1과목: 소음진동개론
1. 가로 7m, 세로 3.5m의 벽면밖에서 음압레벨이 112dB이라면 15m떨어진 곳은 몇 dB인가? (단, 면음원 기준)
2. 소음의 영향으로 거리가 먼 것은?
3. 지향지수가 6dB일 때 지향계수는?
4. 중심주파수 750Hz일 때 1/1옥타브밴드 분석기(정비형 필터)의 상한주파수는?
5. 진동의 영향에 관한 설명으로 옳은 것은?
6. 다음 중 흡음감쇠가 가장 큰 경우는?
7. 다음 주파수 범위(Hz)중 인간의 청각에서 가장 강도가 좋은 것은?
8. 다음은 자유진동의 해법 중 어떤 방법에 관한 설명인가?
9. 음파의 종류에 관한 설명으로 옳지 않은 것은?
10. 다음은 인체의 귓구멍(외이도)를 나타낸 그림이다. 이 때 공명 기본음 주파수 대역은? (단, 음속은 340m/s 이다.)
11. 지반을 전파하는 파에 관한 설명으로 옳지 않은 것은?
12. 항공기 소음의 특징에 관한 설명으로 가장 거리가 먼 것은?
13. 진동레벨 산정 시 수직보정곡선에서 주파수대역이 8 ≤ f ≤ 90Hz 일 때 보정치 물리량(m/s2)은?


14. 청력에 관한 내용으로 옳지 않은 것은?
15. 그림과 같이 질량은 1kg, 100N/m 강성을 갖는 스프링 4개가 연결된 진동계가 있다. 이 진동계의 고유진동수(Hz)는?
16. 실정수 200m2인 실내 중앙의 바닥 위에 설치되어 있는 소형기계의 파워레벨이 100dB 이었다. 이 기계로부터 5m 떨어진 실내의 한 점에서의 음압레벨(SPL)은?
17. 마스킹(masking)효과에 관한 설명으로 옳지 않은 것은?
18. 인체 귀의 구성요소 중 초저주파소음의 전달과 진동 에 따르는 인체의 평형을 담당하고 있는 부분은?
19. 아래 그림과 같이 진동하는 파의 감쇠특성으로 적합한 것은? (단, 감쇠비는 ξ이다.)
20. 옥외의 자유공간에 설치된 무지향성 소음원의 음향파워레벨이 105dB 이다. 이 소음원으로부터 20m 떨어진 곳에서의 음압레벨은?
2과목: 소음방지기술
21. 콘크리트(면적 30m2, TL=40dB)와 유리창(면적 10m2, TL=15dB)으로 구성된 벽이 있을 때 유리 창을 3m2만큼 열었다. 이 때의 총합투과손실(dB) 은?
22. 평균 흡음율이 0.3이고, 내부표면적이 500m2인 건물의 실정수는?
23. 구멍직경 8.5mm, 구멍간 상하좌우간격 22mm, 두께 15mm인 다공판을 30mm의 공기층을 두고 설치할 경우 공명주파수는 약 얼마인가? (단, 구멍의 크기가 음의 파장에 비해 매우 적고, 음속은 340m/s 이다.)
24. 균질의 단일벽 두께를 2배로 할 경우 일치효과의 한계주파수는 어떻게 변화 되겠는가? (단, 기타 조건은 일정하다.)
25. 직관 흡음 덕트형 소음기에 관한 설명으로 가장 거리가 먼 것은?
26. 어떤 공장내에 아래의 조건을 만족하는 A실과 B실이있다. 잔향시간 측정방법에 의한 A실의 잔향시간을3초라 할 때, B실의 잔향시간은?
27. 1.0m×2.5m 출입문의 투과손실을 25dB 이상으로설계하려고 한다. 출입문 주위 틈새의 면적은 몇m2이하로 해야 되는가? (단, 틈새 이외의 벽체부분은 차음성능이 충분히 크다고 가정한다.)
28. 파이프 반경이 0.5m인 파이프 벽에서 전파되는 종파의 전파속도가 5326m/sec인 경우 파이프의 링 주파수는?
29. 벽체의 한쪽 면은 실내, 다른 한쪽 면은 실외에 접한 경우 벽체의 투과손실(TL)과 벽체를 중심으로 한 현장에서 실내ㆍ외간 음압레벨 차(NR, 차음도)와의실용관계식으로 가장 적합한 것은?
30. 면밀도가 각각 100kg/m2, 150kg/m2인 중공이중 벽과 면밀도가 250kg/m2인 단일벽의 투과손실이 25Hz에서 일치한다고 할 때, 이중벽의 공기층 두께 는 실용식 사용시 얼마가 되겠는가?
31. 음향투과등급(sound transmission class : STC)은 1/3옥타브대역으로 측정한 차음자재의 투과손실을 나타낸 것인데, 다음 중 음향투과등급을 평가하는 방법으로 옳지 않은 것은?
32. 반무한 방음벽의 회절감쇠치는 15dB, 투과손실치는 20dB,일 때, 이 방음벽에 의한 삽입손실치는? (단, 음원과 수음점이 지상으로부터 약간 높은 위치 에 있다.)
33. 팽창형 소음기의 입구 및 팽창부의 직경이 각각 55cm, 125cm일 경우 기대할 수 있는 최대투과손실은?
34. 단일벽의 차음특성 커브에서 질량제어영역의 기울기특성으로 옳은 것은?
35. 소음을 저감시키기 위해 아래 그림과 같은 흡음챔버를 설계하고자 한다. 챔버 내의 전체 표면적이 20m2이고, 챔버 내부를 평균흡음율이 0.53인 흠음재로 흡음처리 하였다. 흡음챔버의 규격 등이 다음과 같을 때 이 흡음챔버에 의한 소음감쇠치는 몇 dB로 예상되는가? (단, 챔버출구의 단면적 : 0.5m2, 출구 – 입구사이의 경사길이(d) : 5m, 출구 – 입구사이의 각도( Ɵ ): 30° )
36. 실내의 흡음성능을 높이기 위한 흡음재료 선택 및 사용에 관한 설명으로 가장 거리가 먼 것은?
37. 고음역의 중공이중벽 통과주파수대역에서 투과손실이 최대가 되기 위한 주파수(f)는? (단, c는 음속, d는 공기층의 두께, n은 정의 정수 이다.)




38. 다음 중 고체음에 대한 방지대책으로 거리가 먼 것은?
39. 한 근로자가 서로 다른 3장소에서 작업하고 있다. 88dB(A) 장소에서 2시간, 92dB(A) 장소에서 3시 간 작업을 하였으며, 3시간 동안은 소음에 폭로되지 않은 장소에서 작업했다면 소음폭로평가(NER) 는? (단, 88dB(A) 에서는 6시간, 92dB(A)에서는 6시 간의 폭로 시간이 허용된다.)
40. 블록벽, 유리창, 출입문, 문틈으로 구성된 벽체가 있다. 벽체 구성부의 면적과 투과율은 아래표와 같을 때 출입문이 열리기 전과 완전히 열린 후 총합투과손실의 차이(dB)는?
3과목: 소음진동 공정시험 기준
41. 다음 중 배경소음에 해당하는 것은?
42. 발파소음 평가 시 대상소음도에 시간대별 보정발파횟수에 따른 보정량을 보정하여야 한다. 시간대별 보정발파횟수가 8회일 경우 보정량은 얼마인가?
43. 다음 소음계의 기본 구성도 중 각 부분의 명칭으로 가장 적합한 것은? (단,
순이며, 4 교정장치, 6 동특 성 조절기, 7 출력단자, 8 지시계기 이다.)
44. 항공기소음의 소음한도 측정조건으로 가장 거리가 먼 것은?
45. 규제기준 중 발파진동측정에 관한 사항으로 옳지 않은 것은?
46. 다음 중 소음 측정기의 청감 보정회로를 C 특성에 놓고 측정한 결과치가 A 특성에 놓고 측정한 결과치보다 클 경우 소음의 주된 음역은?
47. 환경기준 중 소음측정방법에 관한 사항으로 옳지 않은 것은?
48. 소음ㆍ진동 공정시험기준상 진동에 관한 총칙 중 진동레벨계의 지시치는 다음 중 어떤 값인가?
49. 항공기소음한도 측정결과 일일 단위의 WECPNL이 86이다. 일일 평균최고소음도가 93dB(A)일 때, 1 일간 항공기의 등가통과횟수는?
50. 압전형 진동픽업의 특징에 관한 설명으로 옳지 않은 것은? (단, 동전형 진동픽업과 비교)
51. 항공기소음한도 측정을 위한 소음계의 청감보정 회로 및 동특성으로 옳은 것은?
52. 항공기소음을 소음도 기록기를 사용할 경우에 1일 단위의 WECPNL을 구하는 공식에서 1일간 항공기의등가통과횟수인 N을 구하는 식으로 옳은 것은? (단, N1 : 0시에서 07시까지의 비행횟수, N2 : 07시에서 19시까지의 비행횟수, N3 : 19시에서 22시까지의 비행횟수, N4 : 22시에서 24시까지의 비행횟수)
53. 소음ㆍ진동 공정시험기준에 사용되는 용어의 정의로 옳지 않은 것은?
54. 다음 중 마이크로폰을 소음계와 분리시켜 소음을 측정할 때 마이크로폰의 지지장치로 사용하거나 소음계를 고정할 때 사용하는 장치는?
55. 다음 중 공장진동 측정자료 평가표 서식에 기재되어야 하는 사항으로 거리가 먼 것은?
56. 다음은 소음계 교정장치의 성능기준이다. ( ) 안에 가장 적합한 것은?
57. 소음의 환경기준 측정 시 밤 시간대(22:00~06:00)에는 낮 시간대에 측정한 측정지점에서 몇 시간 간격으로 몇 회 이상 측정하여 산술평균한 값을 측정소음도로 하는가?
58. 진동레벨계의 성능기준으로 옳지 않은 것은?
59. 진동배출허용기준 측정 시 진동픽업 설치장소로 부적당한 곳은?
60. 다음은 발파진동 측정과 관련한 배경진동 보정에 관한 기준이다. ( )안에 적합한 것은?
4과목: 진동방지기술
61. 불균형 질량 1kg이 반지름 0.2m의 원주상을 매분600회로 회전하는 경우 가진력의 최대치는?
62. 8개의 임펠러를 가지는 원심펌프가 1000rpm으로 회전하고 있다. 펌프 출구에서 생길 수 있는 물의 압력변화의 주기로 옳은 것은?
63. 가진력을 기계회전부의 질량불균형에 의한 가진력, 기계의 왕복운동에 의한 가진력, 충격에 의한 가진력으로 분류할 때, 다음 중 주로 충격가진력에 의해 진동이 발생하는 것은?
64. 공기 스프링의 특성으로 거리가 먼 것은?
65. 어떤 물체의 운동변위가
로 표시될 때의 주기는?
66.
으로 진동하는 진동계에서 감쇠고유진동수(Hz)는?
67. 중량 19N, 스프링정수 20N/cm, 감쇠계수가 0.1Nㆍs/cm인 자유진동계의 감쇠비는?
68. 방진재에 대한 다음 설명 중 옳지 않은 것은?
69. 주기가 0.25s, 가속도 진폭이 0.1m/s2인 진동의 속도진폭(cm/s)은?
70. 방진고무의 특성으로 옳지 않은 것은?
71. 다음 중 항상 전달력이 외력보다 큰 경우는? (단, f:강제진동수, fn:고유진동수)
72. 감쇠가 없는 스프링-질량 진동계에서 진동전달율은 0.9였다. 스프링을 그대로 두고 질량만을 바꾸어 진동전달율을 0.2로 개선하고자 한다. 바꾼 질량은 처음 질량의 약 몇 배인가?
73. 방진대책을 발생원대책, 전파경로대책, 수진측대책으로 분류했을 때, 다음 중 전파경로대책에 해당하는 것은?
74. 다음 중 동적흡진에 대한 설명으로 가장 적합한 것은?
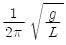
75. 그림과 같이 길이 L인 실 끝에 달려 있는 질량 m인단진자가 작은 진폭으로 운동할 때의 주기는? (단, g는 중력가속도이다.)




76. 무게가 70N인 냉장고 유닛이 600rpm으로 작동하고 있다. 이 때 4개의 같은 스프링으로 병렬로 냉장고 유닛을 지지한다면 전달율이 10%가 되게 하기위한 스프링의 1개당 스프링정수는? (단, 감쇠는 무시)
77. 감쇠에 관한 설명으로 옳지 않은 것은?
78. 비감쇠 강제진동에서 전달율(transmissibility)을 바르게 표시한 식은?




79.
의 운동방정식을 만족시키는 진동은 다음 중 어느 진동에 해당하는가?
80. 단조기가 있는 기계가공 공장(진동원)과 전자부품 공장(목표지점)이 인접해 있으며, 단조기로부터의 충격이 지반진동으로 전달되어 전자부품의 불량률이 높아 전자부품 공장 측에서 단조기에 의한 진동레벨을 5dB낮추고자 한다면 몇 m를 움직여야 하는가? (단, 단조기와 전자부품 공장과의 거리는 20m, 지반 전파의 감쇠정수는 0.03으로 계측되었으며, 주로 전파되는 파는 표면파로 가정한다.)
5과목: 소음진동 관계 법규
81. 소음진동관리법규상 농림지역의 야간 시간대의 철도교통 진동의 한도기준으로 옳은 것은?
82. 소음진동관리법상 용어의 정의로 옳지 않은 것은?
83. 방음벽의 성능 및 설치기준에 의거 방음벽의 성능평가 시 “구조”에 대한 세부검토항목으로 가장 거리가 먼 것은?
84. 소음진동관리법규상 공사장 방음시설 설치기준 중 방음벽시설기준으로 옳은 것은?
85. 소음진동관립법규상 운행자동차 중 경자동차의 배기 소음허용기준으로 적절한 것은? (단, 2006년 1월 1일 이후에 제작되는 자동차)
86. 소음진동관리법규상 배출허용기준에 맞는지를 확인하기 위하여 소음진동 배출시설과 방지시설에 대하여검사할 수 있도록 지정된 기관이라 볼 수 없는 것 은?
87. 소음진동관리법규상 공장소음 배출허용기준에서 다음지역과 시간대 중 배출허용기준치가 가장 엄격한 것은?
88. 소음진동관리법규상 관리지역 중 산업개발진흥지구에서의 낮시간대 공장소음 배출허용기준은 65dB(A) 이하이다. 동일한 조건에서 충격음이 포함되어 있는 경우 보정치를 감안한 허용기준치로 옳은 것은? (단, 기타 조건은 고려않음)
89. 소음진동관리법규상 대형 화물자동차의 운행자동차 소음허용기준으로 옳은 것은? (단, 2006년 1월 1일 이후에 제작되는 자동차를 기준으로 하며, 배기소음과 경적소음의 단위는 각각 dB(A) 및 dB(C)로 한다.)
90. 소음진동관리법령상 배출시설 설치허가를 받아야 하는 대통령령으로 정하는 지역 중 학교 또는 종합병원 등은 그 부지경계선으로부터 직선거리 최대 얼마이내의 지역인가?
91. 소음진동관리법상 법칙기준 중 1년 이하의 징역 또는 1천만원 이하의 벌금에 처하는 경우에 해당하지 않는 것은?
92. 소음진동관리법규상 소음발생건설기계의 종류에 해당하지 않는 것은?
93. 소음진동관리법규상 소음배출시설기준 중 마력기준이“10마력 이상”인 기계ㆍ기구가 아닌 것은?
94. 소음진동관리법규상 행정처분에 관한 사항으로 옳지 않은 것은?
95. 소음진동관리법상 운행차 소음허용기준 초과와 관련하여 운행차의 사용정지명령을 위반한 자에 대한 벌칙기준으로 옳은 것은?
96. 소음진동관리법규상 제작차 소음허용기준과 관련하여 재검사를 신청하고자 할 때 재검사 신청서에 첨부하여야 할 서류로 거리가 먼 것은?
97. 소음진동관리법상 항공기 소음 관리에 관한 설명으로 옳지 않은 것은?
98. 소음진동관리법규상 동력을 사용하는 시설 및 기계ㆍ기구에 속하는 진동배출시설기준에 해당하지 않는 것은?
99. 소음진동관리법규상 소음방지시설(기준)에 해당하지 않는 것은?
100. 소음진동관리법령상 제작차에 대한 인증을 면제할 수 있는 자동차에 해당하지 않는 것은?
112dB - 20log(15/7) = 92.8dB
여기서 20log(15/7)은 면음원에서 15m 떨어진 곳까지의 거리와 벽면까지의 거리(7m)의 비율에 대한 보정값이다. 이 값을 빼면 15m 떨어진 곳에서의 음압레벨을 구할 수 있다. 따라서 정답은 "92.8dB"이다.