1과목: 디지털전자회로
1. LC 동조 발진기에 비해 수정 발진기의 특징으로 잘못 설명한 것은?
2. 전압이득이 50인 저주파 증폭기가 약10[%] 정도의 왜율을 가지고 있다. 이를2[%] 정도로 개선하기 위하여 걸어 주어야 하는 부궤환율 β은 얼마 이어야 하는가?
3. 다음 회로에서 R =1[㏁], R =4[㏁]일 때 전압증폭도 A는 얼마나 되는가? (단, 연산증폭기는 이상적이다.)
4. J-K 플립플롭에서 Jn = 0, Kn = 1일 때 클록펄스가 1 상태라면 Qn+1 의 출력상태는?
5. 그림과 같은 에미터 저항을 가진 CE 증폭기에서 에미터 저항 RE의 가장 중요한 역할은 무엇인가?
6. JK 플립플롭을 이용하여 D형 플립플롭을 만들려면?
7. 토글 플립플롭(Toggle-F/F)을 2단 직렬 연결한 후 입력에 4[㎑] 펄스를 인가하면 출력은?
8. 슈미트 트리거(Schmitt trigger) 회로의 용도 설명중 틀린 것은?
9. 다음 중 디지털변조방식에 속하지 않는 것은?
10. 다음 불 대수의 정리 중 옳지 않은 것은?


"이다. 이는 분배법칙의 역이 아니기 때문이다. 분배법칙의 역은 "
"이다. 즉, "(A + B)(A + C) = A + B · C"이다.11. D 플립-플롭을 이용하여 그림과 같은회로를 구성하고, 클럭(clk) 단자에 5[㎑] 클럭 펄스를 인가하였다. 동작 시작단계에서 Q출력을 +5[㎑]로 하였다면 출력은?
12. 전가산기의 출력(S : 합, Co : 캐리출력)에서 S=Co 가 되기 위한 입력 A, B, Ci(캐리입력) 조건은?
13. 실리콘 제어정류소자(SCR)의 전류-전압 특성곡선은?




"이 정답입니다.14. 반송파전압 eS =EScos(wSt+θ)를 신호전압 ec=Eccos wct로 진폭변조시 피변조파의 상측파대의 진폭은? (단, ma : 변조도)
15. 에미터 접지 트랜지스터에서 동작점의 안정화를 위한 대책을 가장 적절하게 설명한 것은?
16. 다음 논리식 중 좌우 항의 관계가 틀린 것은?




" 은 좌항과 우항이 모두 참이 되는 경우에만 전체가 참이 되는데, 이는 다른 보기들과 달리 좌항과 우항이 모두 참이 되지 않는 경우에도 전체가 참이 되는 것이다. 따라서 "
" 이 정답이다.17. 결합상태가 DC(직류)로 구성된 멀티바이브레이터는?
18. 다음 중 LC발진기에서 일어나는현상이 아닌 것은?
19. 그림에서 병렬공진회로의 공진주파수가 5[㎒]이다. 입력주파수가 5[㎒]일 때 콜렉터 전류는?
20. 그림과 같은 전파정류회로의 각 다이오드에 걸리는 최대 역전압의 크기는 약 얼마인가? (단, 100V 는 상용전압이고, n1=n2 이다.)
2과목: 정보통신기기
21. 다음 중 DSU(Digital Service Unit)의 특징이 아닌것은?
22. 다음 중 FM송신기와 관계 없는 것은?
23. 다음 중 장거리 전송을 위해 신호를 재생중계해서 선로를 결합해주는 기능을 제공하는 장치는?
24. 다음 이동통신 시스템중에서 핸드오프(Hand-off)기능을 수행하는 것은?
25. 다음 네트워크 형태 중 통신회선의 설치비용이 가장 작게 드는 것은?
26. 정보통신기기들 사이에 기계적. 전기적. 기능적. 절차적인 여러 조건을 약속하여 표준화 한 것을 무엇이라 하는가?
27. 일반적인 무선 송신기의 구성으로 필수적인 사항이 아닌 것은?
28. 다기능전화기에 대한 설명으로서 옳지 않은 것은?
29. 다음 중 쌍방향 CATV의 응용분야가 아닌 것은?
30. 다음은 집중화기에 대한 설명이다. 집중화기에 대한 설명으로 틀린 것은/?
31. 데이터 저장의 신뢰도를 높이기 위한 디스크 운용 방법 중에 가장 경제적인 방법은?
32. 다음 중 CATV시스템의 기본 구성도에서 센터계에 해당하는 것은?
33. 부가가치통신망(VAN)이 제공하는 대포적인 기능이 아닌 것은?
34. 다음 중 주파수 분할 다중화 방식(TDM)의 장점이 아닌 것은?
35. TDX-10 교환기의 특징이 아닌 것은?
36. 고속의 정보통신 미디어인 Group 4 팩시밀리( G4 FAX)에서 사용하는 압축 보호화 방식은?
37. 동기식 데이터 전송에서 00000000또는 1111111등과 같은 숫자가 반복되어 동기신호를 상실하는 문제를 방지하기 위하여 송신측에서 전송되는 데이터 신호를 랜덤화하기 위하여 사용되는 회로는?
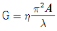
38. 지구국의 카세그레린 안테나의 이득은? (단, G : 이득, A : 안테나 직경, λ : 파장, η : 안테나 능률)




"이 정답이다.39. 다음 중 멀티미디어의 요구사항이 아닌 것은?
40. 다음 중 문자 다중 방송의 약자는?
3과목: 정보전송개론
41. 전송선로의 무왜곡 전송조건에 대한 설명으로 틀린 것은?
42. BPSK의 에너지는 16진 PSK 에너지의 몇 배인가?
43. MODEM에서 T=833×10-6초의 단위펄스가 4개의 독립적인 변조파를 갖는 4위상 변복조 방식에 의하여 표시될 때 전송되는 비트수를 나타내는 데이터 신호 속도는 몇[bps]인가?
44. ASK 방식과 PSK 방식을 결합한 디지털 변조방식을 무엇이라 하는가?
45. 베이직 모드의 전송제어수순에서 사용하는 전송제어문자에서 전송제어기능을 추가하는 경우를 표시하는 약칭은?
46. HDLC 전송제어절차에서 프레임을 구성하는 각 필드의 명칭을 순서대로 올바르게 배치한 항은 어느 것인가?
47. 광섬유에 대한 설명으로 틀린 것은?
48. 동축 케이블의 구성 요소에 해당하지 않는 것은?
49. 다음은 PCM 통신 시스템의 블록 다이어그램이다. 각 블록에 들어갈 기능이 가장 타당하게 짝지어진 것은?
50. Start-Stop 전송 방식이라고 하며 데이터 전송시 한번에 한 글자씩 전송하는 방법은?
51. 금속선로인 채널의 데이터 속도는 초당 송출 비트수이다. 채널용량(데이터 속도)과 관계없는 것은?
52. 정보전송 중 오류가 발생한 데이터 프레임만을 재 전송하는 방식은?
53. 음성 비트(bit)를 7비트에서 8비트로 했을 때 맞지 않는 것은?
54. 광전송 시스템의 구성요소 중 광섬유를 통하여 전송된 광을 수신하기 위한 수광 소자에 해당하는 것은?
55. CEPT(32채널)방식을 채택하고 있는 유럽방식 PCM의 표본화 주파수가 8[kHz]일 경우 1채널당 점유되는 시간은?
56. 송신측에서 연속적으로 전송한 데이터 블록에 대한 에러가 검출되면 에러가 발생한 블록 이후의 모든 블록을 재전송하는 에러제어 방식은?
57. 음성주파수(4㎑)를 PCM방식으로 전송하고자 할 때 재생에 필요한 표본화 주기는 얼마인가?
58. 베이스 밴드 전송방식에 해당하지 않는 것은?
59. 연결된 두 장치 간에 한번 씩 교대로 데이터를 전송하는 방식을 무엇이라 하는가?
60. 다음 그림의 전송 부호 형식은?
4과목: 전자계산기일반 및 정보설비기준
61. 운영체제(OS)의 목적과 관계가 먼 것은?
62. 전자계산기에서 보수(complement)를 사용하는 이유로 가장 타당한 것은?
63. 전자계산기의 기본 논리회로는 조합논리회로와 순서논리회로로 구분된다. 이 중 조합논리회로에 해당되는 것은?
64. 데이지휠(daisy wheel) 을사용하는프린터는?
65. 다음 그림은 컴퓨터의 구성을 간략히 보여준다. 빈 블록과 가장 관계 깊은 것은?
66. 다음 중 순서도를 작성하는 이유로 가장 타당한 것은?
67. 다음의time chart 에 해당하는 것은 어느 Gate인가?
68. 다음 오퍼랜드어드레스방식 중에서 기억장치를 두 번 읽어야 원하는 데이터를 얻을 수 있는 방식?
69. 어떠한 명령(instruction)이 수행되기 위해서 가장 먼저 이루어져야 하는 마이크로 오퍼레이션은 무엇인가?
70. 선형리스트 중 마지막으로 입력한 자료가 제일 먼저 출력되는 LiFO(Last in first out) 구조는?
71. 정보통신용 회선의 블록오율을 측정하기 위한 표준신호의 블록 크기는 주로 몇비트를 이용하는가?
72. 가공으로 전기통신선을 설치시 타인의 건물 또는 구조물등으로부터 이격거리는 일반적으로 얼마이상 유지하도록 요구되고 있는가?
73. 다음 중 ITU - T에서 정의된 0㏈m 과 관련된 사항이 아닌것은?
74. 전기통신설비의 기술기준에서 규정한 고주파수의 정의는?
75. 정보통신설비의 시설공사에서 하도급 원칙에 관한 규정이 아닌것은?
76. 다음 중 기술규격, 기준등을 동일하게 하여 통신품질 향상 및 서로 다른 기기간의 원활한 통신을 할 수 있도록 하는 것은?
77. 전기통신의 표준화에 관한 업무를 효율적으로 추진하기 위하여 설립한 기관은?
78. 정보통신장관이 전기통신을 연구하는 기관이나 단체를 지도 육성하는 목적은?
79. 우리나라 전기통신 행정의 주관처의 장은?
80. 전기통신역무의 요금 결정원칙에 가장 적합한 것은?