1과목: 금형설계
1. 메달이나 화폐 등의 제작에 사용되는 가공을 무엇이라 하는가?
2. 굽힘금형으로 제품을 가공할 때 발생하는 스프링백에 대한 설명으로 틀린 것은?
3. 프레스 기계의 토크 능력에 대한 설명 중 옳은 것은?
4. 블랭크의 직경이 140mm인 블랭크를 직경이 70mm가 되도록 드로잉 하였다. 이때 드로잉비는?
5. 판 또는 용기의 가장자리 부분에 원형 단면의 테두리를 말아 넣는 가공법은?
6. 프레스에 고정되는 생크(shank)는 금형의 하중중심에 설치되어 평형상태를 유지해야 한다. 생크의 위치를 결정하는 방법이 아닌 것은?
7. 이미 뚫어져있는 구멍을 이용하여 제품의 위치결정을 할 경우에 사용하는 금형부품으로 가장 적합한 것은?
8. 프로그래시브 금형의 특징을 설명한 것으로 옳은 것은?
9. 다이세트의 기능을 설명한 것으로 틀린 것은?
10. 피어싱 금형에서는 클리어런스를 어디에 주는 것으로 옳은 것은?
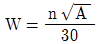
11. 표준게이트의 폭(W)을 결정하는 공식을 알맞게 표현한 것은? (단, n=수지상수, A=성형품 외측의 표면적(mm2)이다.)




" 이다.12. 외측언더컷을 처리할 때의 처리기구에 해당되는 것은?
13. 사출금형의 냉각수 구멍을 설계할 때 고려해야 할 사항으로 틀린 것은?
14. 다음 중 사출성형용 금형부품에 해당되지 않는 것은?
15. 다음 중 공업용 기어, 캠, 베어링 등의 제작에 많이 사용되는 수지는?
16. 사출성형용 금형에서 게이트(gate)의 역할을 설명한 것으로 틀린 것은?
17. 사출성형기 기본구성 요소가 아닌 것은?
18. 공기압 이젝터 방식의 특징을 설명한 것으로 틀린 것은?
19. 다음 중 캐비티 내의 공기가 빠지지 않을 때 가장 적합한 대책은?
20. 상온성형품치수가 40mm 이고, 상온금형침수가 40.8mm이다. 이 수지의 성형수축률은 약 몇 %인가?
2과목: 기계가공법 및 안전관리
21. CAD/CAM 시스템과 CNC기계들을 근거리 통신망으로 연결하여 1대의 컴퓨터에서 여러 대의 CNC공작 기계에 데이터를 분배하여 전송함으로써 동시에 여러대의 기계를 운전할 수 있는 시스템은?
22. 전해연삭에 사용되는 전해액의 구비조건에 해당되지 않는 것은?
23. 다음 중 금형조립용 측정공구로 적합하지 않는 것은?
24. 수치제어선반에서 사용되는 보조기능을 설명한 것으로 틀린 것은?
25. 치공구를 사용할 때의 장점으로 틀린 것은?
26. 다음 중 연삭액의 구비조건이 아닌 것은?
27. 금형 부품의 위치결정에서 부품의 한쪽에 흠을 파고 그 홈에 다른 부품을 조립하여 위치결정을 하는 방법은?
28. 방전가공용 전극재료의 구비 조건으로 거리가 먼 것은?
29. 숏 피닝(shot peening) 작업은 경화된 강구를 공작물 표면에 분사하여 피로강도와 기타 성질을 향상시키는 방법으로서 가공조건의 인자가 아닌 것은?
30. 초음파 가공에서 연삭 입자의 재질로 사용하지 않는 것은?
31. 금형가공에 많이 이용되는 CNC공작기계로서 자동공구 교환장치(ATC)가 부착되어 있어 여러 가지 공구를 필요에 따라서 교환하면서 작업을 진행시키는 공작기계는?
32. 고속가공 공작기계가 최적의 제품을 생산하기 위해 필요한 고속가공의 요소기술로 관련성이 가장 적은 것은?
33. 밀링에서 가공물을 분할하는 방법으로 틀린 것은?
34. 냉간단조 가공의 장점을 설명한 것으로 옳은 것은?
35. 금형제작을 할 때 작업의 주의 사항들이다. 설명이 잘못된 것은?
36. 다음 중 레이저 가공을 설명한 것으로 틀린 것은?
37. CNC 가공에서 드웰(GO4)은 지령된 점에서 일정 시간 멈추기 위하여 사용한다. 사용할 수 없는 어드레스는?
38. 다음 중 CNC 공작기계의 절삭제어 방식이 아닌 것은?
39. 센터, 척, 자석척 등을 사용하지 않고 가공물의 표면을 조정하는 조정숫돌과 지지대를 이용하여 가공물을 연마하는 연삭기는?
40. 볼트 또는 너트의 머리 부분이 가공물 안으로 묻히도록 드릴과 동심원의 2단 구멍을 만드는 가공작업은?
3과목: 금형재료 및 정밀계측
41. 나사의 피치가 0.500mm 이고 딤블의 원주눈금이 500등분인 높이 마이크로미터에서 읽을 수 있는 최소눈금은 몇 mm 인가?
42. 지름 15mm의 둥근봉에 대해 오차 백분율 ±0.5%까지가 합격이라고 할 때 다음 중 합격 치수 범위로 옳은 것은?
43. 미터나사에서 최적 3침의 지름이 3.000mm 인 3침을 이용하여 외측거리 M=50.000mm를 얻었을 때의 유효지름은 몇 mm 인가? (단, 최적 3침 선경 dw = 0.57735 x P 이고 여기서 P는 피치이다.)
44. 내측 테이퍼 구멍의 테이퍼 각을 지름이 일정한 한 쌍의 강구와 게이지 블록을 높이 H = 27mm로 하여 측정한 결과 M1 = 25mm, M2 = 12mm 이었다. 테이퍼 각 ø는 얼마인가? (단, 테이퍼 형상은 좌우 대칭으로 본다.)
45. 다음 그림의 측정값 분포곡선 a, b에 대한 설명 중 틀린 것은?
46. 다음 중 수학적 관계를 이용하여 측정하는 간접측정(indirect measurement)이 아닌 것은?
47. 계측용어에서 통계적 처리에 관한 용어 중 잔차(residual)의 의미는?
48. 다음 중 공구 현미경으로 측정할 수 없는 것은?
49. 표면거칠기에서 사용하는 단면곡선의 파라미터가 아닌 것은?
50. 다음 중 한계 게이지의 종류가 아닌 것은?
51. 다음 중 금형 다이, 칼, 절단장치 등의 공구를 제작하기 위하여 경도를 증가시켜 내마멸성을 향상시키기 위한 열처리 방법으로 가장 적합한 것은?
52. 강(steel)과 비교한 플라스틱 재료의 일반적인 특성으로 틀린 것은?
53. 다음 중 소결합금으로 된 공구강은?
54. 10~14%의 규소가 함유된 알루미늄-규소계의 대표적인 합금은?
55. 탄소강에서 존재하는 원소 중에서 강도를 증가시키고 고온에서의 소성가공성을 좋게 하며 주조성과 담금질 효과를 향상시키는 원소는?
56. 티탄(Ti)의 일반적인 성질에 속하지 않는 것은?
57. 스테인리스강판과 같이 변형저항이 큰 소재의 냉간 프레스가공시 특히 요구되는 금형 강재의 성질은?
58. 주철의 성질 중 강철에 비하여 가장 부족한 성질은?
59. 다음 중 기계구조용 탄소강은?
60. 다음 중에서 금속이 비중이 큰 순서로 올바르게 나열된 것은?