1과목: 침투탐상시험원리
1. 후유화성 침투탐상시험시 다음 중 어느 것이 유화시간을 초과하였을 때 주로 생기는 결과인가?
2. 침투제 적용후 다음 유화처리 또는 세척처리를 개시할 때 까지의 시간을 무엇이라 하는가?
3. 다른 침투탐상시험과 비교하였을 때 염색침투탐상시험의 장점으로 옳은 것은?
4. 침투탐상시험시 유화제의 기능에 관한 설명은?
5. 침투탐상시험시 침투액이 시험체 표면을 적시는 적심성은 어느 것과 가장 관계가 깊은가?
6. 눈으로 관찰될 수 있는 지시의 분별정도는 색채대비 비율값으로 표시되곤 하는데 이 비율은 어느 것을 근거로 한것인가?
7. 다음 중 침투탐상시험으로 검출되지 않는 결함은?
8. 다음은 침투탐상시험의 일반적인 특성을 설명한 것이다. 옳지 못한 것은?
9. 침투탐상시험시 결함지시를 확대하여 관찰하기 위한 목적으로 고안된 시험방법은?
10. 다음 중 침투탐상시험으로 검사할 수 없는 시험품은?
11. 수세성 형광침투액 내에서의 오염된 물의 영향이 아닌 것은?
12. 다음 중 모세관현상을 결정하는 요인에 해당되지 않는 것은?
13. 수세성 침투탐상시험시 잉여 침투액을 세척하는데 일반적으로 널리 사용하는 방법은?
14. 다음은 자외선등에 대한 설명이다. 틀린 것은?
15. 다음 침투탐상 시험결과의 신뢰성을 높여주기 위해 취한조치 중 잘못된 것은?
16. 액체의 점성을 나타내는 SI계의 단위는?
17. 다음 중 침투탐상검사를 시행하기에 가장 적절한 시기는?
18. 다음 중 침투제의 감도에 영향을 주는 오염물질로 볼 수 없는 것은?
19. 다음 결함 중 침투탐상시험으로 검출이 안되는 것은?
20. 다음 중 최종 가공이 완료된 후 나타날 수 있는 불연속은?
2과목: 침투탐상검사
21. 다공성의 세라믹 재료로써 고온에 방치되었던 제품의 검사 방법으로 효과적인 것은?
22. 침투탐상시험할 때 다음 중 조작이 가장 간단한 방법은?
23. 제작 현장에서 다음의 침투제 중 용접부에 가장 많이 적용되는 방법은?
24. 후유화성 형광침투액에 비해 수세성 형광침투액의 장점은?
25. 주조품을 검사할 때 두께차이가 큰 부분에 찢어진 형태의 선형지시가 나타났다. 검출된 지시의 예상되는 불연속 종류는?
26. 수세성 형광침투제와 건식 현상제를 사용하는 시험절차를 바르게 연결한 것은?
27. 다음 중 거친 면의 시험체에 적합한 침투탐상시험은?
28. 다음 중 자외선조사 장치의 전구 수명을 단축시키는 주원인은?
29. 침투탐상 시험결과 균열지시의 일반적인 모양은?
30. 침투탐상시험에 사용되는 건식현상제의 품질을 평가하기 위한 시험은 일반적으로 어떻게 하는가?
31. 형광침투탐상시험에서 시험품 표면을 건조하기 위한 건조처리에 쓰이는 장치로 가장 적합한 것은?
32. 후유화성 형광침투제 및 습식현상제를 사용하여 반거치식으로 침투탐상검사시 건조기의 위치로 적합한 곳은?
33. 침투탐상에 사용되는 알루미늄 대비시험편에 대한 설명으로 틀린 것은?
34. 수세성 침투탐상시험시 침투시간후 과잉 침투제를 제거하는 방법으로 바람직한 것은?
35. 비수세성 침투제와 수세성 침투제의 큰 차이는?
36. 침투탐상시험시 사용되는 자외선등의 파장범위를 옳게 나타낸 것은?
37. 형광침투액을 사용할 때 자외선조사 등이 필요한 이유는?
38. 후유화성 형광침투탐상시 다음 중 세척단계에서 과잉 세척을 방지할 수 있는 가장 효과적인 방법은?
39. 과잉침투제의 제거 방법에 따라 수세법, 용제제거법, 후 유화법으로 나눌 때, 용제제거법에 쓰이는 솔벤트로 과잉 침투제를 제거하는 적절한 방법은?
40. 침투제의 성능을 가늠하는 두가지의 중요한 특성치 중에서 적심성이 의미하는 뜻은?
3과목: 침투탐상관련규격
41. KS B 0816에 의한 현상시간의 설명으로 올바른 것은?
42. 서버를 직접 운용할 수 없는 중소기업이나 개인이 서버의 일부분을 임대하여 웹 사이트를 운영하도록 하는 서비스는?
43. MIL 규격에 따라 형광침투탐상시험을 할 때 허용되는 주위의 최대 밝기는?
44. 다음 도메인 이름 중에서 기관식별코드가 교육기관에 속한 사이트의 이름으로 맞는 것은?
45. 다음 중 컴퓨터간의 통신을 위한 소프트웨어는?
46. 다음 중 파워포인트에서 제공하는 화면 전환 기능이 아닌 것은?
47. PC의 바이어스(BIOS)에 대한 설명으로 올바른 것은?
48. KS B 0816에 따른 현상제의 적용에 대하여 잘못 설명된 것은?
49. KS B 0816에 규정된 침투시간의 설명 중 틀린 것은?
50. ASTM E 165에서 Method C, Type I 방법이란 무엇을 뜻하는가?
51. KS B 0816에 의한 침투탐상 시험방법 및 침투지시모양의 분류에서 기록하는 방법에 해당되지 않는 것은?
52. KS B 0816에 의거 침투탐상시험 결과 거의 동일 직선상에 두 개의 선모양 흠이 각각 3㎜와 1.5㎜가 확인되었다. 흠상호간의 거리가 3㎜로 측정되었다면 다음 중 알맞는 내용은?
53. 다음 중 ASME Sec.Ⅷ Div.1에서 규정하고 있는 침투탐상시험시 평가 대상에서 제외되는 결함 지시는?
54. ASME Sec.V Art.6에 따라 수세성 침투제는 과잉 침투액을 물로 제거한다. 이 때 수압 및 수온을 설명한 것으로 맞는 것은?
55. ASTM E 165에 의해 침투탐상검사를 수행하는 경우 시험상에서의 A-3가 뜻하는 것은?
56. KS B 0816에서 탐상후 최초의 관찰에 대하여 설명한 것중 틀린 것은?
57. KS B 0816에 의해 침투탐상시험을 수행하는 경우 모든 시험을 수행하고 난 후 시험보고서를 작성하고자 한다. 시험체의 정보에 대하여 기록할 사항이 아닌 것은?
58. 침투탐상시험시 표면 상태는 검사에 중요한 요소이다. ASME code에서 표면의 전처리 방법중 불연속의 변형으로 시험결과의 감도 저하를 우려하고 있는 것은?
59. KS B 0816의 흠의 분류에서 독립된 흠으로 규정되어 있지 않은 것은?
60. 침투탐상검사의 흠 분류를 KS B 0816에 따라 한다면 다음 중 맞지 않은 것은?
4과목: 금속재료 및 용접일반
61. 스테인리스강의 미그(MIG) 용접에서 사용되는 보호가스(Shielding gas)로 가장 적합한 것은?
62. 용접봉 기호 E 4316 에서 E 의 의미로 가장 적합한 것은?
63. 탄소강 중에 함유되어 인장강도, 탄성한계, 경도를 상승시키며 연신율과 충격값을 감소시키는 것은?
64. 열전대용 합금이 아닌 것은?
65. 심용접의 종류 중 심부의 겹침을 모재 두께 정도로 하여 겹쳐진 폭 전체를 가압하여 결합하는 방법은?
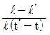
66. 아크전류가 200A, 아크전압 25V, 용접속도 15cm/min일 때 용접 단위길이 1cm당 발생하는 용접입열은 얼마인가?
67. 후크의 법칙이 적용되는 한계는?
68. 외적 구속이 없고 주변이 자유인 맞대기 용접이음의 잔류응력 분포에서 가장 큰 잔류응력을 가진 부분인 것은?
69. 온도 t℃에서 길이 ℓ 인 봉을 온도 t′℃로 올릴 때 길이가 ℓ′로 팽창했다면 이 때의 열팽창 계수는?




70. 다음 원소 중 비중이 가장 큰 것은?
71. 금속에 대한 설명 중 틀린 것은?
72. 청정효과(cleaning action)는 금속표면의 산화 피막을 자동적으로 제거하는 특성으로 다음 중 어느 용접에서 가장 많이 생기는 효과인가 ?
73. 구조용 복합 재료에서 FRM이란?
74. 표면의 균열, 홈, 핀홀(pin hole) 등 결함에 대하여만 유효한 방법으로 특히 비자성 재료의 표면검출에 효과가 있으며, 육안으로 결함의 크기를 식별할 수 있는 검사법은?
75. 가스 용접시 팁 끝이 순간적으로 막히면 가스의 분출이 나빠지고 토치의 가스 혼합실까지 불꽃이 도달되어 토치가 빨갛게 달구어지는 현상을 무엇이라 하는가?
76. 열팽창 계수가 대단히 적고 내식성도 좋아 표준척, 시계추, 바이메탈 등에 사용되는 합금은?
77. 오스테나이트계 스테인리스강의 특징이 아닌 것은?
78. 아크용접에서 직류 정극성으로 용접할 경우 모재의 용입에 대한 역극성과의 비교 설명으로 올바른 것은?
79. 전기동을 진공이나 무산화분위기에서 정련 주조한 것으로 진공관 또는 전자기기용으로 사용되는 것은?
80. 맞대기 용접에 대한 필릿 용접이음의 비교 설명으로 틀린 것은?