1과목: 승강기개론
1. 승객용 승강기의 문닫힘 안정장치 중 개폐 시 문에 끼는 것을 방지하는 장치는?
2. 엘리베이터용 전동기의 용량을 결정하는 주된 요인이 아닌 것은?
3. 유압 완충기의 구조가 아닌 것은?
4. 엘리베이터 고장으로 종단층을 통과하였을 때 전동기 및 브레이크에 공급되는 회로의 확실한 기계적 분리를 통해 정지시키는 장치는?
5. 엘리베이터의 기계실 위치에 따른 분류에 해당하지 않는 것은?
6. 에스컬레이터의 배치에 있어 승하강 모두 연속적으로 승계가 되며 상승과 하강이 서로 상면의 반대측에 나누어져 있어 승강구에서의 혼잡이 적은 배치 방법은?
7. 피트 아래를 사무실이나 통로 등 사람이 출입하는 장소로 이용하는 경우에 균형추측에 설치하는 장치는?
8. 소형화물용 엘리베이터의 특징으로 틀린 것은?
9. 다음 유압회로에 대한 설명으로 틀린 것은?
10. 다음 엘리베이터 조명에 대한 설명 중 괄호 안에 들어갈 수치는?
11. 비상통화장치에 대한 설명으로 틀린 것은?
12. 장애인용 엘리베이터의 경우 승강장바닥과 승강기바닥의 틈은 몇 m 이하이어야 하는가?
13. 전기식 엘리베이터의 구성요소가 아닌 것은?
14. 유압식 엘리베이터에서 유압회로의 압력이 설정값 이상으로 되면 밸브를 열어 오일을 탱크로 돌려보내어 압력이 과도하게 상승하는 것을 방지하는 밸브는?
15. 소방구조용(비상용) 엘리베이터의 구조에 대한 설명으로 틀린 것은?
16. 층고가 6m를 초과하는 경우 에스컬레이터의 경사도는 몇 도를 초과하지 않아야 하는가?
17. 가공이 쉽고 초기 마찰력이 우수하며 쐐기작용에 의해 마찰력은 크지만 면압이 높고 권상로프와 접하는 부분의 각도가 작게 되어 트랙션 비의 값이 작아지게 되는 단점을 갖는 로프의 홈 형상은?
18. 카의 실속도와 지령속도를 비교하여 사이리스터의 점호각을 바꿔 유도전동기의 속도를 제어하는 방식은?
19. 비선형 특성을 갖는 에너지 축적형 완충기가 카의 질량과 정격하중 또는 균형추의 질량으로 정격속도의 115%의 속도로 완충기에 충돌할 때에 대한 설명으로 틀린 것은?
20. 다음 중 와이어로프의 구조에서 심강의 주요 기능으로 가장 적절한 것은?
2과목: 승강기설계
21. 4극 3상, 정격전압이 220V, 주파수가 60Hz인 유도전동기가 슬립 5%로 회전하여 출력 10kW를 낸다면, 이때 토크는 약 몇 N·m인가?
22. 다음 매다는 장치(현수)에 대한 기준 중 괄호 안에 알맞은 수치는?
23. 도어에 이물질이 끼었을 때 이것을 감지하는 문닫힘 안전장치의 종류가 아닌 것은?
24. 주행안내(가이드) 레일의 규격 표시에서 공칭하중은 몇 m를 기준으로 하는가?
25. 동력전원 설비용량을 산정하는데 필요한 요소가 아닌 것은?
26. 다음 그림과 같이 보에 하중이 작용할 때 A지점의 반력 RA는?




"입니다.27. 엘리베이터용 T형 주행안내(가이드) 레일의 표준길이는 약 몇 m 인가?
28. 카 내부에 있는 사람에 의한 카문의 개방을 제한하기 위하여 카가 운행 중일 때, 카문을 개방하기 위해 필요한 힘은 최소 몇 N 이상이어야 하는가?
29. 추락방지안전장치(비상정지장치)가 작동하는 카, 균형추 또는 평형추의 주행안내(가이드) 레일의 경우 주행안내 레일 및 고정(브래킷, 분리 빔)에 대해 계산된 최대 허용 휨은 몇 mm 인가?
30. 카의 추락방지안전장치(비상정지장치)는 점차 작동형이 사용되어야 하지만 정격속도가 최대 몇 m/s 이하인 경우에는 즉시 작동형이 사용될 수 있는가?
31. 권상기의 관련된 설명 중 틀린 것은?
32. 카에는 카 조작반 및 카 벽에서 100mm 이상 떨어진 카 바닥 위로 1m 이내에 모든 지점에 몇 lx 이상으로 비추는 전기조명장치가 영구적으로 설치되어야 하는가?
33. 다음과 같은 조건일 때 에스컬레이터 전동기의 용량은 약 몇 kW 인가?
34. 재료의 탄성한도, 허용응력에 대한 설명으로 틀린 것은?
35. 매다는 장치(현수)의 구분에 따른 최소 안전율 기준수치의 연결이 틀린 것은?
36. 엘리베어터의 동력전원이 3ø440V인 경우 제어반에 필요한 접지공사의 접지저항 값은 몇 Ω 이하이어야 하는가?
37. 카자중이 1500kgf, 적재하중이 750kgf, 승강행정이 30m, 0.5kgf/m의 로프가 4본이 사용된 엘리베이터에서 균형추의 오버밸런스율이 38%라면, 최상층에서 빈 카로 하강 시 트랙션비는?
38. 엘리베이터의 점검위치에 있는 점검운전 스위치가 동시에 만족해야 하는 작동조건에 대한 설명으로 틀린 것은?
39. 엘리베이터의 T형 레일의 규격이 8K, 길이가 5m인 경우, 레일의 중량은 약 몇 kg인가?
40. 엘리베이터의 피트 출입수단에 대한 기준 중 괄호 안에 알맞은 내용은?
3과목: 일반기계공학
41. 재료단면에 대한 단면2차모멘트를 I, 단면1차모멘트를 Q, 전단력을 F, 폭을 B라 할 때 임의의 위치에서의 수평전단응력을 구하는 식은?




" 이다. 이유는 이 식이 전단력을 단면2차모멘트로 나눈 값에 위치에 따른 보정항을 더한 것이기 때문이다.42. 주철의 특징으로 틀린 것은?
43. 줄(file) 작업에서 줄눈의 크기에 의한 분류가 아닌 것은?
45. 식물 탄닌-태닝 처리한 가죽에 대한 설명으로 틀린 것은?
46. 금속의 소성가공에서 열간가공과 냉간가공을 구분하는 기준은?
47. 재료가 반복하중을 받는 경우 안전율을 구하는 식은?
48. 체결용 기계요소인 코터의 전단응력을 구하는 식은? (단, W : 인장하중(kgf), b : 코터의 너비(mm), h : 코터의 높이(mm), d : 코터의 직경(mm)이다.)




"이다.49. 어느 위치에서나 유입 질량과 유출 질량이 같으므로 일정한 관내에 축적된 질량은 유속에 관계없이 일정하다는 원리는?
50. 피복아크 용접에서 용입 불량의 원인으로 틀린 것은?
51. 주물형상이 크고 소량의 주조품을 요구할 때 사용하며 중요부분의 골격만을 만드는 목형은?
52. 외부로부터 힘을 받지 않아도 물체가 진동을 일으키는 것은?
53. 양단지지 겹판 스프링에서 처짐을 구하는 식은? (단, W : 하중, n : 판수, h : 판 두께, b : 판의 폭, E : 세로탄성계수, l : 스팬 이다.)




"은 판의 두께가 가장 작기 때문에 정답이다.54. 비중 약 2.7에 가볍고 전연성이 우수하며 전기 및 열의 양도체로 내식성이 우수한 것은?
55. 선반작업 시 지름60mm의 환봉을 절삭하는데 필요한 회전수(rpm)는? (단, 절삭속도는 50 m/min이다.)
56. 축 방향의 압축력이나 인장력을 받을 때 사용하거나 2개의 축을 연결하는 것은?
57. 마찰차의 종류가 아닌 것은?
58. 단동 피스톤 펌프에서 실린더 직경 20cm, 행정 20cm, 회전수 80rpm, 체적효율 90% 이면 토출유량(m3/min)은?
59. 다음 중 축의 강도를 가장 약화시키는 키(key)는?
60. 비틀림 모멘트 T(kgf·cm), 회전수 N(rpm), 전달마력 H(kW)일 때 비틀림 모멘트를 구하는 식은?




" 이다.4과목: 전기제어공학
61. 다음 회로에서 합성 정전용량(F)의 값은?




" 이다.62. 맥동 주파수가 가장 많고 맥동률이 가장 적은 정류방식은?
63. 목표값이 미리 정해진 시간적 변화를 하는 경우 제어량을 그것에 추종시키기 위한 제어는?
64. 피드백제어의 특성에 관한 설명으로 틀린 것은?
65. 블록선도에서 요소의 신호전달 특성을 무엇이라 하는가?
66. 다음 블록선도에서 전달함수 C(s)/R(s)는?




"가 정답이다. 이는 제어기의 출력 e(s)가 0에 가까워지도록 하기 위해 전달함수를 변형한 것으로, G(s)가 큰 값일수록 C(s)/R(s)는 작아지게 된다.67. 주파수 60Hz의 정현파 교류에서 위상차 π/6(rad)은 약 몇 초의 시간 차인가?
68. R-L-C 직렬회로에서 소비전력이 최대가 되는 조건은?




"가 정답입니다.69. 유도전동기의 고정손에 해당하지 않는 것은?
70. 시스템의 전달함수가
으로 표현되는 2차 제어시스템의 고유 주파수는 약 몇 rad/sec 인가?
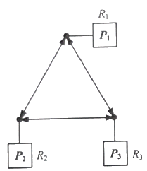
71. 접지 도체 P1,P2, P3의 각 접지저항이 R1, R2, R3이다. R1의 접지저항(Ω)을 계산하는 식은? (단, R12 = R1 + R2, R23 = R2 + R3, R31 = R3 + R1 이다.)




"이다.72. 그림의 신호흐름선도에서 C(s)/R(s) 의 값은?
73. 권선형 3상 유도전동기에서 2차 저항을 변화시켜 속도를 제어하는 경우, 최대 토크는 어떻게 되는가?
74. 계전기 접점의 아크를 소거할 목적으로 사용되는 소자는?
75. 동작 틈새가 가장 많은 조절계는?
76. 다음 그림은 무엇을 나타낸 논리연산 회로인가?
77. 목표치가 정해져 있으며, 입·출력을 비교하여 신호전달 경로가 반드시 폐루프를 이루고 있는 제어는?
78. 오픈 루프 전달함수가
인 단위궤환계에서 단위계단입력을 가하였을 때의 잔류편차는?
이므로, 잔류편차는 1/(1+Kp) 이다. 여기서 Kp는 단위계의 고정점 이동량이다. 단위계단입력을 가하면, 단위계의 고정점 이동량은 1이므로 Kp=1이 된다. 따라서 잔류편차는 1/(1+1) = 1/2 이다. 하지만, 단위궤환계는 안정시스템이므로 잔류편차는 0이 된다. 따라서 정답은 "0"이다.79. 어떤 회로에 10A의 전류를 흘리기 위해서 300W의 전력이 필요하다면, 이 회로의 저항(Ω)은 얼마인가?
80. 그림과 같은 유접점 회로의 논리식과 논리회로명칭으로 옳은 것은?
, NOT 회로
, NOR 회로