1과목: 디지털전자회로
1. 전원회로에서 부하에 최대전력을 공급하기 위해서는 어떻게 하여야 하는가?
2. 다음 정류회로에서 직류출력 전압(Vdc)과 직류출력 전류(ldc)는 얼마인가? (단, vi=141sin377t[V], R=500[Ω], n1:n2=10:1, 다이오드 전압 강하는 없다)
3. 다음 중 평활회로의 필터에 대한 설명으로 틀린 것은?
4. 증폭도가 A인 증폭기에 궤환율 β로 정궤환 되었을 경우 발진이 이루어지는 조건은?
5. 다음 중 궤환 증폭기의 특성에 관한 설명으로 틀린 것은?
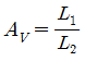
6. 다음 발진기에서 자가 발진을 위한 전압이득 AV의 조건은?




7. 다음 회로에서 삼각파 입력에 대한 출력의 파형으로 맞는 것은?




8. 다음 중 다단 증폭기 출력단에 연결하여 증폭기의 전체 출력저항을 낮추는데 사용하는 회로는?
9. 다음의 위상 이동 발진기 회로에서 발진이 지속적으로 유지하기 위한 Rf값과 발진기의 출력주파수(Vout)는 약 얼마인가?
10. 다음 중 저주파에서 고주파에 이르기까지 일정한 스펙트럼을 갖고 나타나는 잡음으로 알맞은 것은?
11. 다음 중 AM변조방식에서 변조도에 대한 설명으로 틀린 것은?
12. 900[kHz]의 반송파를 5[kHz]의 신호주파수로 진폭 변조한 경우 피변조파에 나타나는 주파수 성분이 아닌 것은?
13. 다음 중 변조의 목적이 아닌 것은?
14. 다음 중 PCM에서 미약한 신호는 진폭을 크게하고 진폭이 큰 신호는 진폭을 줄이는 기능을 무엇이라 하는가?
15. 다음 회로에서 입력되는 정현파의 최대 진폭이 6[V]일 때 출력에 나타나는 최대 진폭은? (단, RS=200[Ω], RL=400[Ω]이다.)
16. R-L 직렬 회로에서 시정수(Time Constant) τ는 어떻게 정의되는가?




17. 다음 중 십진수 45를 그레이코드로 바꾼 것은?
18. 다음 진리표의 카르노 맵(Karnaugh Map)을 작성한 것 중 가장 옳은 것은?




19. J-K 플립플롭 2개로 동기식 4진 카운터를 설계할 때, 각 플립플롭의 JK입력 조건을 바르게 나타낸 것은?
A
A, JB=QA, KB=
A20. 수신측에 다음과 같은 해밍코드가 수신되었다. 몇 번쨰 비트에서 에러가 발생되었는가? (단, P는 패리티 비트, D는 데이터 비트이다.)
2과목: 정보통신기기
21. 데이터 단말기의 입·출력 기능으로 틀린 것은?
22. 다음 중 단말기기의 기능이 아닌 것은?
23. 다음 중 단말기기의 전송제어 기능이 아닌 것은?
24. 디지털 케이블방송의 모뎀에서 64QAM으로 변조하였다. 64-ary(또는 심볼)는 몇 비트로 구성되는가?
25. 다음 중 회선교환방식에 대한 설명으로 가장 적합한 것은?
26. 다음 중 전화망의 교환시설에 속하지 않는 것은?
27. 네트워크에서 보안을 위한 가장 일차적인 솔루션으로 신뢰하지 않은 외부 네트워크와 신뢰하는 내부 네트워크 사이를 지나는 패킷을 미리 정한 규칙에 따라 차단 또는 허용하는 것을 무엇이라 하는가?
28. 집중화기의 하드웨어 구성요소가 아닌 것은?
29. 프로토콜 구조가 전혀 다른 네트워크 사이를 결합하는 장비를 무엇이라 하는가?
30. 다음 중 영상회의 시스템의 기본구성요소가 아닌 것은?
31. 음성신호를 디지털화하고 압축한 후에 IP 패킷화하여 전달하는 기술은?
32. 다음 중 IP CCTV 시스템을 구성하는 장비로 가장 거리가 먼 장치는?
33. 통신망 신호방식 중 다이얼 방식에서 메이크시간=2, 브레이크시간=4일 때, 단속비는 얼마인가?
34. 송신기에서 주파수 체배기를 사용하는 목적이 아닌 것은?
35. 이동통신용 단말기의 사용 파장이 0.1[m]라면 주파수는 얼마인가?
36. 휴대폰의 무선 인터넷에서 WINC(Wireless Internet Numbers for Contents)를 사용하는 주된 이유는 무엇인가?
37. 일반적으로 동영상을 자연스럽게 보이기 위해 1초당 몇 개 이상의 프레임을 보여 주어야 하는가?
38. VOD(Video On Demand) 시스템의 구성 중 실제 사용자 단까지 ALL IP 구간으로 전달하는 부분은?
39. 다음 중 멀티미디어의 특징이 아닌 것은?
40. 멀티미디어용 디스크 어레이(Disk array) 구현 방법 중 별도의 패리티 디스크를 사용하는 방식은?
3과목: 정보전송개론
41. 디지털 신호를 아날로그 신호로 바꾸어 전송하는 방식이 아닌 것은?
42. 1. SONET 프레임 구조의 설명으로 옳은 것은?
43. 다음 중 OFDM 방식에 대한 설명으로 거리가 먼 것은?
44. 다음 중 SONET/SDH에 대한 설명으로 틀린 것은?
45. 다음 중 광통신시스템에서 손실의 종류에 해당되지 않는 것은?
46. 광섬유 기반의 광통신 시스템에서 전송 거리를 제한하는 가장 중요한 원인은 어느 것인가?
47. 정재파 전압의 최소값이 20[V], 최대값이 40[V]인 선로에서 반사계수는?
48. UTP케이블을 이용하여 네트워크 구성 시 1[Gbps] 속도를 지원하는 케이블 등급은?
49. 다음 중 혼합형 동기식 전송 방식(lsochronous Transmission)의 특징이 아닌 것은?
50. 다음 중 국간 중계선 신호방식의 설명으로 틀린 것은?
51. 4진 PSK의 반송파 간의 위상차는 몇 도인가?
52. Baseband 전송방식의 설명으로 옳은 것은?
53. 다음 중 비트방식의 데이터링크 프로토콜이 아닌 것은?
54. OSI 모델의 7계층 중 암호화 및 데이터 압축 등을 수행하는 계층은?
55. 다음 응용 프로그램(응용계층 서비스)중 전송계층(Transport Layer) 프로토콜로 TCP를 사용하지 않는 것은?
56. 네트워크상에서 발생한 트래픽을 제어하며, 네트워크상의 경로설정 정보를 가지고 최적의 경로설정을 하는 장치는 무엇인가?
57. IPv4에서 주소 부족을 해결하기 위한 방법으로 틀린 것은?
58. IPv4 주소 A클래스에 대한 표준 네트워크 서브넷 마스크로 옳은 것은?
59. 입력되는 정보 마지막에 1[bit]를 추가하여 추가된 Bit로 에러를 검사하는 방법을 무엇이라고 하는가?
60. 다음 중 변복조기(MODEM)의 송신부의 동작순서로 맞는 것은?
4과목: 전자계산기일반 및 정보설비기준
61. 다음 중 주소 지정 방식에 대한 설명으로 틀린 것은?
62. 다음 중 4-단계 명령어 파이프라이닝의 올바른 실행 순서는?
63. 다음 중 2n개의 입력과 n개의 출력으로 구성되는 것은?
64. 다음 보기와 같은 기능을 수행하는 것은?
65. 다음 중 “원하는 시간 내에 시스템을 얼마나 빨리 사용할 수 있는 가”의 정도를 나타내는 것은 무엇인가?
66. 논리식
를 간략화하면?


67. 다음 중 시스템 소프트웨어에 해당하는 것은?
68. 현재 메모리의 분할 상태가 다음과 같을 때 크기가 100K인 작업을 최악적합(Worst Fit)기법에 의해 할당한다면 어느 위치에 적재되는가?
69. 다음 중 순차 액세스(Sequential Access)만 가능한 보조 기억장치는?
70. 다음 중 비교적 속도가 빠른 I/O 장치를 통해 특정한 하나의 장치를 독점하여 입·출력으로 사용하는 채널은?
71. 다음 중 방송통신발전기본법에서 규정한 방송통신표준화 대상이 아닌 것은?
72. 다음 중 통신기계실에 설치되는 설비로 알맞은 것은?
73. 공동주택단지 내 영상정보처리기기로 촬영된 자료는 몇일 이상 보관 해야 하는가?
74. 다음 중 과학기술정보통신부장관이 국립전파연구원장에게 위임한 사항이 아닌 것은?
75. 공사업자가 설계도서 및 관련 규정에 따라 공사를 적합하지 않게 시공하는 경우 감리원이 어떠한 조치를 내릴 수 있는가?
76. 다음 중 기간통신사업자가 전기통신설비의 설치 및 보전을 위하여 사유 및 국·공유의 토지 등을 일시 사용하면서 타인에게 손실을 끼친 경우의 조치사항으로 가장 바람직한 것은?
77. 정보통신기술자의 현장배치기준에 대해 설명한 것으로 괄호한에 들어 갈 내용으로 알맞은 것은?
78. 다음 중 과학기술정보통신부장관 또는 방송통신위원회가 정보통신망 이용촉진 및 정보보호 등에 관한 시책을 수립함에 있어 어느 계획과 연계되도록 하여야 하는가?
79. 다음 중 시·도지사가 반드시 정보통신공사업 등록취소를 하여야 하는 경우는?
80. 정보통신공사업법에서 사용하는 용어에 대해 설명한 것으로 맞게 나열된 것은?