1과목: 실험계획법
1. 다음은 반복 없는 2요인실험의 분산분석표이다. 유의수준 0.05에서 가설 검정의 결과로 맞는 것은?
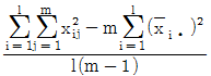
2. ℓ개의 수준에서 각각 m번 반복한 실험 결과인 xij에 대해 다음과 같은 모형을 설정하였다. 오차분산
의 추정값으로 맞는 것은? (단, eij~N(0,
이며, 서로 독립이다.)




3. 1요인실험의 단순회귀 분산분석표를 작성한 결과 다음과 같은 데이터를 얻었다. 나머지 회귀(Sr)의 값은?
4. 반복이 있는 모수모형 2요인실험을 하여 다음과 같은 분산분석표의 일부를 얻었다. 요차의 순제곱합(Se′)을 구하면?
5. ℓ개의 수준에서 반복수가 각각 mi(i=1, 2,1 … ℓ)인 변량모형의 1요인실험인 경우, 급내 분산의 불편분산의 추정값으로 맞는 것은?


6. 3×3라틴방격법 실험으로 A, B, C3요소인의 분산분석표를 작성하려고 할 때, 설명으로 맞는 것은?
이다.
이다.7. 반복이 있는 2요인실험(모수모형)의 경우 데이터의 구조식은? (단, μ는 총평균, ai는 Ai의 효과, bj는 Bj의 효과, (ab)ij는 교호작용 A×B 의 효과, eijk는 오차이다.)
8. 부적합품 여부에 대한 동일성에 관한 실험에서 적합품이면 0, 부적합품이면 1의 값을 주기로 하고 4대의 기계에서 나오는 200개씩의 제품에 대해서 부적합품 여부를 실험하여 그 결과로 아래와 같은 분산분석표를 구하였다. 다음 분산분석표의 일부자료를 이용하여 기계간의 부적합품률의 차에 관한 가설검정을 실시했을 때 판정기준으로 맞는 것은?
9. 직교배열표의 장점이 아닌 것은?
10. 요인 A, B가 각각 3수준, 4수준인 난괴법 실험을 하여 아래와 같은 분산분석표를 작성하였을 때, 요인 B에 대한 모분산의 추정치는 약 얼마인가? (단, A는 모수요인이며, B는 변량요인이다.)
11. 요인 A의 수준수 ℓ, 요인 B의 수준수 m, 각 반복수가 r인 반복이 있는 2요인실험에서 A와 B의 교호작용의 자유도는?
12. 다음은 철분에 함유된 함량을 측정한 데이터와 분산분석표이다. 유의수준 0.05로 μ(A1)을 구간추정하면 약 얼마인가? (단, t0.95(14)=1.761, t0.975(14)=2.145, t0.95(3)=.353, t0.975(3)=3.182이다.)
13. Y공장에서 제품의 인장강도를 높이기 위하여 요인 A를 온도로 채택하여 A1(120℃), A2(140℃), A3(160℃), A4(180℃)로 하고, 각 수준의 반복수를 4회로 실험하였더니 요인 A가 고도로 유의적이었다면, 아래의 데이터를 보고
를 신뢰율 95%로 구간 추정하면 약 얼마인가? (단, t0.975(12)=2.179, t0.975(15)=2.131, t0.95(12)=1.78이다.)
14. 아래의 LS(27)형 직교배열표에서 3열과 5열에 주효과 A와 B를 배치한다면 교호작용이 나타나는 열은 몇 열인가?
15. 채택된 모수요인으로서 몇 개의 수준을 설정하고, 그 가운데서 최적의 수준을 선택한 후 평균의 해석을 위해 취한 요인은?
16. 다음은 모수요인 A(2수준)와 모수요인 B(2수준)를 반복 없는 2요인실험한 결과를 나타낸 것이다. 요인 B의 제곱합(SB)은 약 얼마인가?
17. 다음은 반복수가 일정하지 않은 1요인실험의 분산분석표이다. F0(검정통계량)의 값은 약 얼마인가?
18. 반복 없는 2요인실험을 하는데 결측치가 1개 있어 Yates의 방법으로 계산하여 추정한 후 분석을 실시하였다. 요인 A가 4수준, 요인 B가 3수준이라면 총자유도는 얼마인가?
19. 반복이 없는 2요인실험인 경우의 A는 모수요인이고, B는 변량요인이라고 할 때, 설명 중 틀린 것은?
)를 따른다.
이고, 변량요인이 경우
0이다.20. 라틴방격법의 특징이 아닌 것은?
2과목: 통계적품질관리
21.
인 경우 시료 1개를 샘플링하여 2회 측정했을 때, 평균치의 분산(
)은 얼마인가? (단,
=샘플링 오차분산,
=분석 오차분산이다.)
22. 시료부적합품률(p)을 활용하여 모부적합품률(P)의 양측 신뢰구간을 추정하려고 할 때, 신뢰구간의 하한값을 구하는 계산식은? (단, n은 충분히 크고 정규분포를 따른다.)




23. ∑c=260, ∑n=52, n=10으로부터 계산한 u관리도의 UCL값은 약 얼마인가?
24.
관리도에서 관리계수 (Cf)가 1.6인 경우 공정의 관리상태를 추정한 것으로 맞는 것은?
25. 표준값이 주어져 있지 않은 경우 n=5일 때, s관리도를 작성하기 위한 계수 B4는 약얼마인가? (단, n=5일 때, d2=2.326, d3=0.864, c4=0.9400, c5=0.3412이다.)
26. 어떤 공정의 제품 중 30개를 샘플로 취하여 데이터를 조사해보니 x=60.35, s=6.20이었다. 변동계수는 약 얼마인가?
27. np관리도의 데이터시트에서 다음 값을 얻었다. np관리도의 UCL값은 약 얼마인가?
28. 검사특성곡선에 관한 설명으로 틀린 것은? (단, N은 로트의 크기, n은 시료의 크기, c는 합격판정개수이고, N/n≥10이다.)
29. 모상관계수를 ρ, 표본상관계수를 r이라 할 때, H0:ρ=0를 검정하기 위한 검정 통계량은?




30. 이항분포에 바탕을 둔 관리도로만 구성된 것은?
31. M성분의 평균치가 97% 이상인 로트는 합격시키고 94% 이하인 로트는 불합격으로 하고 싶다. 로트의 표준편차σ=2.0%, α=0.05, β=0.10을 만족하는 시료의 크기 n은 얼마인가? (단, Kα=1.645, Kβ=1.282이다.)
32. χ2분포가 적용되는 경우로 맞는 것은?
33. 확률에 관한 사항 중 틀린 것은?(오류 신고가 접수된 문제입니다. 반드시 정답과 해설을 확인하시기 바랍니다.)
34. 어떤 모집단에서 랜덤하게 시료를 5개 뽑아 측정한 결과 표본평균이 4.82, 표본의 분산이 0.822로 나타났다. 모평균(μ)의 95% 신뢰구간은 약 얼마인가? (단, t0.975(4)=2.776, t0.95(4)=2.132, t0.975(5)=2.571, t0.95(5)=2.015이다.)
35. 계수형 샘플링검사 절차-제1부:로트별 합격품질한계(AQL)지표형 샘플링검사 방안(KS Q ISO 2859-1:2014)에서 수월한 검사가 보통 검사로 전환되는 경우에 해당되지 않는 것은?
36.
관리도에서
관리도의 관리한계에 대한 설명으로 틀린 것은? (단, 기준값이 주어지지 않은 경우이다.)




37. 검사의 목적이 아닌 것은?
38. 통계적 검정을 하여 위험률 5%로 유의하다는 결론을 얻었다면 이와 의미가 동일한 것은?
39. 푸아송분포(Poisson distribution)를 적용하는 데 적합하지 않은 것은?
40. 모분산의 기각역에 대한 설명으로 틀린 것은?
이면,
을 만족하면 H0 기각한다.
이면,
을 만족하면 H0 기각한다.
이면,
을 만족하면 H0 기각한다.
이면,
또는
이면 H0 기각한다.3과목: 생산시스템
41. 시간연구법에서 레이팅(rating) 또는 수행도 계수에 관한 설명으로 가장 적절한 것은?
42. 작업장의 배치에 있어서 다음 그림의 빗금 친 부분과 같이 작업자의 양팔의 상완을 몸통에 자연스럽게 붙이고 작업대 위에 부채꼴 형태의 원을 그릴 때 그 내부작업 영역을 무엇이라고 하는가?
43. 분산구매의 특징이 아닌 것은?
44. 공장 내의 설비, 기계 등을 가장 효율적으로 배치, 배열하기 위한 장기적인 생산관리의 설계기능 중 하나는?
45. 단속생산시스템에 관한 설명으로 틀린 것은?
46. 1일 부하시간이 460분, 1일 가동시간이 400분, 1일 생산량을 300개라 할 때 성능가동률은 얼마인가? (단, 이론사이클타임:0.5분/개, 실제사이클타임:0.8분/개이다.)
47. 타이어를 만드는 공장에서 특정 부품에 대한 연간수요는 4,000개, 일회 주문비용은 2,000원, 연간단위당 재고유지비용은 100원으로 추산된다. 주문리드타임이 5일이라면 경제적 주문량(EOQ)은?
48. 설비고장이 발생하기 전에 미리 점검 내지 보전활동을 하는 방식은?
49. 두 개의 공정기호를 이용하여 조립의 순서를 표시하는 작업공정도(operation processchart)에서 사용하는 공정기호는 어느 것인가?
50. 다음은 단순이동평균법을 설명한 내용으로 괄호 A, B에 들어갈 내용으로 맞는 것은?
51. 1일 생산량이 1,000개이고, 실동시간은 400분이며, 최종 공정부적합품률은 5%이다. 피치타임은 약 몇 분인가?
52. MRP시스템의 적용이 가장 효과적인 경우는?
53. PERT기법에서 낙관적 소요시간을 a, 비관적 소요시간을 b, 정상적 소요시간을 m이라고 하면, 어떤 작업에 대한 기대평균시간(expected time)은?




54. 통제단계에서 실제의 능력과 부하를 조사하여 양자가 균형을 이루도록 조정하는 것은?
55. A, B, C, D 4개의 작업은 모두 공정1을 먼저 거친 다음에 공정2를 거친다. 최종작업이 공정2에서 완료되는 시간을 최소화하기 위한 존슨의 방법에 의한 작업순서로 맞는 것은?
56. 작업자에 의해 수행되는 각각의 작업내용에 주안점을 두고 작업의 효율적 요소와 비효율적 요소를 심도 있게 분석하는 방법은?
57. JIT(Just In Time)의 특징이 아닌 것은?
58. 생산ㆍ재무ㆍ유통ㆍ인사ㆍ회계 등의 정보시스템을 하나로 통합하여 기업의 모든 자원을 운영관리하는 시스템은?
59. 포드 시스템에 해당되는 것은?
60. 시간연구법에서 작업 측정 시 스톱워치의 사용법에 대한 설명으로 틀린 것은?
4과목: 품질경영
61. 공차가 같은 5개의 부품을 조립하였을 때, 조립품의 공차가 ±0.785였다. 각 부품의 공차는 약 얼마인가?
62. 목표를 달성하기 위해 필요한 수단과 방책을 계통적으로 작성함으로써 목표달성을 위한 최적수단을 추구해 나가는 방법은?
63. 기업의 6시그마 개선 프로젝트에 대한 추진 리더로서 혁신활동에 전념하는 추진요원은?
64. 생산기업의 표준화 실시가 고객에게 미치는 효과로 가장 거리가 먼 것은?
65. 품질에 대한 책임은 전 부서의 공동책임이기 때문에 무책임이 되기 쉽다. 이에 각 부서별로 품질에 대해 책임지는 업무 내용으로 틀린 것은?
66. 부주의, 착각 등에 의해 실수가 발생하지 않도록 또는 실수가 생기더라도 곧 알 수 있도록 하는 구체적이고 기계적인 방지책은?
67. 사내표준화의 요건에 관한 설명으로 틀린 것은?
68. 사내계측관리 전개방법 중 집중관리방식의 특징이 아닌 것은?
69. 품질특성은 참특성과 대응특성으로 나누어진다. 참특성을 설명한 것으로 맞는 것은?
70. 수집된 자료 하나 하나의 관측값들을 나타내면서 자료의 분포를 보여줄 수 있는 장점을 가지고 있는 것은?
71. 품질비용에 관한 설명으로 틀린 것은?
72. 국가규격의 약어가 아닌 것은?
73. 규격의 폭을 T, 표준편차를 라고 할 때, 공정능력지수(CP)를 바르게 표현한 것은?
74. 계량의 기본단위에 대한 설명으로 틀린 것은?
75. 현실적인 면에서 실현되는 실제 운전상태의 현실능력으로 시간적 변동 이외에, 원재료나 작업자의 대체 등으로 기인하는 변동까지 고려한 공정능력은?
76. 고객 및 고객만족경영에 관한 설명 중 틀린 것은?
77. 제조물 책임 방어(PLD) 대책 중 PL사고 발생 전에 수립하는 대책으로 볼 수 없는 것은?
78. 품질평가 시 시장에 대한 적합성, 사회에 대한 적합성, 기업능력에 대한 적합성 등에 대해 평가하는 단계는?
79. 품질경영의 발전단계로 맞는 것은?
80. 표준의 서식과 작성방법1(KA A 0001:2015)의 표준의 종류에서 “어떤 표준을 적용하는데 있어서 참조하는 편이 좋은 표준(국제표준, 국가표준, 단체표준 등) 및 기타 문서”를 의미하는 표준을 무엇이라고 하는가?