1과목: 콘크리트재료 및 배합
1. 콘크리트에 사용되는 혼화제에 관하여 옳지 않은 것은?
2. 골재의 단위용적질량 시험에 대한 설명으로 틀린 것은?
3. 콘크리트 배합에 관한 일반적인 내용에 대한 설명으로 옳은 것은?
4. 콘크리트용 혼화재료 중 실리카 퓸에 대한 설명으로 틀린 것은?
5. 실제 사용한 콘크리트의 40회 압축강도 시험으로부터 압축강도(MPa)잔차의 제곱을 구하여 합한 값이 624 이었다. 콘크리트의 배합강도를 결정하기 위한 압축강도의 표준편차를 구하면?
6. 굵은 골재의 최대치수가 20mm인 시료로 밀도 및 흡수율 시험(KS F 2503)을 실시하고자 한다. 1회 시험에 사용하는 시료의 최소 질량으로 옳은 것은? (단, 보통 골재를 사용한다.)
7. 잔골재의 밀도 및 흡수율시험에서 다음과 같은 데이터를 얻었을 때 흡수율(%)은?
8. 다음의 시멘트 중에서 해안가 혹은 해수와 접하는 곳의 철근콘크리트 구조물 공사에 가장 적합한 것은?
9. 잔골재율(S/a)이 47.5%, 단위골재의 절대용적이 700ℓ, 잔골재의 표건밀도가 2.62g/cm3일 때 단 위잔골재량은?
10. 다음 중 시멘트의 분말도를 구하기 위한 시험은?
11. 체가름 시험결과 잔골재 조립률 2.65, 굵은 골재 조립률 7.38 이며 잔골재 대 굵은 골재비를 1:1.6으로 할 때 혼합골재의 조립률은?
12. 콘크리트 설계기준압축강도가 25MPa이고 30회 이상의 압축강도 시험 실적으로부터 구한 표준 편차가 3.5MPa이라면 배합강도는?
13. 콘크리트용 플라이 애시의 품질을 평가하기 위한 시험 항목으로 적합하지 않은 것은?
14. 알루미나 시멘트의 특성에 관한 다음 설명 중 옳지 않은 것은?
15. 다음 혼화제중 콘크리트의 배합수량에 미치는 영향이 가장 적은 것은?
16. 콘크리트 배합설계에서 단위시멘트량이 390kg, 단위수량이 185kg, 공기량이 3%라면 단위골재량의 절대용적은? (단, 시멘트 밀도는 3.15g/cm3이다.)
17. 콘크리트의 배합에 있어서 단위시멘트량에 관한 일반적인 설명으로 옳지 않은 것은?
18. 다음 중 골재의 모양으로 적합한 것은?
19. 포졸란 작용이 있는 혼화재가 아닌 것은?
20. 콘크리트 배합설계시 물-결합재비를 결정할 때 고려하여야 할 사항으로 거리가 먼 것은?
2과목: 콘크리트제조, 시험 및 품질관리
21. 콘크리트의 휨강도 시험에서 공시체에 하중을 가하는 속도로 옳은 것은?
22. 레디믹스트 콘크리트 공장의 선정 시 고려사항으로 거리가 먼 것은?
23. 다음 용어에 대한 설명 중 그 내용이 잘못된 것은?
24. 초기재령 콘크리트에 발생하기 쉬운 균열의 원인이 아닌 것은?
25. KS F 4009(레디믹스트 콘크리트)에서 정한 레디믹스트 콘크리트의 호칭강도에 포함되지 않는 것은?
26. 콘크리트의 블리딩 시험에 대한 설명으로 틀린 것은?
27. 콘크리트의 압축강도 시험결과에 대한 설명으로 틀린 것은?
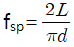
28. 다음 그림과 같은 콘크리트의 쪼갬 인장강도시험에서 인장강도(fsp)를 구하는 공식으로 옳은 것은? (단, 공시체의 직경은 d, 최대 하중은 P, 공시체의 길이는 L, 원주율은 π이다.)




29. 콘크리트 재료의 계량에 대한 설명으로 틀린 것은?
30. 콘크리트의 워커빌리티 및 반죽질기에 영향을 주는 요소에 대한 설명으로 틀린 것은?
31. 품질관리의 7가지 도구 중 아래의 표에서 설명하고 있는 것은?
32. 굳지 않은 콘크리트의 워커빌리티 측정법 중 포장콘크리트와 같이 평면으로 타설된 콘크리트의 반죽질기를 측정하는 데 편리한 측정법은?
33. 다음 중 부착강도에 대한 설명으로 틀린 것은?
34. 관리도에서 데이터, 즉 측정값의 특성에 따라서 계량값 관리도와 계수값 관리도로 나눌 수 있다. 이중 계량값 관리도의 적용이론은?
35. 콘크리트의 크리프에 대한 설명으로 틀린 것은?
36. 콘크리트 구조물의 비파괴시험법의 적용에 대한 설명으로 틀린 것은?
37. 콘크리트의 각 재료의 계량허용오차로 옳은 것은?
38. 보통 포틀랜드 시멘트를 사용한 콘크리트의 압축강도(MPa)를 측정한 결과가 아래의 표와 같을 때 범위(R)을 구하면?
39. 콘크리트의 품질관리 계획을 작성할 때의 고려사항에 대한 설명으로 틀린 것은?
40. 비비기 시간에 대한 사전 실험을 실시하지 않은 경우 강제식 믹서를 사용할 때의 비비기 시간은 믹서 안에 재료를 투입한 후 몇 초 이상을 표준으로 하는가?
3과목: 콘크리트의 시공
41. 고강도 콘크리트의 시공에 대한 설명으로 틀린 것은?
42. 수중 콘크리트의 배합에 대한 설명으로 틀린 것은?
43. 다음 중 습윤양생방법에 포함되지 않는 것은?
44. 팽창콘크리트의 품질과 관련하여 틀린 것은?
45. 수밀 콘크리트의 배합에 대한 설명으로 틀린 것은?
46. 유동화 콘크리트에 대한 설명으로 틀린 것은?
47. 속이 빈 원통형 콘크리트 제품의 제조에 사용하는 다짐방법 중 가장 정합한 방법은?
48. 콘크리트 공장제품의 특징을 설명한 것으로 틀린 것은?
49. 경량골재 콘크리트의 제조 및 시공에 대한 설명으로 틀린 것은?
50. 고강도 콘크리트에 대한 설명으로 틀린 것은?
51. 콘크리트 구조물은 변형이 구속되면 균열이 발생한다. 그래서 미리 어느 정해진 장소에 균열을 집중시킬 목적으로 소정의 간격으로 단면 결손부를 설치하여 균열을 강제적으로 생기게 하는 균열유발 이음을 설치하는 것이 좋다. 이러한 균열유발 이음의 간격 및 단면의 결손율에 대한 설명으로 옳은 것은?
52. 포장용 시멘트 콘크리트의 배합기준에서 공기연행 콘크리트의 공기량 옳은 것은?
53. 프리플레이스트 콘크리트에 사용하는 잔골재 조립률의 범위로 적합한 것은?
54. 매스콘크리트로 다루어야 하는 구조물 부재치수의 일반적인 표준에 대한 아래 문장의 ( )에 알맞은 수치는?
55. 해양 콘크리트 구조물에 쓰이는 콘크리트의 설계 기준 강도는 몇 MPa 이상으로 하여야 하는가? (단, 콘크리트 표준시방서의 규정을 따른다.)
56. 숏크리트 작업에 대한 설명으로 틀린 것은?
57. 재령 24시간에서 숏크리트의 초기 압축강도 표준값은?
58. 일평균 기온이 10°C 이상, 15°C 미만인 경우 보통포틀랜드 시멘트를 사용한 콘크리트의 습윤양생 기간의 표준으로 옳은 것은?
59. 시공이음에 대한 설명으로 틀린 것은?
60. 유동화 콘크리트에서 베이스 콘크리트를 유동화 시키는 제조방식에 해당되지 않는 것은?
4과목: 콘크리트 구조 및 유지관리
61. 그림과 같은 콘크리트 보의 균열원인으로서 가장 관계가 깊은 것은?(문제 복원 오류로 그림이 없습니다. 정확한 그림 내용을 아시는분 께서는 오류신고 또는 게시판에 작성 부탁드립니다.)
62. 굳지 않은 콘크리트에 발생하는 균열 중 침하균열에 대한 설명으로 틀린 것은?
63. 아래 그림과 같은 단철근직사각형 보의 공칭모멘트강도(Mn)는? (단, fck=24MPa, fy=400MPa)
64. 탄소섬유 보강공법의 일반적인 시공 순서로 옳은 것은?
65. 철근 콘크리트의 휨설계에 대한 기본 가정에 관한 내용으로 틀린 것은?
66. 철근콘크리트 보의 설계시 모멘트 강도 계산에서 일반적으로 사용되는 블록의 형태는?
67. 구조물의 내화성을 증대시키기 위한 대책으로 틀린 것은?
68. 다음과 같은 단철근 직사각형단면 보가 균형철근비를 가질 때 중립축까지의 거리 c는 얼마인가? (단, fck=28MPa, fy=400MPa, d=450mm)
69. 콘크리트의 중성화에 관한 설명 중 틀린 것은?
70. 철근콘크리트의 알칼리골재반응에 의한 열화메카니즘에 관한 설명으로 가장 적당한 것은?
71. 인장 이형철근 D32(db=31.8mm)를 정착시키는데 필요한 기본 정착길이(ldb)는? (단, 보통중량 콘크리트로서 fck=28MPa, fy=400MPa)
72. 아래 그림과 같은 단면을 가지는 단철근 직사각형보에 요구되는 최소 철근량(A8)은? (fck=28MPa, fy=400MPa)
73. 콘크리트 구조설계에서 피로를 고려하지 않아도 되는 강재의 종류별 응력범위를 나타낸 것으로 틀린 것은?
74. 발생된 손상이 안정성에 심각한 영향을 주지 않는다고 판단되면 보수 조치를 행한다. 다음의 공법 중 보수 공법이 아닌 것은?
75. 1방향 철근콘크리트 슬래브에서 수축ㆍ온도 철근의 간격에 대한 설명으로 옳은 것은?
76. 콘크리트 구조설계에 사용되는 강도감소계수에 대한 설명으로 틀린 것은?
77. 나선철근 기둥에서 축방향철근의 최소 개수로 옳은 것은?
78. 콘크리트 부재에 외부 케이블공법을 사용하여 보강하고자 할 때 적용하기 가장 부적합한 부재는?
79. 다음 비파괴시험법 중 철근부식평가를 위한 시험으로 거리가 먼 것은?
80. 균열의 폭을 측정할 수 있는 방법이 아닌 것은?