1과목: 고급조사방법론 I
1. 서로 다른 복수의 사람들에 의해 입력된 자료를 SPSS Window 프로그램에서 하나로 통합하려 한다. 다음 중 바른 설명은?
2. 자료편집과정에서 발견한 응답되지 않은 설문 문항에 관한 다음의 설명 중 틀린 것은?
3. 추상적 개념을 측정가능한 형태로 정의하는 것은?
4. 다음 중 자료의 형태가 횡단연구에 적합한 것은?
5. 다음 ( )에 가장 알맞은 것은?
6. 어떤 학교의 교장 선생님은 학교 처벌이 학생들의 흡연을 줄이는지를 알아보기 위해 다음의 실험 방식을 취했다. 흡연 학생들을 무작위로 실험집단과 통제집단에 할당하였다. 그 다음 실험집단에 할당된 학생들은 일주일간 정학을 시키고, 통제집단에 할당된 학생들은 처벌하지 않고 그냥 훈방하였다. 이 때 사용된 실험 방식은?
7. 다음 중 조사 계획을 세울 때 포함하여야 할 사항으로 적합하지 않은 것은?
8. 조사자가 특정인의 응답을 규명할 수 있지만 본질적으로 공개하지 않을 것이라고 약속할 때 보장되는 조사윤리는?
9. 다음 중 가장 올바른 자료처리 순서는?
10. 실험연구에서는 연구결과가 왜곡되는 것을 방지하기위해 연구대상자가 연구에 참여하기 전에 그 연구의 목적을 알려주지 않는 것이 일반적이다. 그러나 연구가 끝난 후에 그들에게 진실을 말함으로써 애초에 어쩔 수 없이 속인것을 설명해준다. 이러한 절차를 무엇이라 부르는가?
11. 표집(sampling)에 관련된 용어 설명으로 틀린 것은?
12. 어떤 백화점 출입구에서 가전제품에 대한 만족도 조사를 하고 있다. 이런 조사는 다음 중 어느 것에 해당되는가?
13. A 평생교육원에 다니고 있는 교육생들을 대상으로 질문지를 이용하여 전수조사를 하려고 한다. 연령, 성별, 직업등과 같은 인구통계적 특성에 대한 질문의 위치로 가장 바람직한 곳은?
14. 측정과 척도에 관한 다음의 서술 내용 중 틀린 것은?
15. 교체패널조사(Rotating Panel Survey)가 비교체패널조사 (Nonrotating Panel Survey)에 비해 가지는 단점은?
16. 다음 중 패널연구와 동류집단연구 간의 공통점은?
17. 표본설계과정의 순서로 맞는 것은?
18. 다음 중 연구설계에 관한 설명 중 옳은 것은?
19. 다음은 무엇에 관한 설명인가?
20. 횡단연구(cross-sectional study)에 대한 설명으로 타당하지 않은 것은?
21. 질문지의 문항을 배열하는 과정에서 고려해야 할 내용이 아닌 것은?
22. 조사자의 조사관리에 관한 설명 중 타당하지 않은 것은?
23. 다음은 무슨 오류에 대한 설명인가?
24. 다음 중 계통표집(stratified sampling)이 무작위표집(random sampling)에 비해 가진 장점이 아닌 것은?
25. 우리나라 현행 인구센서스의 특징에 해당되지 않는 것은?
26. 가장 이상적인 형태의 표본프레임에 해당되는 것은?
27. 질문지를 작성한 후 시행되는 사전조사(pre-test)와 관계가 없는 것은?
28. 내용분석의 장점으로 타당하지 않은 것은 ?
29. 군집표본추출을 사용하게 될 때, 각 소집단의 집단 내 분포가 지녀야 할 특성으로 가장 바람직한 것은?
30. 누진세에 대한 태도와 소득 수준 사이에 통계적으로 유의 미한 관계가 나타나지 않다가 교육수준을 통제하자 유의미한 상관관계가 나타났다. 여기에서 교육수준과 같은 검정요인(test factor)을 무엇이라 하는가?
2과목: 고급조사방법론 II
31. 전수조사(census)와 표본조사 사이의 관계에 대한 설명으로 틀린 것은?
32. 과학적 방법론에 관한 포퍼(Karl Popper)의 이론과 거리가 먼 것은?
33. 과학적 연구의 기초개념에 대한 설명으로 틀린 것은?
34. 종단연구(longitudinal study)에 대한 설명으로 옳지 않은 것은?
35. 자료입력의 방법에 대한 설명으로 적절하지 않는 것은?
36. 실험설계의 타당성을 저해하는 외생변수 중 실험대상으로측정하고자 하는 결과변수의 수준이 매우 낮은 집단을 선정하였을 때 나타나기 쉬운 것은?
37. 인터넷 조사에는 패널의 PC에서 로그데이타를 수집하는패널로그 측정방식(Audience Centric Measurement)과 웹서버 단에서 로그를 분석하는 서버로그 측정방식(Site Centric Measurement)이 있다. 패널로그 측정방식이 서버로그 측정방식에 비해 갖는 장점이 아닌 것은?
38. 분석단위의 요건이 아닌 것은?
39. 다음 중 개인이 분석 단위가 되는 연구는?
40. 실험에서 X(독립변인)의 실험조작이 Y(종속변인)에 실제로 변화를 일으킨 정도를 측정하는 척도는?
41. 기술조사(descriptive research)의 특성이 아닌 것은?
42. 다음의 측정과 관련된 설명 중 가장 옳은 것은?
43. 다음 두 종류의 실험설계에 관한 내용 중 틀린 것은?
44. 표본의 크기와 관련된 설명 중 틀린 것은?
45. 전화번호부, 방송연감이나 기타 명부를 토대로 표본을 추출할 때 유리한 표본추출방법은?
46. 인과관계에 대한 설명으로 옳지 않은 것은?
47. 리커트 척도(Likert scales) 구성과 관련한 설명으로 틀린 것은?
48. 내용분석(content analysis)의 장점이 아닌 것은?
49. 집단이나 다른 집합체의 조사에 근거하여 얻어진 결과를 분석단위로서의 개인들에 대한 성격을 규정하기 위해 적용하는데 따르는 위험성을 의미하는 것은?
50. 자료항목별로 각 응답에 해당하는 숫자나 기호를 부여하는 과정은?
51. 실험설계의 구성요소와 가장 거리가 먼 것은?
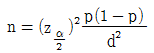
52. 보건복지부에서는 매년 초등학교 학생들의 신체 발육상태를 조사 비교하기위하여 전국 어린이들을 상대로 무작위 표본추출에 의하여 추출된 표본조사를 실시하고 있다. 금년에도 초등학교 6학년 어린이들에 대하여 중점적으로 신체검사를 실시하기로 하였다. 정밀도를 4cm로 하고, 신뢰도를 95.44%(이때의 정규분포 Z-score=2.0)로 하고자 한다. 그리고 지난해의 자료에 의하면 표준편차는 20cm라고한다. 표본 크기는 얼마가 되어야 하겠는가?
53. 우리나라 평생교육의 실태와 문제점을 파악하고 제도적 개선책을 마련하기 위한 설문조사를 실시하기로 하고, 질문의 적용가능성과 조사도구의 타당성 등을 검토하기 위하여 일차적으로 평생교육 전문가로 판단되는 사람 20명을 골라 이들을 대상으로 사전검사(pre-test)를 실시하였다고 하자. 이 조사에서 활용한 표본추출방법은 다음 중 어디에 속하는가?
54. 다음 중 순수실험설계가 아닌 것은?
55. 찬성-반대의 차원에서 응답자의 반응을 측정하기 위해 리커트형으로 질문하는 방식은?
56. 면접실시와 관련된 설명 중 틀린 것은?
57. 고학력 집단에 대한 조사에서 자원봉사에 대한 참여가 실제보다 많게 나오거나, 역술에 대한 의존 정도가 실제보다 낮게 나오는 것과 같은 사회적 당위의 문제를 해결하기 위해 사용하는 설문조사 방법은?
58. 질문문항의 배열에서 깔때기형 배열이란?
59. 다음에 제시된 질문들 중 문항 작성 원칙에 위배되지 않는 질문은?
60. 다음의 표본추출법과 가장 관계가 높은 것은?
3과목: 고급통계처리및분석
61. 확률표본 X1,...,Xn은 모평균을
으로 추정량을 제시할 수 있다.
의 표준오차(
의 표준편차)를 추정하고자 할 때 적절한 추정량은?




62. 4개 회사에서 판매하는 자동차의 매출액에 차이가 있는지를 알아보기 위하여 각 회사별로 5개의 대리점을 조사한 결과 총변동의 제곱합이 1560 이고, 처리에 의한 변동의 제곱합이 520 일 때 평균 오차제곱합은?
63. 4 종류 휘발유 (A,B,C,D) 의 연료효율에 대한 실험자료의 분석내용이 표에 분석되어 있다. 4 명의 운전자 (갑, 을, 병, 정)와 4 종류의 자동차 (가,나,다,라)를 대상으로 실험하고자 한다. 최소 실험횟수를 통해서 연료효율의 차이를 검정하는 통계 실험에 대한 설명이다. 다음 중 맞는 설명은? (단, 유의수준 5%에서 F(3,6)=4.76 이다.)
64. 다음은 주성분 방법을 사용하여 얻은 인자분석의 결과이다. 이 결과로부터 인자 F1에 의한 기여율은?
65. 요인분석에서의 Heywood현상에 대한 설명으로 틀린 것은?
66. 주어진 확률표본으로 상정된 귀무가설을 기각할 수 있는 최소의 유의수준과 같은 것은?
67. 어느 선거구의 국회의원 선거여론조사에서 특정후보에 대한 지지율을 조사하고자 한다. 지난번의 조사에서 이 후보의 지지율이 45%이었으며 지지율의 95% 추정오차한계가 2.5%이내가 되도록 하는데 필요한 표본의 크기는?
68. 어떤 금융기관에서 신용카드 발급 대상자를 분류하기 위하여 정상집단 π1과 연체집단 π2로부터 각각 30개의 자료를 얻었다. 이 자료로부터 계산되어진 각각의 표본평균벡터와 표본공분산행렬이 다음과 같이 주어져 있을 때 피셔의 일차판별함수를 올바르게 구한 것은?
69. 완전확률화계획법(Completely Randomized Design)에 의한 기본 모형 및 가정은 다음과 같다. 위 모형에서 i는 반복수, j는 처리수를 나타낸다. 효과간에 차이가 있는지를 분산분석하고 싶다. 처리(집단간 변동)와 오차(집단내 변동)의 자유도를 각각 구하면?
70. 이변량 정규 분포를 따르는 변수 (X,Y) 가 평균이 각각 1, 2이고 분산이 1, 1이며 상관계수(correlation coefficient)가 0.5라고 하자. X의 값이 0인 경우의 Y의 조건부 분포는?
71. 새로운 전구를 개발하여 판매하는 회사가 있다. 판매하는 전구 중 36개를 랜덤추출하여 전구의 평균수명을 조사한 결과 평균이 2200, 표준편차가 96일 때 평균수명에 대한 95% 신뢰구간은?




72. 모수적 통계분석방법에서는 상관관계를 나타내는 척도로서 상관계수를 사용한다. 그러나 비모수적인 방법에서는 상관계수의 의미가 약해지므로 상관계수를 나타내는 비모수적 측도를 고려해야만 한다. 비모수적인 방법에서 상관성을 검증하는 방법은?
73. 두 확률변수 X1,X2의 평균과 분산이 모두 0과 1이고 공분산이 r이라 하면 두 확률변수를 하나의 선형형태인 주성분으로 축약할 경우 이 선형형태로 모든 변이를 잘 설명될 때의 r값은?
74. 모수적 검정과 비모수적 검정사이의 관계에 관한 설명으로 옳지 않은 것은?
75. 인터넷 사용의 급속한 성장과 함께 등장한 인터넷 역기능중의 하나가 인터넷 중독이다. A대학교 인터넷 중독센터에서 개발한 인터넷 중독 예방프로그램이 인터넷 중독 예방에 효과가 있는가를 알아보고 싶다. 그래서, A대학교에서는 무작위적(R)으로 두 집단(실험집단, 통제 집단)에 각각 20명씩 배정한 후에 인터넷중독 자가진단검사 결과 (O1,O3)를 얻었다. 실험집단에는 인터넷중독 예방프로그램 6개월 과정(X1)을 교육시켰으며, 통제 집단에 대해서는 실험 집단의 영향이 미치지 않게 실험 집단과 격리시켰으며 교육시키지 않은 상태로 두었다. 6개월 후에 인터넷중독 자가진단검사를 하여 결과(O2,O4)를 얻었다. 위에서 설명한 설계를 기호로 나타내면 다음과 같다. 인터넷중독 예방프로그램이 효과가 있는지를 알 수 있는 올바른 검정 방법은? (단, 사전진단검사와 사후진단검사 간에는 서로 영향을 전혀 미치지 않는다고 가정하자.)
76. 다음은 요인분석(factor analysis)에 대한 설명으로 옳지 않은 것은?
77. 회귀분석에서 다중공선성에 대한 설명으로 옳지 않은 것은?
78. 군집분석은 관측된 개체간의 거리 즉 비유사성을 어떻게 정의하느냐에 따라서 달라진다. 개체 i의 관측이 xi=(xi1,∙∙∙, xip), i=1, ∙∙∙, n 이라고 하자. 두 개체 사이의 거리를 측정할 때 변수간 상관의 방향 및 크기를 고려한 거리는?
79. 어떤 회사에 근무하는 컴퓨터 전문인들의 급료의 차이를 알아보기 위하여 다중회귀모형y=β0+β1x1+β2x2+β3x3+ε를 사용하였다. 여기서 설명변수x1은 경력연한, 설명변수 x2는 성별변수로서 남자이면 0, 여자이면 1 그리고 설명 변수x3는 관리직이면 1, 스텝직이면 0이다. 주어진 자료로부터 추정되어진 회귀직선은
이다. 그러면 관리직인 여자의 추정된 회귀직선은?




80. 다음의 자료가 구간 (0,1)에서의 균일분포(uniform distribution)를 따르는지를 일표본 콜모고로프-스미노프 검정을 실시할 때 검정통계량의 값은?
81. 어느 신제품의 선호도를 알아보기 위하여 1,000명의 응답자들을 랜덤하게 추출하여 조사를 실시하였다. 그 결과 700명이 신제품을 선호하는 것으로 나타났다. 선호도에 대한 표준오차의 추정값은?


82. 한국평화당은 보수 집단을 대표하는 정당이다. 한국평화당은 여러 당들의 치열한 이미지 경쟁속에서 생존하기 위하여 국민들에게 더 친근한 정당으로 인식될 수 있는 효과적인 접근 방법을 모색하고 있다. 이 당의 조사 담당부장은 사전 조사로서 자기 당에 우호적인 태도를 보이는 사람과 부정적인 태도를 보이는 사람들을 각각 100명씩 선정하여 연령과 소득을 조사하였다. 조사 결과 얻어진 Fisher의 선형 판별식은 다음과 같다. 이 식은 잘 판별된다고 가정하자.[단위:연령(세), 월소득(만원)] 그렇다면, 새로 입단 원서를 낸 A는 나이 50세, 소득 월100만원, B는 나이 20세, 월소득 200만원이라면, 두 사람은 각각 어떤 집단에 속할까?
83. 중선형회귀모형(Multiple Linear regression model)에 대해 회귀 진단 방법으로 진단한 결과 문제가 있는 경우와 해결 방안의 연결이 잘못된 것은?
84. 어느 지역에서 현 정부에 대한 지지율이 남녀별로 다른지를 알아보기 위하여 남녀 각각 200명씩 조사한 결과 다음의 데이터를 얻었다. 남녀별로 지지율에 차이가 있는지를 검정하면 어느 것인가?
85. 어떤 직물의 가공시 처리액의 농도가 직물의 인장강도에 영향을 미치는지의 여부를 조사하기 위해 세가지 농도 A1, A2, A3에서 각각 반복 5회 총 15회를 랜덤하게 처리한 후 인장강도를 측정한 결과가 다음과 같다. 농도에 따른 인장강도에 차가 있는지를 알아보기 위한 F비의 값은?
86. 다음 자료는 A시에서 지난 1997년부터 2003년까지 7년 동안 매월 7월 한달 동안 조사한 삼계탕과 오리탕 값의 자료이다. 스피어만의 순위 상관계수 값은?
87. 한 정유회사의 휘발유는 소형차인 경우 1ℓ당 15km를 갈수 있다고 공표되어 있으나, 소비자 단체에서는 이 주장이 옳지 않음을 입증하려고 한다. 다음은 5대의 소형차를 랜덤으로 추출하여 측정한 1ℓ당 주행거리이다. 귀무가설 1ℓ당 15km 조건하에서 윌콕슨부호순위 검정통계량은?
88. 한국여론 조사회사는 크기 n 의 무작위 표본을 추출하여 다가오는 선거에서 A 후보의 지지율을 추정하고자 한다. 신뢰 수준을 0.99로 하여 실제 지지율이 표본지지율에서 0.005 이상 오차가 나지 않기를 원한다면 표본의 크기는 얼마로 해야 할 것인가?
89. 연구자가 관찰벡터를 두 모집단 π1과 π2중에서 어디에 분류시킬 것인지 연구하고 있다. 두 모집단에 관련된 밀도함수를 각각 f1(x), f2(x)라 하고, 잘못 분류하여 생기는 비용이 c(2|1)=40원, c(1|2)=70원 임을 알고 있다고 하자. 그리고 모든 관찰대상물 중의 60%가 π1에 속한다는 것을 알고 있다. 이제 새로이 관찰된 x0에서 밀도함수 값이 f1(x0)=0.2, f2(x0)=0.6라고 할 때 이 개체가 π2에서 나왔을 사후확률은?
90. 두대의 전자측정기를 이용하여 9명의 중학생 키를 측정하여 두 기계의 측정치가 차이가 있는지를 검정하는 방법으로 올바른 방법은? (단, 기계별로 측정된 자료는 정규분포를 따른다.)
91. 같은 종류의 강판을 제조하는 두 대의 기계가 있다. 각각의 기계가 만들어 내는 강판의 두께는 정규분포를 따른다고 하자. 이 두 대의 기계가 제조하는 강판을 표본으로하여 어느 기계가 강판의 두께를 일정하게 만드는지 가설검정하기 위해 쓰이는 검정통계량의 분포는?
92. 모비율추정에 필요한 표본의 크기를 구할 때 최대추정오차,
을 n에 대해 정리하면
가 된다. 만약 모비율 p에 대한 사전 정보가 없다면 표본의 크기를 구하기 위해 어떤 값을 이용해야 하는가?
93. 5개 독립변수를 이용하여 투자성 집단 g1과 투기성 집단 g2으로 판별하기 위해서 적합한 로지스틱 판별함수가 아래와 같다고 가정한다. 다음 설명 중에서 맞는 것은?
이므로 LX1을 제외한 다른 독립들이 일정한 수준을 유지할 때 사후확률의 승산 (odds)은 exp (1.07) = 2.92 이다.94. 세 변수 X, Y, Z 간에 다음과 같은 상관관계가 존재한다고 하자. 이 때 X 의 선형효과를 제거(adjust)한 후의 두 변수 Y와 Z 의 편상관계수는?
95. 실험계획법에서 분산분석시 이에 대한 설명으로 틀린 것은?
96. x 에 대한 y 의 회귀방정식이 y=5+0.4x라 할 때 x 와 y의 표준편차가 각각 3, 2라면 표본상관계수의 값은?
97. A, B 두 맥주에 대하여 시음전문가 6명에게 맛을 보게 한 다음, 맛을 점수로 나타내어 다음의 데이터를 얻었다. 얻어진 점수는 정규분포를 가정할 수 없다고 한다. 두 맥주의 맛에 차이가 있다고 할 수 있는가를 검정하고자 할 때, 가장 적합한 가설검정 방법은?
98. 어느 대학병원의 금주교실에서 상습 알코올중독자 5명을 대상으로 알코올 중독이 가정과 자녀에 미치는 영향이 어떤지에 대한 교육을 실시하였다. 이 프로그램을 하기 전과 후에 상습 알코올 중독자들의 알코올에 대한 이해도가 다음과 같이 측정되었다. 이 금주프로그램 참가 후에 알코올에 대한 이해도가 증가되었는지를 알아보기 위하여 부호검정을 한다고 할 때 검정통계량의 값은? (단, 부호검정을 할 때 부호의 기준은 X > Y 이다.)
99. 가설검정에 대한 설명으로 옳은 것은?
100. 랜덤하게 선택된 10명의 A초등학교 신입생에게 심리검사를 실시한 결과 책임감에 대한 득점이 다음과 같이 나타났다. A초등학교 신입생들의 심리 검사에서 책임감의 점수는 80점 이상이 되는지를 검정하고 싶을 때 사용할 수 있는 비모수 검정법은?