1과목: 전자공학
1. 그림과 같은 회로에서 출력 전압 Vo에 해당되는 것은?




2. 그림과 같은 연산증폭기 회로의 전압증폭도는 Av? (단, R1 = 1[kΩ], R2 = 5[Ω] 이다.)
3. 수정 발진기가 어떤 임피던스 상태일 때 가장 안정한 발진을 지속하는가?
4. 다음 중 RS 플립플롭회로의 단점을 개선한 회로?
5. PN 접합시 접합의 양쪽에 어떠한 전도 전자나 정공이 존재하지 않는 영역을 무엇이라 하는가?
6. 이미터 접지증폭기에서 β=50, Ico=0.1[mA], IB=0.2[mA] 일 때 컬렉터 전류는 몇 [mA] 인가?
7. 반도체 도전율에 대한 설명 중 옳지 않는 것?
8. 어떤 정류기의 출력 평균전압이 1000[V] 이고, 맥동률이 2[%]라고 할 때 교류전압의 실효치는 몇 [V] 인가?
9. 다음 카르노도의 간략화한 불 대수식은?



10. 다음 논리소자 중에서 전력소모가 가장 적은 것은?
11. 낮은 임피던스의 부하에 대하여 큰 전류 이득을 얻으려 할 때 가장 적합한 증폭회로 방식은?
12. 상승시간(rise time)은 펄스 높이가 몇 [%] 에서 몇 [%] 까지 걸리는 시간인가?
13. 다음 중 연산증폭기에서 입력 부분의 주요 구성은?
14. 다음 중 멀티바이브레이터의 동작과 관계없는 것?
15. FET 증폭회로에서 취급되지 않는 파라미터는?
16. 다음 중 아래 회로에서 발진 조건을 만족시키기 위한 것은?
17. 다음 중 수신기에서 반송파로부터 변조신호를 분리하는 회로를 무엇이라 하는가?
18. 다음 중 송신측의 PCM 변조과정이 옳은 것?
19. FM 변조에서 변조지수가 3 이고, 신호주파수가 1000[Hz] 일 때 주파수 대역폭은 몇 [kHz] 인가?
20. 다음 중 다이오드의 작용에 속하지 않는 것?
2과목: 회로이론 및 제어공학
21. 그림과 같이 1개의 콘덴서와 2개의 코일이 직렬로 접속된 회로에 300[Hz]의 주파수가 공진한다고 한다. 콘덴서의 정전 용량 및 코일의 자기 인덕턴스를 각각 C=25[μF], L1=4.3[mH], L2=4.6[mH]라고 하면 코일간의 상호 인덕턴스 M 값은 약 몇 [mH] 인가? (단, 코일은 같은 방향으로 감겨져 있고, 동일 축상에 놓여져 있는 것으로 한다.)
22. 대칭 3상 전압이 a상 Va, b상 Vb=a2Va, c상 Vc=aVa일 때 a 상을 기준으로 한 대칭분 전압 중 V1은 어떻게 표시되는가?
23. 그림과 같은 4단자 회로의 4단자 정수 A, B, C, D에서 C의 값은?
24. 어느 함수가 f(t)=1-e-at인 것을 라플라스 변환하면?




25. 저항 R, 커패시턴스 C의 병렬회로에서 전원 주파수가 변할 때의 임피던스 궤적은?
26. 전송 선로에서 무손실일 때, L=96[mH], C=0.6[μF]이면 특성 임피던스 [Ω]는?
27. RC저역 여파기 회로의 전달함수G(jω)에서
인 경우
의 값은?
28. R=5[Ω], L=1[H]의 직렬회로에 직류 10[V]를 가할 때 순간의 전류식은?
29. V = 3+5√2 sinωt + 10√2 sin(3ωt –
)[V]의 실효치는 몇 [V] 인가?
30. 그림과 같은 순저항 회로에서 대칭 3상 전압을 가할 때 각 선에 흐르는 전류가 같으려면 R의 값은 몇 [Ω]인가?
31. 전달함수
으로 표시되는 제어 계통에서 직류 이득은 얼마인가?
32. 특성방정식 S2 + KS + 2K – 1 = 0인 계가 안정될 K의 범위는?



33. 어떤 제어계의 전달함수가
로 표시될 때, 이 계에 입력 x(t)를 가했을 경우 출력 y(t)를 구하는 미분방정식으로 알맞은 것은?




34. 특성방정식이 실수계수를 갖는 S의 유리함수일 때 근궤적은 무슨 축에 대하여 대칭인가?
35. 제어 목적에 의한 분류에 해당 되는 것은?
36. 샘플링된 신호를 다음 샘플링 신호와 직선으로 연결하는 홀드를 무엇이라 하는가?
37. 단위 부궤한 제어시스템(until negative feedback control system)의 개루프(open loop) 전달함수 G(s)가 다음과 같이 주어져 있다. 이 때 다음 설명 중 틀린 것은?
38. 상태방정식
, 출력방정식 y(t)=Cx(t)에서
,
,
일 때 아래 설명 중 맞는 것은?
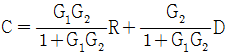
39. 그림과 같은 블럭 선도에서 C의 값은?




40. 다음 회로는 무엇을 나타낸 것인가?
3과목: 신호기기
41. 다음 중에서 직류 전동기의 속도 제어법이 아닌 것은?
42. 변압기의 누설리액턴스를 줄이는데 가장 효과적인 방법은?
43. 퍼센트 임피던스 4[%]인 변압기가 운전 중 단락 되었을 때 단락 전류는 정격 전류의 몇 배가 정도인가?
44. 직류전동기의 제동법 중 전동기를 발전기로 동작시켜 회전부가 갖는 기계적 에너지를 전기적 에너지로 변환 하여 열로 소비하는 제동방식은?
45. 전기선로전환기(NS형)에 사용되는 전동기의 기동 방식은 주로 어떤 방식이 사용되는가?
46. 열차의 곡선저항을 설명한 것으로 가장 옳은 것은?
47. 건널목 경보기를 보수를 하려고 한다. 잘못된 것은?
48. 회전자 입력 10[KW], 슬립 4[%]인 3상 유도전동기의 2차 동손은 몇 [KW] 인가?
49. 전기선로전환기의 마찰클러치에 대한 설명으로 틀린 것은?
50. 계전기 접점의 기호결선도이다. 유극 또는 3위 계전기 접점이 아닌 것은?




51. 정격 부하 20[A]에서 전부하 전압이 100[V], 무부하 전압 137[V] 일 때 전압 변동률[%]은?
52. 전동차단기에서 전동기의 클러치 조정은 차단봉 교체시 시행하여야 하며 전동기의 슬립전류는 몇 [A] 이하로 하여야 하는가?
53. 정거장에 진입할 열차에 대하여 정거장 안쪽으로 진입가부를 지시하는 신호기는?
54. 부흐홀쯔(Buchholz) 계전기로 보호되는 기기는?
55. 회전 변류기의 교류측 전압조정 방법에 속하지 않는 것은?
56. 전부하에서 동손 100[W], 철손 50[W]인 변압기가 최대 효율이 나타내는 부하[%]는?
57. 사이클로 컨버터란?
58. 3상 유도 전동기에서 동기 와트로 표시되는 것은?
59. 신호용 계전기 종류에서 직류 무극 계전기의 접점수는?
60. 보호계전기 중 발전기, 변압기, 모선 등의 보호에 사용 되는 것은?
4과목: 신호공학
61. 속도 조사식 ATS-S 지상자 설치에 대한 설명으로 옳지 않는 것은?
62. 정지, 주의, 감속 및 진행신호를 현시하는 다등형신호기의 도식기호는?




63. 출발신호기와 입환신호기를 소정의 위치에 설비할 수 없는 경우 열차 및 차량 정지표지에서 출발신호기와 입환신호기까지의 궤도회로내에 열차가 점유하고 있을 때 취급버튼을 정위로 쇄정하는 것을 무슨 쇄정이라 하는가?
64. 궤도회로의 극성에 관한 설명으로 옳은 것은?
65. 궤도회로 구성에 있어서 건널목의 401형 제어기의 회로구성은 다음 중 어느 방식으로 하는가?
66. 그림에서 진로조사계전기의 21RZR 의 제어조건으로 옳은 것은?
67. 자동폐색구간에서 최소운전시격에 영향을 주는 요소가 아닌 것은?
68. 운행관리시스템에서 EDP 와 CTC 에 접속되며 열차의 진로를 자동제어하는 장치는?
69. CTC(Centralized Traffic Control) 장치의 중 기능으로 볼 수 없는 것은?
70. 교류 NS형 전기선로 전환기의 슬립 전류가 기준치보다 작을 경우 어느 곳을 보수하여야 하는가?
71. 송전측에서 상용주파수를 1/2주파수로 변환하여 신호전류로 송전하고 송전 주파수로 착전측의 궤도 계전기에 전압을 인가하는 궤도회로 방식은?
72. 열차의 차축에 의하여 궤도회로의 전원을 단락하였을 때 전원장치에 과전류가 흐르는 것을 제한하고 전압을 조정하기 위해서 설치하는 것은?
73. 진로선별식 전기연동장치에서 전철선별계전기의 설치에 대한 설명으로 틀린 것은?
74. 경부고속철도의 궤도회로 현장설비 중 궤도와 UM71 궤도회로장치의 송신기나 수신기 사이의 임피던스 정합에 사용 되는 것은?
75. 지상자는 경보개시 지점에 설치하는데 여객열차에 해당하는 지상자 제어거리로서 신호기로부터 경보개시 지점을 산출하는 계산식은? (단, V는 열차속도[km/h]로서 폐색구간 운행속도의 최대값을 나타낸다.)




76. 진행 또는 주의 신호를 현시하기 위한 신호제어회로의 조건으로 볼 수 없는 것은?
77. 철도신호용 전원에 관한 설명으로 틀린 것은?
78. 복궤조 궤도회로의 각 레일에 전류를 측정한 결과 525A와 475A로 불평형 상태이었다. 이 궤도회로의 불평형률은 몇 % 인가?
79. 전철 제어계전기를 나타낸 기호는?
80. ATS(열차자동정지장치)의 동작 주체가 되는 시설 또는 설비로 다음 중 가장 적합한 것은?