1과목: 재료역학
1. 길이 10m, 단면적 2cm2인 철봉을 100℃에서 그림과 같이 양단을 고정했다. 이 봉의 온도가 20℃로 되었을 때 인장력은 약 몇 kN인가? (단, 세로탄성계수는 200GPa, 선팽창계수 a = 0.000012/℃ 이다.)
2. 다음 외팔보가 균일분포 하중을 받을 때, 굽힘에 의한 탄성 변형에너지는? (단, 굽힘강성 EI는 일정하다.)




3. 그림과 같은 단순 지지보에 모멘트(M)와 균일분포하중(w)이 작용할 때, A점의 반력은?




4. 다음 그림과 같은 부채꼴의 도심(centroid)의 위치
는?




5. 비틀림모멘트 2kN·m가 지름 50mm인 축에 작용하고 있다. 축의 길이가 2m 일 때 축의 비틀림각은 약 몇 rad 인가? (단, 축의 전단탄성계수는 85GPa 이다.)
6. 그림과 같이 원형단면을 가진 보가 인장하중 P = 90kN을 받는다. 이 보는 강(steel)으로 이루어져 있고, 세로탄성계수는 210GPa이며 포와송비 μ = 1/3이다. 이 보의 체적변화 △V는 약 몇 mm3인가? (단, 보의 직경 d = 30mm, 길이 L = 5m 이다.)
7. 판 두께 3mm를 사용하여 내압 20kN/cm2을 받을 수 있는 구형(spherical) 내압용기를 만들려고 할 때, 이 용기의 최대 안전내경 d를 구하면 몇 cm 인가? (단, 이 재료의 허용 인장응력을 σw = 800kN/cm2 으로 한다.)
8. 그림과 같이 800N의 힘이 브래킷의 A에 작용하고 있다. 이 힘의 점 B에 대한 모멘트는 약 몇 N·m 인가?
9. 그림과 같이 균일단면을 가진 단순보에 균일하중 ω kN/m이 작용할 때, 이 보의 탄성 곡선식은? (단, 보의 굽힘 강성 EI는 일정하고, 자중은 무시한다.)




10. 다음과 같이 스팬(span) 중앙에 힌지(hinge)를 가진 보의 최대 굽힘모멘트는 얼마인가?




11. 길이 3m, 단면의 지름이 3cm인 균일 단면의 알루미늄 봉이 있다. 이 봉에 인장하중 20kN이 걸리면 봉은 약 몇 cm 늘어나는가? (단, 세로탄성계수는 72GPa 이다.)
12. 길이가 5m 이고 직경이 0.1m인 양단고정보 중앙에 200N의 집중하중이 작용할 경우 보의 중앙에서의 처짐은 약 몇 m 인가? (단, 보의 세로탄성계수는 200GPa 이다.)
13. 다음 구조물에 하중 P = 1kN이 작용할 때 연결핀에 걸리는 전단응력은 약 얼마인가? (단, 연결핀의 지름은 5mm 이다.)
14. 100rpm으로 30kW를 전달시키는 길이 1m, 지름 7cm인 둥근 축단의 비틀림각은 약 몇 rad인가? (단, 전단탄성계수는 83GPa 이다.)
15. 그림과 같은 돌출보에서 ω = 120 kN/m 의 등분포 하중이 작용할 때, 중앙 부분에서의 최대 굽힘응력은 약 몇 MPa인가? (단, 단면은 표준 I형 보로 높이 h = 60cm이고, 단면 2차 모멘트 I = 98200 cm4 이다.)
16. 다음과 같은 평면응력 상태에서 최대 주응력 σ1은?
17. 그림과 같이 외팔보의 끝에 집중하중 P가 작용할 때 자유단에서의 처짐각 θ는? (단, 보의 굽힘강성 EI는 일정하다.)




18. 그림과 같은 단주에서 편심거리 e에 압축하중 P = 80kN이 작용할 때 단면에 인장응력이 생기지 않기 위한 e의 한계는 몇 cm 인가? (단, G는 편심 하중이 작용하는 단주 끝단의 평면상 위치를 의미한다.)
19. 지름 70mm인 환봉에 20MPa 의 최대전단응력이 생겼을 때 비틀림모멘트는 약 몇 kN·m인가?
20. 0.4m × 0.4m인 정사각형 ABCD를 아래 그림에 나타내었다. 하중을 가한 후의 변형상태는 점선으로 나타내었다. 이때 A지점에서 전단 변형률 성분의 평균값(γxy)는?
2과목: 기계열역학
21. 다음 중 강도성 상태량(itensive property)이 아닌 것은?
22. 클라우지우스(Clausius)의 부등식을 옳게 나타낸 것은? (단, T는 절대온도, Q는 시스템으로 공급된 전체 열량을 나타낸다.)




23. 이상기체 2kg이 압력 98kPa, 온도 25℃ 상태에서 체적이 0.5m3였다면 이 이상기체의 기체상수는 약 몇 J/(kg·K)인가?
24. 이상적인 랭킨사이클에서 터빈 입구 온도가 350℃이고, 75kPa과 3MPa의 압력범위에서 작동한다. 펌프 입구와 출구, 터빈 입구와 출구에서 엔탈피는 각각 384.4 kJ/kg, 387.5 kJ/kg, 3116 kJ/kg, 2403 kJ/kg이다. 펌프일을 고려한 사이클의 열효율과 펌프일을 무시한 사이클의 열효율 차이는 약 몇 % 인가?
25. 단열된 노즐에 유체가 10m/s의 속도로 들어와서 200m/s의 속도로 가속되어 나간다. 출구에서의 엔탈피가 2770 kJ/kg 일 때 입구에서의 엔탈피는 약 몇 kJ/kg 인가?
26. 고온열원(T1)과 저온열원(T2) 사이에서 작동하는 역카르노 사이클에 의한 열펌프(heat pump)의 성능계수는?




27. 카르노사이클로 작동하는 열기관이 1000℃의 열원과 300K의 대기 사이에서 작동한다. 이 열기관이 사이클 당 100kJ의 일을 할 경우 사이클 당 1000℃의 열원으로부터 받은 열량은 약 몇 kJ인가?
28. 이상기체로 작동하는 어떤 기관의 압축비가 17이다. 압축 전의 압력 및 온도는 112kPa, 25℃이고 압축 후의 압력은 4350 kPa 이었다. 압축 후의 온도는 약 몇 ℃ 인가?
29. 어떤 유체의 밀도가 741 kg/m3이다. 이 유체의 비체적은 약 몇 m3/kg인가?
30. 다음 중 스테판-볼츠만의 법칙과 관련이 있는 열전달은?
31. 기체가 0.3MPa로 일정한 압력 하에 8m3에서 4m3까지 마찰 없이 압축되면서 동시에 500kJ의 열을 외부로 방출하였다면, 내부에너지의 변화는 약 몇 kJ인가?
32. 어떤 물질에서 기체상수(R)가 0.189 kJ/(kg·K), 임계온도가 305K, 임계압력이 7380kPa이다. 이 기체의 압축성 인자(compressibility factor, Z)가 다음가 같은 관계식을 나타낸다고 할 때 이 물질의 20℃, 1000kPa 상태에서의 비체적(v)은 약 몇 m3/kg 인가? (단, P는 압력, T는 절대온도, Pr은 환산압력, Tr은 환산온도를 나타낸다.)
33. 전류 25A, 전압 13V를 가하여 축전지를 충전하고 있다. 충전하는 동안 축전지로부터 15W의 열손실이 있다. 축전지의 내부에너지 변화율은 약 몇 W인가?
34. 냉매가 갖추어야 할 요건으로 틀린 것은?
35. 100℃의 구리 10kg을 20℃의 물 2kg이 들어있는 단열 용기에 넣었다. 물과 구리 사이의 열전달을 통한 평형 온도는 약 몇 ℃ 인가? (단, 구리 비열은 0.45 kJ/(kg·K), 물 비열은 4.2 kJ/(kg·K) 이다.)
36. 압력이 0.2MPa, 온도가 20℃의 공기를 압력이 2MPa로 될 때까지 가역단열 압축했을 때 온도는 약 몇 ℃ 인가? (단, 공기는 비열비가 1.4인 이상기체로 간주한다.)
37. 이상적인 교축과정(throttling process)을 해석하는데 있어서 다음 설명 중 옳지 않은 것은?
38. 다음은 오토(Otto) 사이클의 온도-엔트로피(T-S) 선도이다. 이 사이클의 열효율을 온도를 이용하여 나타낼 때 옳은 것은? (단, 공기의 비열은 일정한 것으로 본다.)




39. 어떤 습증기의 엔트로피가 6.78 kJ/(kg·K)라고 할 때 이 습증기의 엔탈피는 약 몇 kJ/kg인가? (단, 이 기체의 포화액 및 포화증기의 엔탈피와 엔트로피는 다음과 같다.)
40. 압력(P) - 부피(V) 선도에서 이상기체가 그림과 같은 사이클로 작동한다고 할 때 한 사이클 동안 행한 일은 어떻게 나타내는가?




3과목: 기계유체역학
41. 어떤 물리적인 계(syystem)에서 물리량 F가 물리량 A, B, C, D의 함수 관계가 있다고할 때, 차원해석을 한 결과 두 개의 무차원수,
와
를 구할 수 있었다. 그리고 모형실험을 하여 A = 1, B = 1, C = 1, D = 1일 때 F = F1을 구할 수 있었다. 여기서 A = 2, B = 4, C = 1, D = 2 인 원형의 F는 어떤 값을 가지는가? (단, 모든 값들은 SI단위를 가진다.)
42. 그림곽 같은 노즐을 통하여 유량 Q만큼의 유체가 대기로 분출될 때, 노즐에 미치는 유체의 힘 F는? (단, A1, A2는 노즐의 단면 1, 2에서의 단면적이고 ρ는 유체의 밀도이다.)




43. 직경 1cm인 원형관 내의 물의 유동에 대한 천이 레이놀즈수는 2300이다. 천이가 일어날 때 물의 평균유속(m/s)은 얼마인가? (단, 물의 동점성계수는 10-6 m2/s이다.)
44. 낙차가 100m인 수력발전소에서 유량이 5m3/s 이면 수력터빈에서 발생하는 동력(MW)은 얼마인가? (단, 유도관의 마찰손실은 10m이고, 터빈의 효율은 80% 이다.)
45. 어떤 물리량 사이의 함수관계가 다음과 같이 주어졌을 때, 독립 무차원수 Pi항은 몇 개인가? (단, a는 가속도, V는 속도, t는 시간, ν는 동점성계수, L은 길이이다.)
46. 공기의 속도 24m/s인 풍동 내에서 익현길이 1m, 익의 폭 5m인 날개에 작용하는 양력(N)은 얼마인가? (단, 공기의 밀도는 1.2 kg/m3, 양력계수는 0.455 이다.)
47. 수면의 차이가 H인 두 저수지 사이에 지름 d, 길이 ℓ인 관로가 연결되어 있을 때 관로에서의 평균 유속(V)을 나타내는 식은? (단, f는 관마찰계수이고, g는 중력가속도이며, K1, K2는 관입구와 출구에서의 부차적 손실계수이다.)




48. 수평원관 속에 정상류의 층류흐름이 있을 때 전단응력에 대한 설명으로 옳은 것은?
49. 프란틀의 혼합거리(mixing length)에 대한 설명으로 옳은 것은?
50. (x, y)평면에서의 유동함수(정상, 비압축성 유동)가 다음과 같이 정의된다면 x = 4m, y = 6m의 위치에서의 속도(m/s)는 얼마인ㄱ?
51. 체적이 30m3인 어느 기름의 무게가 247kN이었다면 비중은 얼마인가? (단, 물의 밀도는 1000kg/m3 이다.)
52. 3.6m3/min을 양수하는 펌프의 송출구의 안지름이 23cm일 때 평균 유속(m/s)은 얼마인가?
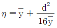
53. 그림과 같이 원판 수문이 물속에 설치되어 있다. 그림 중 C는 압력의 중심이고, G는 원판의 도심이다. 원판의 지름을 d라 하면 작용점의 위치 η는?




54. 국소 대기압이 1atm이라고 할 때, 다음 중 가장 높은 압력은?
55. 그림과 같이 유리간 A, B 부분의 안지름은 각각 30cm, 10cm 이다. 이 관에 물을 흐르게 하였더니 A에 세운 관에는 물이 60cm, B에 세운 관에는 물이 30cm 올라갔다. A와 B 각 부분에서 물의 속도(m/s)는?
56. 유체의 정의를 가장 올바르게 나타낸 것은?
57. 해수의 비중은 1.025이다. 바닷물 속 10m 깊이에서 작업하는 해녀가 받는 계기압력(kPa)은 약 얼마인가?
58. 밀도 1.6 kg/m3인 기체가 흐르는 관에 설치한 피토 정압관(Pitot-static tube)의 두 단자 간 압력차가 4cmH2O 이었다면 기체의 속도(m/s)는 얼마인가?
59. 비압축성 유체가 그림과 같이 단면적 A(x) = 1 – 0.04x[m2]로 변화하는 통로 내를 정상상태로 흐를 때 P점(x=0)에서의 가속도(m/s2)는 얼마인가? (단, P점에서의 속도는 2m/s, 단면적은 1m2이며, 각 단면에서 유속은 균일하다고 가정한다.)
60. 그림과 같은 두 개의 고정된 평판 사이에 얇은 관이 있다. 얇은 판 상부에는 점성계수가 0.05 N·s/m2인 유체가 있고 하부에는 점성계수가 0.1 N·s/m2인 유체가 있다. 이 판을 일정속도 0.5m/s로 끌 때, 끄는 힘이 최소가 되는 거리 y는? (단, 고정 평판사이의 폭은 h(m), 평판들 사이의 속도분포는 선형이라고 가정한다.)
4과목: 유체기계 및 유압기기
61. 다음 수력기기 중 반동 수차에 해당하는 것은?
62. 프란시스 수차에서 사용하는 흡출관에 관한 설명으로 틀린 것은?
63. 수차 중 물의 송출 방향이 축방향이 아닌 것은?
64. 송풍기를 특성곡선의 꼭짓점 이하 닫힘 상태점 근방에서 풍량을 조정할 때 풍압이 진동하고 풍량에 맥동이 일어나며, 격렬한 소음과 운전불능에 빠질 수 있게 되는 현상은?
65. 수차의 에너지 변화과정으로 옳은 것은?
66. 다음 중 기어펌프는 어느 형식의 펌프에 해당하는가?
67. 토크컨버터에서 임펠러가 작동유에 준 토크를 Tp, 스테이터가 작동유에 준 토크를 Ts, 런너가 받는 토크를 Tt라고 할 때 이들의 관계를 바르게 표현한 것은?
68. 원심펌프 회전차 출구의 직경 450mm, 회전수 1200rpm, 유체의 유입각도(α1) 90°, 유체의 유출각도(β2) 25°, 유속은 12m/s일 때, 이론양정(m)은 얼마인가?
69. 진공펌프의 설치 목적에 대한 설명으로 옳은 것은?
70. 원심펌프의 원리와 구조에 관한 설명으로 틀린 것은?
71. 일반적인 베인 펌프의 특징으로 적절하지 않은 것은?
72. 어큐뮬레이터의 용도와 취급에 대한 설명으로 틀린 것은?
73. 상시 개방형 밸브로 옳은 것은?
74. 유압유의 점도가 낮을 때 유압 장치에 미치는 영향으로 적절하지 않은 것은?
75. 그림과 같은 유압기호가 나타내는 것은? (단, 그림의 기호는 간략 기호이며, 간략 기호에서 유로의 화살표는 압력의 보상을 나타낸다.)
76. 실린더 입구의 분기 회로에 유량 제어 밸브를 설치하여 실린더 입구측의 불필요한 압유를 배출시켜 작동 효율을 증진시키는 회로는?
77. 유압 회로에서 속도 제어 회로의 종류가 아닌 것은?
78. 기어펌프의 폐입 현상에 관한 설명으로 적절하지 않은 것은?
79. 감압 밸브, 체크 밸브, 릴리프 밸브 등에서 밸브시트를 두드려 비교적 높은 음을 내는 일종의 자려진동 현상은?
80. 그림과 같은 단동실린더에서 피스톤에 F = 500N의 힘이 발생하면, 압력 P는 약 몇 kPa이 필요한가? (단, 실린더의 직경은 40mm이다.)
5과목: 건설기계일반 및 플랜트배관
81. 타이어식 기중기에서 전후, 좌우 방향에 안전성을 주어 기중 작업 시 전도되는 것을 방지해 주는 안전장치는?
82. 일반적으로 지게차에서 사용하는 조향방식은?
83. 스크레이퍼의 흙 운반량(m3/h)에 대한 설명으로 틀린 것은?
84. 도로포장을 위한 다짐작업에 사용되는 건설기계는?
85. 아스팔트 피니셔에 대한 설명으로 적절하지 않은 것은?
86. 트랙터의 앞에 블레이드(배토판)을 설치한 것으로 송토, 굴토, 확토 작업을 하는 건설기계는?
87. 굴삭기를 주행 장치에 따라 구분하여 설명한 내용으로 적절하지 않은 것은?
88. 강재의 크기에 따라 담금질 효과가 달라지는 현상을 의미하는 용어는?
89. 모터 그레이더에서 사용하는 리닝 장치에 대한 설명으로 옳은 것은?
90. 열팽창에 의한 배관의 이동을 제한하는 레스트레인트의 종류가 아닌 것은?
91. 동력을 이용하여 나사를 절삭하는 동력나사 절삭기의 종류가 아닌 것은?
92. 15℃인 강관 25m가 있다. 이 강관에 온수 60℃의 온수를 공급할 때 강관의 신축량은 몇 mm인가? (단, 강관의 열팽창 계수는 0.012 mm/m·℃ 이다.)
93. 관 공작용 기계가 아닌 것은?
94. 주철관의 인장강도가 낮기 때문에 피해야 하는 관 이음방법은?
95. 배수배관의 구배에 대한 설명으로 틀린 것은?
96. 부식의 외관상 분류 중 국부부식의 종류가 아닌 것은?
97. 밸브를 나사봉에 의하여 파이프의 횡단면과 평행하게 개폐하는 것으로 슬루스 밸브라고 불리는 밸브는?
98. 배수관 시공완료 후 각 기구의 접속부 기타 개구부를 밀폐하고, 배관의 최고부에서 물을 가득 넣어 누수 유무를 판정하는 시험은?
99. 탄소강관의 내면 또는 외면을 폴리에틸렌이나 경질 염화비닐로 피복하여 내구성과 내식성이 우수한 관은?
100. 배관용 탄소강관의 설명으로 틀린 것은?
그리고, 단면적이 2cm2 이므로, 면적은 0.0002m2 이다.
따라서, 인장력은 Young's modulus x 면적 x 변화한 길이/원래 길이 = 200GPa x 0.0002m2 x 0.0096m/10m = 0.0384GPa = 38.4kN 이다.
따라서, 정답은 "38.4" 이다.