1과목: 비파괴검사 개론
1. 초음파탐상시험의 장점이 아닌 것은?
2. 홀효과를 이용하는 비파괴검사법은?
3. 다음 비파괴검사 방법 중 결함의 형상을 추정하기 곤란한 검사방법은?
4. 누설검사를 계획하거나 시방서를 작성할 때 이용할 누설검사의 선택에서 가장 먼저 생각할 점은?
5. 방사선투과시험에서 반가층이란?
6. 일반적으로 특수강에 첨가되는 특수원소의 효과에 대한 설명으로 틀린 것은?
7. Fe의 비중과 용융점으로 옳은 것은?
8. 철-탄소 평형상태도에서 공정반응의 온도로 옳은 것은?
9. 충격시험에 대한 설명으로 옳은 것은?
10. 다이캐스팅용 재료로 가장 적합한 것은?
11. WC분말과 Co분말을 압축성형한 후 약 1400℃로 소결시켜 바이트와 같은 공구에 이용되는 합금은?
12. 오스테나이트계 스테인리스강의 특성에 관한 설명 중 틀린것은?
13. 가장 높은 온도를 측정할 수 있는 열전대 재료는?
14. 단결정을 이용한 직접회로용 금속재료로 전자적 성능이 가장 좋은 원소는?
15. Cartridge brass에 대한 설명으로 틀린 것은?
16. 불활성가스 텅스텐 아크용접(TIG용접)에서 아크쏠림 현상이 일어나는 원인이 아닌 것은?
17. 용접 비드의 가장자리에서 모재 쪽으로 발생하는 균열은?
18. 그림과 같은 필릿용접에서 용접부의 이론 목두께는 약 몇 mm인가?
19. 서브머지드 아크용접의 특징에 대한 설명으로 옳은 것은?
20. 저수소계 피복아크 용접봉의 건조온도 및 건조시간으로 다음 중 가장 적합한 것은?
2과목: 방사선투과검사 원리
21. 방사선투과사진의 촬영에서 계조계의 값을 더 높일 수 있는 방법으로 옳은 것은?
22. 정격전압160kV X선 발생장치로 부터의 누설선 조사선량율은 얼마이하이어야 하는가?
23. 방사선 투과검사에서 상질지시계(IQI)를 사용하는 주된목적은?
24. 방사선의 피폭에 의해 장해의 심각성이 피폭선량에 따라달라지며 발단선량이 존재하는 것을 비확률적 장해라 한다. 다음 중 이에 속하지 않는 장해는?
25. X선관의 표적물질로 사용되는 재질의 성질로 옳지 않은 것은?
26. 방사선투과검사 결과 결함과는 무관한 검고 날카로운 새발 모양이 불규칙하게 필름에 나타났다. 이 원인으로 볼 수 있는 것은?
27. 방사선의 흡수선량을 나타내는 단위로, 물질 1g당 100erg의 에너지를 흡수하는 방사선의 양을 표시하는 것은?
28. 투과광이 입사광의 1/5이 되는 필름의 농도(D)는 약 얼마인가?
29. 다음 중 방사선투과사진의 상질 구비조건이 아닌 것은?
30. 방사선 체외피폭의 주용 방지대책으로 옳지 않은 것은?
31. 다음중 ɤ선과 물질과의 상호작용이 아닌 것은?
32. 방사선투과시험에 요구되는 인자 중 기하학적 불선명도에 대한 설명으로 옳은 것은?
33. 방사선의 흡수계수에 관한 설명 중 틀린 것은?
34. 다음 중 감마선 조사기를 사용할 때의 주의 사항이 아닌 것은?
35. 다음중 SI 단위인 1시버트(Sv)에 해당되는 것은?
36. 산란방사선의 영향을 줄이기 위해 필요한 장비에 속하지 않는 것은? (문제 오류로 실제 시험에서는 모두 정답처리 되었습니다. 여기서는 1번을 누르면 정답 처리 됩니다.)
37. 선원으로부터 임의의 거리 d에서 엑스선속에 대한 수직단면적을 S라 할 때 그 점에서 엑스선의 강도 I의 설명으로 옳은 것은?
38. 다음 방사성 동위원소중 반감기가 가장 짧은 것은?
39. 원자번호가 같고 질량수가 다른 핵종을 무엇이라 하는가?
40. Bunsen-Roscoe의 상호법칙에 의한 광화학반응에 관한 설명으로 옳은 것은?
3과목: 방사선투과검사 시험
41. 두께의 차이가 아주 심하거나 형상이 복잡한 주물 등을 방사선 투과검사 할 때 종종 사용되고 있는 X선 차폐액의 주성분으로 옳은 것은?
42. 필름의 특성곡선은 다음중 언제 직접적으로 필요한가?
43. 방사선투과사진의 판독시 상질을 결정하기 위해 필름상에 표시되어야 하는 사항은?
44. 방사선 물질의 방사선투과검사법으로 틀린 것은?
45. 방사선투과사진의 인공결함 중 현상 후 사진상에 안개현상과 같이 뿌옇게 되는 이유는?
46. 노출된 방사선 투과사진의 현상과정중 정착처리에 관한사항으로 틀린 것은?
47. X선을 이용한 방사선투과검사에서 필름의 선원쪽에 납스크린을 붙여 촬영하는 주 된 이유는?
48. 필름과 선원과의 거리가 50cm일 때 노출시간 10분이 적합하다면 거리를 25cm로 하였을때의 적합한 노출시간은?
49. 다음 중 미세 수축공은 어떤 제품에서 발견되는가?
50. 다음 방사성 동위원소중 반감기가 가장 긴 것은?
51. 다음중 방사선투과검사에서 명료도에 영향을 미치는 인자와 거리가 먼 것은?
52. 다음중 방사선투과사진의 명료도를 좋게 하기 위한 방법에 속하지 않는 것은?
53. 방사선투과검사에 의한 결함깊이 측정법의 설명으로 옳은 것은?
54. 양극의 표적면은 어떤각도로 기울어져 있어 전자의 충격을 받는 부위에 비해 방사방향의 표적의 크기가 작게된다. 이를 무엇이라 하는가?
55. 산화납으로 코팅된 납스크린을 필름과 함께 넣고 밀봉한 형태의 필름에 관한 설명으로 틀린 것은?
56. 방사선투과검사를 할 때 사용되는 투과도계의 주된 용도는?
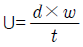
57. 방사선투과시험에서 한 개의 카세트에 감광속도가 서로 다른 여러장의 필름을 사용하는 주된 목적은?
58. 필름 현상처리 과정 중 정지처리에 관한 설명으로 틀린 것은?
59. 이동방사선투과검사에서 이동불선명도를 나타내는 식으로 옳은 것은? (단, U=이동불선명도, t=시험체의 두께, w=튜브의 이동방향으로 측정한 선원쪽에서의 방사선 빔폭, d=선원-시험체간의 거리이다.)




60. 용접부의 방사선투과검사를 할 때 투과사진에 나타나는 결함의 형태가 틀린 것은?
4과목: 방사선투과검사 규격
61. 방사선량율이 0.2mSv/h인 곳에서 방사선작업을 하는 종사자의 경우 허용할 수 있는 주당 작업시간은? (단, 연간선량한도는 20mSv, 1년은 50주, 1주는 40시간으로 한다.)
62. 원자력 관계시설이나 방사성물질 등을 취급해서는 안되는 제한 연령은?
63. 비파괴검사 목적 이동사용시의 허가기준에서 방사선 측정장비의 수량으로 옳은 것은?
64. 다음방사선의 물리량과 단위의 연결이 틀린 것은?
65. 방사선에 대한 내부피폭으로부터 인체를 방어하는 가장 기본적인 방법은?
66. 강용접 이음부의 방사선투과 시험방법(KS B 0845)에서 결함의 종류 중 그 결함이 용접 이음부의 강도 저하에 미치는 영향을 설명한 것으로 틀린 것은?
67. 보일러 및 압력용기에 대한 방사선투과검사(ASME Sec.V Art.2)에서 X선 투과사진 농도의 허용범위는? (단, 단일 필름이다.)
68. ASME Sec.Ⅷ에 의거하여 발췌검사를 할 경우에 관한 설명중 옳은 것은?
69. 보일러 및 압력용기에 대한 방사선투과검사(ASME Sec.V Art.2)에 따라 유공형 투과도계를 사용시 투과사진의 농도가 투과도계 본체를 통과한 투과사진 농도의 –15%이내에 들도록 필요한 경우 방사선투과 성질이 유사한 재질의 심을 시험체와 투과도계 사이의 위치시켜야 한다. 이때 심의 크기로 적당한 것은?
70. 강용접이음부의 방사선투과 시험방법(KS B 0845)에서 투과사진에 둥근 블로홀 및 가는 슬래그 혼입이 혼재되어있을 때의 결함분류의 설명으로 틀린 것은?
71. 방사선 안전관리상 오염 및 누출관리를 위해 방사성물질등의 운반과정에 있어서 표면에서의 방사선량율이 얼마를 초과하는 경우, 운반수단, 장비 및 관련 부속물을 가능한 한 신속하게 제염하여야 하는가?
72. 방사선의 강도는 선원으로부터의 거리에 따라 달라진다. 옳게 설명한 것은?
73. 강용접 이음부의 방사선투과 시험방법(KS B0845)에서 모재두께가 20mm이하일 때 사용되는 계조계의 종류는?
74. ASME Sec.V에서 적용되고 있지 않은 비파괴검사법은?
75. 방사선이 인체에 미치는 영향 중 확률적 영향에 해당되는 것은?
76. 다음중 1Bq과 같은 것은?
77. 원자력법에서 정한 피부 침 손, 발에 대한 방사선작업종사자의 연간등가선량 한도는?
78. 강용접 이음부의 방사선투과 시험방법(KS B 0845)에 따라 모재 두께 50mm인 용접부에 발생한 2종 흠(결함)을 분류할 때 10mm의 융합불량에 대한 올바른 분류는?
79. 보일러 및 압력용기에 대한 표준방사선투과검사(ASME Sec. V.Art.22 SE-94)에서 63.5mm 두께의 철을 검사한다면 2-2T에 해당하는 투과도계의 두께는?
80. 강용접 이음부의 방사선투과 시험방법(KS B 0845)에 따라 강관의 원둘레 용접이음부를 내부선원 촬영방법으로 원둘레를 동시 촬영할 경우 투과도계 및 계조계 촬영배치 방법으로 옳은 것은?
내부조직의 입도가 크고 기포가 많은 부품 등의 탐상에 유용한 이유는, 초음파가 공기나 기포 등의 경계면에서 반사되기 때문입니다. 따라서 내부에 기포가 많은 부품이나 두꺼운 단면을 갖는 부품의 깊은 곳에 있는 결함도 용이하게 검출할 수 있습니다. 또한, 결함으로부터의 지시를 곧바로 얻을 수 있어 검사 시간이 단축되는 장점도 있습니다.