1과목: 임의구분
1. 용접 및 배관작업 시 안전사항으로 옳지 않은 것은?
2. 드릴 작업 중 안전 수칙으로 틀린 것은?
3. 열교환기의 종류 중 판(plate)형 열교환기의 형태가 아닌 것은?
4. 자동제어계의 동작순서로 옳은 것은?
5. 원유를 상압증류하여 얻어지는 비등점 200℃ 이하의 유분을 무엇이라고 하는가?
6. 기송배관의 부속설비인 수송관이 저압송식 또는 진공식일 때 일반적인 수송 가능거리는?
7. 화학공업배관에서 사용되는 열교환기에 관한 설명으로 옳지 않은 것은?
8. 자동세탁기, 교통신호기, 엘리베이터, 자동판매기 등과 같이 유기적인 관계를 유지하면서 정해진 순서에 따라 제어하는 방식은?
9. 배관 라인상에 설치되는 계측기기 배관시공법에 관한 설명으로 옳지 않은 것은?
10. 배수탱크 및 배수펌프의 용량을 결정할 때 고려하여야 할 사항으로 가장 거리가 먼 것은?
11. 공기조화설비의 덕트 주요 요소인 가이드 베인에 관한 설명으로 옳은 것은?
12. 소화설비장치 중 연결송수관의 송수구 설치에 관한설명으로 옳지 않은 것은?
13. 줄 작업 시 안전수칙으로 옳지 않은 것은?
14. 온수난방 귀환관의 배관방법을 직접 귀환 방식과 역귀환 방식으로 구분할 때 역귀환 방식을 사용하는 가장 적당한 것은?
15. 종래에 사용하던 제어반의 릴레이, 타이머, 카운터 등의 기능을 프로그램으로 대체하고자 만들어진 기기로서 제어반을 소형화 할 수 있고 내부 제어회로 수정을 쉽게 할 수 있는 제어용 기기는?
16. 1보일러 마력을 설명한 것으로 가장 적합한 것은?
17. 배관의 부식에 관한 설명으로 옳지 않은 것은?
18. 배관설비 시험에 관한 일반적인 설명으로 잘못된것은?
19. 공정제어에 있어서 마치 인간의 두뇌와 같은 작용을 하는 것으로 오차의 신호를 받아 어떤 동작을 하면 되는가를 판단한 후 처리하는 부분은?
20. 배관설비의 유지관리에서 응급조치법의 종류가 아닌 것은?
2과목: 임의구분
21. 화학약품에 강하고 내유성이 크며, 30~130℃의 내열범위를 가지는 증기, 기름, 약품 배관에 적합한 패킹재료는?
22. 서로 다른 2종의 금속선을 양 끝에 접합하여 만든 것으로 이 양접점을 서로 다른 온도로 유지시켰을 때 발생되는 기전력을 전위차계로 측정함으로써 온도를 측정하는 온도계는?
23. 저압, 중압, 고압 어느 곳에도 사용이 가능하고 처리되는 응축수의 양에 비해 소형이며 공기도 함께 배출할 수 있는 트랩은?
24. 연단을 아마인유와 혼합한 것으로서 녹을 방지하기위해 페인트 밑칠로 사용하며, 밀착력이 강력하고 풍화에 강한 도료는?
25. 압력배관용 탄소강관의 스케줄번호에 따른 수압시험의 압력으로 맞는 것은?
26. 유체의 흐름 방향의 변화가 크고 유량의 조절이 정화하여 소형으로 가장 많이 사용하는 스톱밸브는?
27. 일반적인 폴리부틸렌관의 이음방법으로 적합한 것은?
28. 주철관에 관한 설명으로 틀린 것은?
29. 일명 팩레스(packless) 신축 이음쇠라고도 하며, 관의 신축에 따라 슬리브와 함께 신축하는 것으로 미끄럼 면에서 유체가 누설되는 것을 방지하는 것은?
30. 플랜지 시트 종류 중 전면 시트(seat) 플랜지를 사용할 때 사용 가능한 호칭압력으로 가장 적합한 것은?
31. 건물 내의 배수 수평주관 끝에 설치하여 공공 하수관에서 유독가스가 건물 안으로 침입하는 것을 방지하는 트랩은?
32. 비금속관에 관한 설명으로 옳지 않은 것은?
33. 스테인리스 강관에 관한 설명으로 옳지 않은 것은?
34. 브레이스(brace)에 관한 설명으로 틀린 것은?
35. 공구와 그 용도가 바르게 연결된 것은?
36. 관지름 20mm 이하의 동관에 주로 사용되며, 끝을 나팔 모양으로 넓혀 설비의 점검, 보수 등을 위해 분해할 필요가 있는 배관부에 연결하는 이음은?
37. 아크용접 중 언더컷 현상이 잘 발생하는 경우는?
38. 관의 절단, 나사절삭, 거스러미(burr) 제거 등의 일을 연속적으로 할 수 있고, 관을 물린 척을 저속 회전시키면서 다이헤드를 관에 밀어 넣어 나사를 가공하는 동력나사 절삭기의 종류는?
39. 내경이 10cm인 수평직관 속을 평균유속 5m/s로 물이 흐를 때 길이 10m에서 나타나는 손실수두는 약몇 m 인가? (단, 관의 마찰손실계수(λ)는 0.017 이다.)
40. 금속과 금속을 충분히 접근시켰을 때 발생하는 원자 사이의 인력으로 접합하는 방법은?
3과목: 임의구분
41. 주철관 접합 시 녹은 납이 비산하여 몸에 화상을 입히는 사고가 발생하였다면 이 사고의 가장 중요한 원인으로 추정되는 것은?
42. 열에 관한 설명으로 옳지 않은 것은?
43. 경질 염화비닐관 접합법의 종류가 아닌 것은?
44. 관 이음에 관한 설명으로 옳지 않은 것은?
45. 평균 온도차가 5℃일 때 열관류율이 500W/m2ㆍK 인 응축기가 있다. 응축기에서 제거되는 열량이 18kW일 때 전열면적은 몇 m2 인가?
46. 서브머지드 아크용접에서 시작부와 종단부에 용접 결함을 막기 위하여 사용하는 것은?
47. 용접부 및 용접부 표면의 형상기호 중 영구적인 덮개판을 사용할 때의 기호는?




48. 배관 도면상의 치수표시법에 관한 설명으로 옳지 않은 것은?
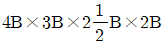
49. 정투상도에서 배면도란?
50. 그림은 관 A로부터 분기된 관 B가 화면에 직각으로 바로 앞쪽으로 올라가 있으며 구부러져 있는 경우이다. 정투상도가 바르게 그려진 것은?




51. 그림과 같은 크로스 이음쇠의 호칭방법으로 가장 적합한 것은?




52. 그림과 같은 부분 평면배관도에서 필요한 엘보(ellbow)의 수는 모두 몇 개인가?
53. 기계제도 도면에서 길이를 표기하는 방법으로 가장 적절한 것은?




54. 다음 관의 관말부 도면 기호가 나타내는 것은?
55. 자전거를 셀 방식으로 생산하는 공장에서, 자전거 1대당 소요공수가 14.5H 이며, 1일 8H, 월 25일 작업을 한다면 작업자 1명당 월 생산 가능대수는 몇 대인가? (단, 작업자의 생산종합효율은 80% 이다.)
56. 도수분포표에서 알 수 있는 정보로 가장 거리가 먼것은?
57. 로트에서 랜덤하게 시료를 추출하여 검사한 후 그 결과에 따라 로트의 합격, 불합격을 판정하는 검사방법을 무엇이라 하는가?
58. ASME(American Society of Mechanical)에서 정의하고 있는 제품공정 분석표에 사용되는 기호 중 “저장(storage)"을 표현한 것은?
59. 미리 정해진 일정단위 중에 포함된 부적합수에 의거 하여 공정을 관리할 때 사용되는 관리도는?
60. TPM 활동 체제 구축을 위한 5가지 기둥과 가장 거리가 먼 것은?