 가정한다.)




53. 그림과 같은 사이펀에서 마찰손실을 무시할 때, 흐를 수 있는 이론적인 최대 유속은 약 몇 m/s인가?
54. 다음 중 무차원수인 것만을 모두 고른 것은? (단, P는 압력, ρ는 밀도, V는 속도, H는 높이, g는 중력가속도, μ는 점성계, a는 음속이다.)(오류 신고가 접수된 문제입니다. 반드시 정답과 해설을 확인하시기 바랍니다.)
55. 지름 D인 구가 밀도 ρ, 점성계수 μ인 유체 속에서 느린 속도 V로 움직일 때 구가 받는 항력은 3πμVD이다. 이 구의 항력계수는 얼마인가? (단, Re는 레이놀즈수
를 나타낸다.)
56. 다음 중 포텐셜 유동장에 관한 설명으로 옳지 않은 것은?
57. 위가 열린 원뿔형 용기에 그림과 같이 물이 채워져 있을 때 아래 면에 작용하는 정수압은 약 몇 Pa인가? (단, 물이 채워진 공간의 높이는 0.4 m, 윗면 반지름은 0.3 m, 아래면 반지름은 0.5 m이다.)
58. 안지름이 30 mm, 길이 1.5 m인 파이프 안을 유체가 난류 상태로 유동하여 압력손실이 14715 Pa로 나타났다. 관 벽에 작용하는 평균전단응력은 약 몇 Pa인가?
59. 두 원관 내에 비압축성 액체가 흐르고 있을 때 역학적 상사를 이루려면 어떤 무차원 수가 같아야 하는가?
60. 길이 125 m, 속도 9 m/s인 선박이 있다. 이를 길이 5 m인 모형선으로 프루드(Froude)상사가 성립되게 실험하려면 모형선의 속도는 약 몇 m/s로 해야 하는가?
4과목: 유체기계 및 유압기기
61. 원심펌프에서 축추력(axial thrust) 방지법으로 거리가 먼 것은?
62. 터보팬에서 송풍기 전압이 150 mmAq일 때 풍량은 4 m3/min이고, 이 때의 축동력은 0.59 kW이다. 이 때 전압 효율은 약 몇 %인가?
63. 수차에서 무구속 속도(run away speed)에 관한 설명으로 옳지 않은 것은?
64. 펠톤 수차에서 전향기(deflector)를 설치하는 목적은?
65. 펌프에서 발생하는 공동현상의 영향으로 거리가 먼 것은?
66. 대기압 이하의 저압력 기체를 대기압까지 압축하여 송출시키는 일종의 압축기인 진공펌프의 종류로 틀린 것은? (문제 오류로 가답안 발표시 4번으로 발표되었지만 확정답안 발표시 모두 정답처리 되었습니다. 여기서는 가답안인 4번을 누르면 정답 처리 됩니다.)
67. 유체커플링에서 드래그 토크(drag torque)란 무엇인가?
68. 펌프의 분류에서 터보형에 속하지 않는 것은?
69. 회전차를 정방향과 역방향으로 자유롭게 변경하여 펌프의 작용도 하고, 수차의 역할도 하는 펌프 수차(pump-turbine)가 주로 이용되는 발전 분야는?
70. 왕복펌프에서 공기실의 역할을 가장 옳게 설명한 것은?
71. 어큐뮬레이터의 사용 목적이 아닌 것은?
72. 다음 중 점성 및 점도에 관한 설명으로 틀린 것은?
73. 유압장치에서 조작 사이클의 일부에서 짧은 행정 또는 순간적으로 고압을 필요로 할 경우에 사용하는 회로는?
74. 그림과 같은 유압기호는 무슨 밸브의 기호인가?
75. 유압회로에서 분기 회로의 압력을 주회로의 압력보다 저압으로 사용하려 할 때 사용되는 밸브는?
76. 유압 신호를 전기 신호로 전환시키는 일종의 스위치로 전동기의 기동, 솔레노이드 조작밸브의 개폐 등의 목적에 사용되는 유압 기기인 것은?
77. 지름이 15 cm인 램의 머리부에 2 MPa의 압력이 작용할 때 프레스의 작용하는 힘은 약 몇 N인가?
78. 유압 펌프의 전 효율을 정의한 것은?
79. 유압 부속장치인 스풀 밸브 등에서 마찰, 고착 현상 등의 영향을 감소시켜, 그 특성을 개선하기 위해서 주는 비교적 높은 주파수의 진동을 나타내는 용어는?
80. 모듈이 10, 잇수가 30개, 이의 폭이 50 mm일 때, 회전수가 600 rpm, 체적 효율은 80 %인 기어펌프의 송출 유량은 약 몇 m3/min인가?
5과목: 건설기계일반 및 플랜트배관
81. 도저의 작업 장치별 분류에서 삽날면 각을 변화시킬 수 있으며 광석이나 석탄 등을 긁어모을 때 주로 사용하는 것은?
82. 강재의 크기에 따라 담금질 효과가 달라지는 것은?
83. 건설기계 기관에서 윤활유의 역할이 아닌 것은?
84. 롤러의 다짐방법에 따른 분류에서 전압식에 속하며 아스팔트 포장의 표층 다짐에 적합하여 아스팔트의 끝마무리 작업에 가장 적합한 장비는?
85. 다음의 지게차 중 선내하역 작업이나 천정이 낮은 장소에 적합한 형식은?
86. 버킷 평적 용량이 0.4 m3인 굴삭기로 30초에 1회의 속도로 작업을 하고 있을 때 1시간 동안의 이론 작업량은 약 몇 m3/h인가? (단, 버킷 계수는 0.7, 작업효율은 0.6, 토량환산계수는 0.9이다.)
87. 대규모 항로 준설 등에 사용하는 준설선으로 선체 중앙에 진흙창고를 설치하고 항해하면서 해저의 토사를 준설 펌프로 흡상하여 진흙창고에 적재하는 준설선은?
88. 휠 크레인의 아웃 리거(Out-Rigger)의 주된 용도는?
89. 아스팔트 피니셔에서 호퍼 바닥에 설치되어 혼합재를 스프레딩 스크루로 보내는 역할을 하는 것은?
90. 플랜트 배관설비의 제작, 설치 시에 발생한 녹이나 배관계통에 침입한 분진, 유지분 등을 제거하고 플랜트의 고효율 및 안전운전을 위한 세정작업으로 화학세정방법인 것은?
91. 밸브를 완전히 열면 유체 흐름의 저항이 다른 밸브에 비해 아주 적어 큰 관에서 완전히 열거나 막을 때 적합한 밸브는?
92. 동관의 두께별 분류가 아닌 것은?
93. 배관 시공계획에 따라 관 재료를 선택할 때 물리적 성질이 아닌 것은?
94. 유체에 의한 진동 등에 의해 배관이 움직이거나 진동되는 것을 막아주는 배관의 지지 장치는?
95. 고가 탱크식 급수설비 방식에 대한 설명으로 틀린 것은?
96. 배관 지지 장치의 필요조건으로 거리가 먼 것은?
97. 두께 0.5~3 mm 정도의 알런덤(alundum), 카보란덤(carborundum)의 입자를 소결한 얇은 연삭원판을 고속 회전시켜 재료를 절단하는 공작용 기계는?
98. 밸브 몸통 내에서 밸브대를 축으로 하여 원판 형태의 디스크가 회전함에 따라서 개폐하는 밸브는?
99. 감압 밸브를 작동방법에 따라 분류할 때 속하지 않는 것은?
100. 공기시험이라고 하며 물 대신 압축공기를 관 속에 삽입하여 이음매에서 공기가 새는 것을 조사하는 시험은?
먼저, 보의 처짐을 구하기 위해서는 보의 중간 지점에서의 최대 처짐을 구해야 한다. 이를 위해 보의 중간 지점에서의 굽힘모멘트를 구해보자.
중간 지점에서의 굽힘모멘트는 보의 중간 지점을 기준으로 왼쪽과 오른쪽 부분에서의 모멘트의 합과 같다.
M = (5 kN/m) × (3 m) × (1.5 m) = 22.5 kN·m
이제, 이 굽힘모멘트를 이용하여 중간 지점에서의 최대 처짐을 구할 수 있다.
δmax = (5/384) × (22.5 kN·m) × (3 m)3 / (10 GPa) × (10 cm) × (20 cm)3
= 0.79 cm
다음으로, 지점 A에서의 기울기를 구해보자. 이를 위해서는 지점 A에서의 굽힘모멘트와 보의 굽힘강성 EI를 이용하여 기울기를 구할 수 있다.
지점 A에서의 굽힘모멘트는 지점 A에서 왼쪽 부분에서의 모멘트와 오른쪽 부분에서의 모멘트의 합과 같다.
MA = (5 kN/m) × (3 m) × (2 m) - (5 kN/m) × (2 m) × (1 m)
= 10 kN·m
이제, 이 굽힘모멘트와 보의 굽힘강성 EI를 이용하여 기울기를 구할 수 있다.
θ = MA / (EI)
= (10 kN·m) / (10 GPa × 10 cm × 20 cm3 / 12)
= 0.483°
따라서, 정답은 "δmax=0.79 cm, θ=0.483°" 이다.