1과목: 실험계획법
1. 분산분석의 결과가 표와 같을 대 오차의 기여울(ρe)은 약 얼마인가?
2. 벼의 품종을 n개 블록으로 층별한 논에 따라 수확량의 차이가 있는가를 알아보기 위하여 서로 다른 4개 볍씨를 n개 블록의 논에 랜덤하게 심어서 실험을 하고자 하는 경우 가장 적절한 실험법은?
3. 인자가 A, B인 2원배치 실험에서 교호작용을 분리하려고 반복 2회 실험을 하였다. A의 자유도가 4이고, 교호작용의 자유도가 20이면 B의 수준수는?
4. 실험계획의 기본원리 중 오차항의 자유도가 커져 오차의 평균제곱(Ve)의 정도가 좋게 추정됨으로써 실험결과의 신뢰성을 높일 수 있는 것은?
5. 반복이 없는 2원배치 실험에서 결측치가 생겼을 때 결측치를 추정하는 데 사용하는 방법은?
6. 어떤 화학반응 실험에서 농도를 4수준으로 반복수가 일정하지 않은 실험을 하여 표와 같은 데이터를 얻었다. 분산분석 결과 오차의 평균제곱 Ve=167.253이다. A4와 A2의 평균치 차를 유의수준 0.01로 검정하고자 한다. 평균치 차가 약 얼마 이상일 때 평균치 차가 있다고 할 수 있는가? (단, t0.995(15)=2.947, t0.99(15)=2.602이다.)
7. 변량인자 A로 반복수가 같은 1원 배치 실험에 대한 설명으로 맞는 것은?
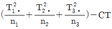
의 추정은 의미가 있다.8. 인자 A의 수준수가 3인 1원 배치 실험에서 반복수가 일정하지 않은 경우, 인자 A의 제곱합(SA)을 구하는 식으로 맞는 것은? (단, 각 i 수준에서 합계는 Tiㆍ, 반복수는 ni이며, 수정항은 CT이다.)




9. A는 4수준, B는 5수준 반복이 없는 2원 배치 실험의 분산분석 결과가 [표]와 같을 때, ㉠과 ㉡에 들어갈 값은 약 얼마인가? (단, 인자 A, B는 모두 모수인자이다.)
10. 라틴방격법에 관한 설명으로 맞는 것은?
11. 다음의 데이터는 기계 종류별로 생산된 제품들 중 각각 100개씩 샘플을 뽑아 적합품과 부적합품으로 구분한 것이다. 오차의 자유도 ve는?
12. 인자 A가 4수준, 인자 B가 3수준인 반복 없는 2원 배치 실험에서 유효반복수(ne)는? (단, A, B는 모두 모수인자이며, 분산분석 후 두 인자 모두 유의하였다.)
13. 다음은 모수인자 A, B에 대한 반복 없는 2원 배치 실험 데이터 및 분산분석표이다. 이 실험에 관한 내용으로 틀린 것은? (단, 실험의 품질 특성은 망대특성이다.)
(A3B1)=28이다14. 2준수계 직교배열표에서 L8(27)의 경우 실험횟수는 몇 회인가?
15. 모수인자 A가 4수준, 변량인자 B 3수준으로, 반복 없는 2원 배치 실험을 행하였을 때 인자 A의 기대평균제곱 E(VA)는?




16. 인자 A의 수준수를 4로 하여 각 수준마다 반복 4회의 실험을 랜덤한 순서로 행한 후, 분산 분석표를 작성하여 총 제곱합(ST)=7.35, 인자 A의 제곱합(SA)=3.87을 얻었다. 오차의 제곱합(Se)의 값은?
17. 윤활유 정제공장에서 온도(A), 원료(B), 부원료(C)에 대하여 각각 3수준의 라틴방격 실험 한 후 Xijk=xijk-40으로 수치변환한 결과가 다음 표와 같았다. 이때 인자 A의 제곱합(SA)은?
18. 인자 A는 3수준, 인자 B 4수준, 반복 2회의 2원 배치(모수모형) 실험을 행했을 때 수준조합 AiBj의 모평균의 추정에 관한 내용으로 맞는 것은? (단, A, B는 모수이다.)
이다.
이다.19. 기본표시가 [표]와 같은 LS(27)형 직교배열표에서 요인 A, B, C, D 를 순서대로 1, 3, 5, 7열에 배치한 경우 A×C 와 별명관계에 있는 요인은?
20. 1원배치 실험에 대한 단순회기 분산분석표가 표와 같을 때, 결정계수는 약 얼마인가?
2과목: 통계적품질관리
21. 대응되는 두 변수 X, Y에 대한 자료가 다음과 같을 때 공분산은 약 얼마인가?
22. 검사특성곡선에 관한 설명으로 틀린 것은? (단, N은 로트의 크기, n은 표본의 크기, c는 합격판정 개수, N>10n이다.)
23. 관리도에서 플로트(Plot)된 점의 변동을 표현하는 식으로 맞는 것은? (단,
은 군내변동,
은 구간변동, n은 표본의 크기이다.)




24. KS Q ISO 8422 : 2009 규격에서 hA=1.445, hR=1.855, g=0.1103인 100항목당 부적합수 검사를 위한 축차 샘플링 방식에서 누계 샘플 크기 중지 값은 얼마인가? (단, 대응하는 1회 샘플링 방식은 모른다.)
25. 다음 자료를 보고 회귀계수를 구하면 약 얼마인가?
26.
도에서 각 군의 평균치
때 사용되는 n 관한 설명으로 틀린 것은?
27. 관리도의 성능에 관한 설명 중 틀린 것은?
분군의 크기 n크면 이상상태를 발견하기 쉬워진다.
관리도에서 관리상한(UCL)은
로 결정된다.28. n=100의 데이터를 이용하여 히스토그램을 그리고, 규격과 대비하여 분석하고자 한다. 이때 얻어낼 수 없는 정보는?
: 표본 산술평균
: 모부적합품률의 추정치29. 공정 부적합품률이 0.10, 각 부분군의 크기(n)가 25일 때, 3σ관리한계를 이용하는 p관리도의 관리상한(UCL)과 관리하한(LCL)은?
30. 모분산의 검정과 추정에 대한 일반적 설명으로 틀린 것은?
31. 확률변수 X는 평균이 μ이고 분산이 σ2인 정규분포를 따른다. 이때,
은 어떤 분포를 따르는가?
32. 전수검사와 샘플링 검사에 대한 설명으로 틀린 것은?
33. 검정의 결과로 “유의차가 없다”고 했을 때 이 말을 맞게 표현한 내용은?
34. c관리도와 u관리도에 대한 설명으로 틀린 것은?
35. 최근 10개의 로트로부터 다음과 같은 검사기록을 얻었다. 공정평균 부적합품률은 약 얼마인가?
36. A사의 특정 공정에 대해 공정을 개선한 후 100단위당 부적합수를 조사하였더니 5개가 부적합수로 나타났다. 과거 100단위당 부적합수는 10개였다. A사의 특정 공정의 단위당 부적합수가 줄었다고 할 수 있는지 검정하고자 한다. 이때 검정 통계량은?
37. 학생 100명을 무작위로 추출하여 조사한 결과 80명이 현장근무를 원하였다. 현장근무의 선호율에 대한 95% 신뢰구간을 구하면 약 얼마인가?
38. 이항분포에서 정규분포로 근사시킬 수 있는 조건으로서 맞는 것은?
39. 헤드라이트를 생산하는 제조회사에서 1개월 동안 매일 상이한 개수의 표본을 수집하여 부적합품률을 조사하였다. 이 공정을 관리하는 데 적합한 관리도는?
40. KS Q 0001 : 2013 규격에서, 계량 규준형 1회 샘플링 검사방식 표준편차(σ) 기지일 경우, 로트의 평균치를 보증하는 경우에 G0 값은 약 얼마인가?(단, 표본의 크기 n=8, α=0.05, β=0.10,Kα=1.645 이다.)
3과목: 생산시스템
41. 작업분석 시 작업조건에 대한 개선사항으로 고려해야 될 사항 중 틀린 것은?
42. 설비보전사상의 발전과정으로 맞는 것은?
43. 자주보전 7스템 활동에 해당되지 않는 것은?
44. ABC 분석기법에서 A급 품목은 비용이 크고, 품목수가 적기 때문에 중점관리하여 재고비용을 단축시켜야 한다. A급의 품목의 재고비용을 감소시키는 방법이 아닌 것은?
45. 요소작업에 대한 시간을 관측하고자 할 때의 관측방법 중 비교적 긴 요소작업으로 구성된 작업측정에 가장 적합한 것은?
46. 한 공정에 한 사람이 작업하는 5개 공정의 작업시간이 각각 17분, 12분, 15분, 13분, 10분일 경우, 이 공정 전체의 라인밸런스 효율은 약 몇 %인가?(오류 신고가 접수된 문제입니다. 반드시 정답과 해설을 확인하시기 바랍니다.)
47. PERT의 각 활동에 있어서 시간추정치에 사용되는 분포는 무엇인가?
48. 재고 관련 비용 중 재고유지비(Holding Cost)에 해당되지 않는 것은?
49. 공정분석으로 달성하고자 하는 주된 목적이 아닌 것은?
50. 작업을 완료하기까지 작업시간이 가장 짧은 것부터 우선적으로 작업을 배치하는 방법은?
51. 설비배치의 형태 중 제품별 배치의 장점에 해당하는 것은?
52. 메모 모션 연구(Memo Motion Study)의 이점이 아닌 것은?
53. 집중구매와 비교한 분산구매의 장점을 나타낸 것으로 틀린 것은?
54. 고임금 · 저노무비 실현으로 기업이윤 증대라는 경영이념을 실천하고자 한 사람은?
55. JIT 생산방식에서 운영하는 관리방법이 아닌 것은?
56. R. M. Barnes 교수가 제시한 동작경제의 기본 3원칙 중 두 손의 동작은 같이 시작하고 같이 끝나도록 하여야 한다는 것은 어떤 원칙에 해당되는가?
57. 일정계획으로부터 생산의 합리화를 위해 고려할 사항이 아닌 것은?
58. 다품종 소량생산을 하는 제조업체에 FMS 도입한 후 얻을 수 있는 이점이 아닌 것은?
59. A자동차회사의 최근 5년간의 판매량이 다음과 같을 때 최소자승법에 의한 2016년도 예측판매량은 몇 대인가?
60. 다음 내용은 어떤 보전조직에 대한 것인가?
4과목: 품질경영
61. 국가적 표준의 대상이 아닌 것은?
62. 전사적 품질관리 활동의 일환으로 전원참여를 통하여 자기계발 및 상호개발을 행하고, QC수법을 활용하여 직장의 관리, 개선을 지속적으로 행하는 것은?
63. 일반적으로 과학기술계 표준은 크게 3가지로 구분할 수 있다. 3가지 구분에 포함되지 않는 것은?
64. 카노(Kano) 박사는 고객이 기대하는 품질관점에서 시장품질을 여러 가지 요소로 고찰하였다. 그 중 충족되면 만족을 주지만 충족되지 않으면 불만을 일으키는 품질요소는?
65. 규격이 75±3.5인 품질특성에 대한 공정의 모표준편차가 1.046으로 관리되고 있다. 이 공정의 공정능력지수(Cp)를 평가하면 몇 등급인가?
66. 다음 중 품질보증을 하기 위한 제품기획단계에서 제일 먼저 해야 할 것은?
67. 품질경영시스템-기본사항과 용어(KS Q ISO 9000 : 2015) 규격에서 제품에 해당하는 것이 아닌 것은?
68. 데이터를 간단히 수집할 수 있고, 계수치 데이터가 분류항목별로 어디에 집중되어 있는가를 알아보기 쉽게 나타낸 그림이나 표를 무엇이라 하는가?
69. 품질경영시스템-요구사항(KS Q ISO 9001 : 2015) 규격에 명시된 품질경영원칙이 아닌 것은?
70. 품질특성의 평균이 36.10mm이고, 표준편차가 0.03mm였다. 이 제품의 규격상한(U)이 36.20mm일 때 공정능력지수(CpkU)는 약 얼마인가? (단, 이 제품은 규격상한만 있다.)
71. 표준수 및 표준수 수열 사용 지침(KS Q ISO 17 : 2012) 규격에 관한 설명으로 틀린 것은?
72. 우리나라의 시험기관, 교정기관 검사기관 및 표준물질 생산기관 등 인정업무를 수행하고 있는 조직은?
73. 복잡한 요인이 얽힌 문제에 대하여 그 인과관계를 명확히 함으로써 적절한 해결책을 찾는 방법으로, 각 요인의 인과관계를 논리적으로 연결하여 적절한 문제해결을 이끌어내는 데 유효한 기법은 무엇인가?
74. 조직구성원들이 공유하고 있고 구성원 행동과 전체 조직행동에 기본 전제로 작용하는 기업교육의 가치관과 신념, 규범과 관습 그리고 행동패턴 등의 거시적 총체를 무엇이라 하는가?
75. QM추진팀의 역할에 해당되지 않는 것은?
76. 3정 5S에서 3정에 해당되지 않는 것은?
77. 사내표준화는 표준화의 목적, 강제력의 정도, 표준의 적용기간에 따라 분류된다. 표준화의 적용기간에 따라 분류된 것으로, 『적용 시작시기만이 명시된 표준으로 보통 대부분의 표준이 이에 속한다.』는 어떤 표준을 나타내는가?
78. 제품책임의 대책으로 제품개발에서 판매 및 서비스에 이르기까지 모든 제품의 안전성을 확보하고 적정 사용방법을 보급하는 것을 무엇이라고 하는가?
79. 검사용 표준장비를 운반차에 싣고 각 직장을 순회하면서 검사하는 방식은?
80. 품질경영이 필요한 이유에 해당되지 않는 것은?
처리 간의 분산은 각 처리의 오차제곱합을 자유도로 나눈 값으로 계산할 수 있습니다. 예를 들어, 처리 1의 오차제곱합은 2.5이고 자유도는 2이므로 처리 1의 분산은 2.5/2 = 1.25입니다. 이와 같이 처리 2와 처리 3의 분산을 계산하여 표에 추가하면 다음과 같습니다.
| 처리 | 제곱합 | 자유도 | 분산 |
|------|--------|--------|------|
| 1 | 2.5 | 2 | 1.25 |
| 2 | 5.0 | 2 | 2.50 |
| 3 | 7.5 | 2 | 3.75 |
| 오차 | 5.0 | 9 | 0.56 |
총 제곱합은 전체 제곱합을 자유도로 나눈 값으로 계산할 수 있습니다. 전체 제곱합은 모든 자료의 제곱합에서 자료의 개수를 곱한 값에서 각 처리의 제곱합을 빼면 구할 수 있습니다. 따라서, 전체 제곱합은 (2+4+6+8+10)²/15 - (2.5+5+7.5)²/5 = 30입니다. 총 제곱합은 전체 제곱합을 자유도로 나눈 값으로 계산할 수 있으므로, 총 제곱합은 30/14 = 2.14입니다.
따라서, 오차의 기여율은 각 처리의 분산을 총 제곱합으로 나눈 후 100을 곱한 값입니다. 처리 1, 처리 2, 처리 3의 분산을 총 제곱합으로 나눈 값은 각각 1.25/2.14, 2.50/2.14, 3.75/2.14입니다. 이를 각각 계산하면 0.586, 1.168, 1.746이 나오므로, 처리 1, 처리 2, 처리 3의 오차의 기여율은 각각 0.586/100, 1.168/100, 1.746/100입니다. 따라서, 처리 1, 처리 2, 처리 3의 오차의 기여율의 합은 0.586/100 + 1.168/100 + 1.746/100 = 3.5/100 = 0.035입니다. 이를 100으로 곱하면 3.5%가 되므로, 오차의 기여율은 76.67%입니다.