1과목: 디지털전자회로
1. 다음 중 RC 발진기의 설명으로 옳은 것은?
2. 그림과 같은 증폭회로의 전압이득(Vo/Vi)은 약 얼마인가? (단, gm = 10m℧, γd = 100kΩ)
3. 다음 중 불 함수 (A+B)(A+C)와 같은 것은?
4. 그림과 같은 회로에서 V1=V2=20[V]이면 VO[V]는? (단, 다이오드는 이상적이다.)
5. 다음 회로에서 출력 파형으로 가장 적합한 것은? (단, 펄스의 폭 τ 》 RC 이다.)




" 이다.
"은 입력 펄스의 폭이 가장 짧기 때문에 출력 파형으로 가장 적합하다.6. 진폭변조에서 반송파전력(Pc)과 피변조파전력(P)의 관계가 옳은 것은? (단, 변조도 m=1 이다.)
P
P
P
P
P"이다.
P가 성립한다.7. 이미터접지 트랜지스터에서 VCE를 일정하게 하고 IB를 20[μA], 50[μA]로 했을 때 IC가 각각 5[mA], 9.5[mA] 였다면 전류증폭율 hfe는?
8. 다음 그림과 같은 연산회로의 명칭은?
9. 수정진도자의 지지기(holder)가 갖추어야 할 조건으로 적합하지 않는 것은?
10. 그림과 같은 이상적인 연산 증폭회로의 증폭도(Vo/Vi)는? (단, R1=2kΩ, R2=15kΩ, R3=10kΩ 이다.)
11. 다음 그림의 다이오드 회로와 등가인 논리 게이트는? (단, 정논리회로이다.)




"이 정답이 된다.12. 저항 부하에서 A급 전력 증폭기의 최대 효율은?
13. EX-OR 게이트(2입력 1출력)를 사용하여 8비트 패리티 검사를 할 때 최소로 필요한 EX-OR 게이트의 수는?
14. 다음 중 외부로부터 트리거(trigger) 신호 없이 스스로 준안정 상태에서 다른 준안정 상태로 변화를 되풀이 하는 것은?
15. 반송파 vc=Vcsinωct를 vm=Vmsinpt로 진폭 변조했을 때 피변조파 v(t)는?
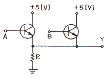
16. 다음 회로의 게이트는? (단, A, B는 입력이고 Y는 출력)
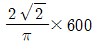
17. 권선비 (
)가 3인 전원 변압기를 통하여 실효치 200[V]의 교류입력이 전파 정류되면 평균치는 몇 [V]인가?




"이다.18. 그림의 회로에서 스위치 A가 1의 위치에 있을 때, 콘덴서 C 양단의 전압이 V로 충전되었고 이 때의 전류는 0 이다. 만일 t=0 에서 스위치 A를 위치 2로 전환한다면 t > 0에서 전류 i(t)는?




"이다.20. 그림과 같은 이상적인 연산 증폭기에서 출력전압은? (단, 입력전압 : ei, 출력전압 : eo)




"이다.2과목: 정보통신기기
21. 차세대 가입자망 기술의 하나로 광섬유 케이블로 댁내까지 접속하는 것은?
22. 다음 중 CCTV의 응용범위가 아닌 것은?
23. 다음 중 무선가입자망 기술에 해당되지 않는 것은?
24. 다음 중 NTSC 컬러 TV에서 음성신호의 변조방식은?
25. 다음 중 대역 압축 방식으로 MH, MR 부호화 방식을 사용하여 전송하는 FAX는?
26. 다음 중 셀룰러 이동통신의 특징이 아닌 것은?
27. 위성통신의 다원접속 방식이 아닌 것은?
28. MHS(Message Handling System)의 기본 구성이 아닌 것은?
29. 다음 중 무선통신에서 통신의 품질을 평가하는 척도는?
30. 다음 중 위성통신이 갖는 일반적인 특징이 아닌 것은?
31. OSI 참조 모델의 물리계층에서 신호 재생의 역할을 주로 수행하는 것은?
32. 다음 중 통신위성 지구국에 설치하는 안테나로 가장 적합한 것은?
33. CATV의 센터설비 중 헤드엔드의 주요 기능이 아닌 것은?
34. 다음 중 SOH(Synchronous Digital Hierarchy)에서 STM-1의 전송속도[Mbps]는?
35. 다음 중 모뎀(Modem)의 변복조 방식이 아닌 것은?
36. 다음 중 국내 디지털 TV 방송의 영상압축 기술은?
37. 다음 중 수신기 성능의 평가 대상이 아닌 것은?
38. 다음 중 주파수 스펙트럼의 이용효율이 가장 좋은 변조 방식은?
39. 다음 중 좌표를 판독하여 아날로그 형태의 설계도면이나 도형을 디지털 형태로 컴퓨터에 입력하는데 사용되는 것은?
40. 다음 중 컴퓨터 시스템에서 처리 결과를 음성으로 출력하는 것은?
3과목: 정보전송개론
41. 데이터 전송 방식 중 병렬전송의 특징이 아닌 것은?
42. 다음 중 표본화 잡음의 주된 발생원인으로 가장 적합한 것은?
43. 에러의 검출 능력을 나타내는 데는 해밍(Hamming)거리라는 것을 사용한다. U=(1011), V=(0010)일 때, 부호어 U와 V의 해밍 거리는?
44. 수신된 BPSK 신호는 반송파 성분이 없기 때문에 복조하기 위해 반송파 신호를 발생시킨다. 발생된 반송파의 위상은 두 개의 위상 중 어느 하나의 Locking 되며, Detector Mixer는 수신 BPSK 신호와 반송파를 곱해 데이터를 복조하게 된다. 이러한 역할을 하는 회로를 무엇이라 하는가?
45. 다음 중 HDLC 동작 모드가 아닌 것은?
46. 전송로에서 사용되는 재생중계기의 3R 기능이 아닌 것은?
47. 다음 중 광케이블 전송로의 특징으로 적합하지 않은 것은?
48. 이동통신의 채널에서 일어나는 현상과 가장 관련이 적은 것은?
49. 다음 중 물리계층에서 사용하는 데이터 전송단위는?
50. 에러율이 5×10-5 [비트/초]인 전송회선에서 9600[bps] 속도로 15분간 전송할 때의 에러 비트수는?
51. UTP에서 선끼리의 상호간섭을 최소화하는 방법에 대한 설명으로 가장 적합한 것은?
52. HDLC 프로토콜의 FCS에 대한 설명으로 가장 적합한 것은?
53. 데이터그램(datagram) 방식에 대한 설명 중 적합하지 않은 것은?
54. 정합필터(matched filter)에 대한 설명으로 적합하지 않은 것은?
55. 광섬유가 단일모드인지 다중모드인지를 구별하는데 사용되는 광학 파라메터는?
56. OSI 참조모델에서 최상위 계층으로 7계층에 속하는 것은?
57. 다음 중 동축 케이블의 특징이 아닌 것은?
58. 다음 중 정보신호에 따라 주파수를 변환시키는 디지털 변조방식은?
59. 전송부호가 가져야 하는 조건으로 맞지 않는 것은?
60. 데이터 통신에서 full-duplex 방식의 가장 큰 장점은?
4과목: 전자계산기일반 및 정보설비기준
61. 다음 중 프로그램 언어의 조건으로 맞지 않는 것은?
62. 여러 개의 노드들 가운데 가장 큰 키 값을 가지는 노드나 가장 작은 값을 가지는 노드를 빠른 시간 내에 찾아내도록 만들어진 것은?
63. 페이지 대체 알고리즘 중에서 최근에 다룬 어떤 페이지보다도 적게 사용된 페이지를 고르는 방법은?
64. 다음 중 에러의 발견과 교정까지 가능한 코드는?
65. 중앙처리장치로부터 발생되는 기억장치의 읽기 신호와 쓰기 신호를 이용하여 입ㆍ출력장치에 대한 읽기와 쓰기를 수행할 수 있는 방식은?
66. 다음 중 인터럽트와 관련이 없는 것은?
67. 컴퓨터에서 계산속도가 빠른 순서로부터 나열된 것은?
68. 다음 중 보조기억장치의 특징 아닌 것은?
69. 인터럽트 취급 루틴을 수행하기 전에 반드시 보존해야 하는 레지스터는 무엇인가?
70. 일부분의 비트 또는 문자를 지울 때 사용하는 연산은?
71. 다음 중 정보통신공사업의 등록기준이 아닌 것은?
72. 전기통신공사의 품질을 확보하기 위하여 정보통신공사업자에게 기술의 표준화, 기술훈련, 기술정보의 제공 또는 구제기구와의 협력 등에 관하여 기술지도를 하는 자는?(관련 규정 개정전 문제로 여기서는 기존 정답인 3번을 누르면 정답 처리됩니다. 자세한 내용은 해설을 참고하세요.)
73. 정보통신공사 발주자는 누구에게 공사의 감리를 발주하여야 하는가?
74. 감리원이 업무를 성실하게 수행하지 아니하여 부실하게 될 우려가 있을 때에 발주자가 감리원에게 취할 수 있는 조치는?
75. 다음 ( ) 안에 들어갈 내용으로 가장 적합한 것은?
76. 보편적 업무의 구체적 내용을 정할 때 고려하는 사항이 아닌 것은?
77. 다음 중 정보통신공사의 종류에 해당하지 않는 것은?
78. 다음 ( )안에 들어갈 내용으로 가장 적합한 것은?(관련 규정 개정전 문제로 여기서는 기존 정답인 3번을 누르면 정답 처리됩니다. 자세한 내용은 해설을 참고하세요.)
79. 정보통신기술자를 공사현장에 배치하지 아니한 자에 대한 벌칙은?
80. 다음 ( ) 안에 들어갈 내용으로 가장 적합한 것은?



