1과목: 금속조직학
1. 편정반응(Motnotecticreaction)을 옳게 표기한 것은?
2. 냉간가공된 순수한 구리를 상온에서 고온으로 서서히 연속적으로 가열할때 가장 많은 에너지를 방출하는 과정은?
3. 열간 인발한 알루미늄의 횡단면 조직을 관찰한 결과 중심부에는 매우 미세한 결정립으로 구성되어 있으나 가장자리는 현저한 조대입자의 생성이 관찰되었다. 이에 대한 원인과 방지대책으로 적합한 것은?
4. 금속의 응고시 핵생성 속도를 N, 결정 성장속도를 G로 표시할 때 다음 설명 중 틀린 것은?
5. 체심입방정(BCC), 면심입방정(FCC), 조밀육방정(HCP) 결정구조의 원자 충전율과 배위수로 옳은 것은? (단, 조밀육방정의 축 비(c/a)는 1.633이다.)
6. 인장시편의 초기 단면적이 78mm2이다. engineering strain 이 0.3일 때의 단면적은 몇 mm2인가?
7. 이온결합 고체내에서 발생하는 쇼트키(schottky) 결함은 다음 중 어느 결함에 속하는가?
8. 깁스의 상율에서 순수한 물이 불변점(invariant point)에서 갖는 자유도는?
9. 소성변형 후 풀림처리 하였을 때 쌍정이 나타나지 않는 것은?
10. FCC 결정구조에서 가장 큰 원자 밀도를 가진 면은?
11. 순금속과 달리 합금의 응고 조직성장에서 만나타나는 현상은?
12. 재결정 과정중에 일어나는 현상을 설명한 것으로 옳은 것은?
13. 금속이 합금이 되었을때 일반적으로 강화되는 것은 무엇때문인가?
14. 다음 그림에서 빗금친 abc 면의 밀러 지수로 옳은 것은?
15. 치환형 고용체의 경우 용질원자와 용매원자의 치환이 난잡하게 일어난다고 하면 고용체 격자정수의 값은 용질원자의 농도에 비례하게 된다. 이 관계의 법칙을 무엇이라 하는가?
16. 다음 중 철의 상과 조직에 대한 설명으로 옳은 것은?
17. 다음 중 확 산속도의 대소관계를 옳게 나열한 것은? (단, 빠른 것부터 느린 순서이다.)
18. 축 길이가 a = b ≠ c 이고, 축각이 α = γ = 90°, β = 120°인 결정계는?
19. 합금이 규칙격자를 형성하였을 때 나타나는 성질로 틀린 것은?
20. 다음 중 입방정의 면지수와 방향지수가 서로 직교 하는 것은?
2과목: 금속재료학
21. 오스테나이트계 스테인리스강의 입계부식을 방지하는 대책으로 적합하지 않은 것은?
22. 주철(Cast Iron)의 파면에 따른 분류로 옳은 것은?
23. 알루미늄합금에서 가공재는 냉간가공과 열처리에 의하여 기계적 성질이 달라지므로 질별(質別)기호를 붙여 사용한다. “W”의 기호가 의미하는 것은?
24. 금속초미립자의 특성을 설명한 것 중 옳은 것은?
25. ASTM 결정립도 번호 n, 100배 배율의 1in2에 존재하는 결정립수를 N 이라고 하면 N = n-1로 주어진다. 만약에 어떠한 재료가 200배 미세조직 사진에서 1in2에 64개의 결정립이 관찰된다면 ASTM 결정립도 번호는?
26. 순철의 Ac3변태에 관한 설명으로 틀린 것은?
27. 내열성 주물로서 공냉 실린더, 피스톤등에 사용되는 합금으로 조성 Al-Cu-Ni-Mg인 합금은?
28. 스털링 실버(sterling silver)는 어떠한 합금인가?
29. 해드필드(hadfield)강에 대한 설명으로 틀린 것은?
30. 다음 중 쌍정(twin)에 대한 설명 중 옳지 않은 것은?
31. 그래프는 Al-Cu계 합금에서 각종 상들의 용해도 곡선을 나타내고 있는 것이다. Xm조성을 갖는 합금의 경우 시효온도에 따른 석출상의 종류가가장 많은 시효온도 범위는 무엇인가?
32. 수소저장합금 재료가 갖추어야 할 구비 조건이 아닌 것은?
33. 마그네슘의 특징을 설명한 것 중 틀린 것은?
34. 다결정체인 탄소강 중에 함유된 P(인)의 영향으로 틀린 것은?
35. 강에서 내식성을 가장 많이 향상시키는 원소는?
36. 고속도공구강(SKH51)의 주요 합금 첨가원소로 옳은 것은?
37. Fe-C 상태도에 나타나지 않는 불변반응은?
38. 강에 쾌삭성을 향상시키기 위하여 첨가하는 원소가 아닌 것은?
39. 알루미늄 합금의 인성을 향상시키기 위한 방법으로 틀린 것은?
40. 구상흑연주철에서 스테다이트(steadite)의 다른 명칭은?
3과목: 야금공학
41. 탈산제의 구비조건에 대한 설명으로 틀린 것은?
42. 다음 내화물 중 Al2O3의 성분을 포함하고있지 않는 것은?
43. 부두아(boudouard) 곡선에서 Carbon Solution 반응을 설명한 것으로 틀린 것은?
44. 기체 운동론에 의하여 단원자 분자 이상기체 1몰의 평균 운동에너지 Ek와 PV적(積)사이에 PV=(2/3) Ek의 관계가 성립된다. 임의의 온도 T(K)에서 이상기체 1몰이 갖는 한 방향당 운동에너지는 에너지 등분칙에 의하여 어떠한 값이 되는가?
45. Pb의 융점은 1기압에서 325°C이다. 10기압에서의 융점(°C)은 얼마인가? (단, 융점에서의 밀도는 pPb(s)=11.01(g/cm3) pPb(l) = 10.65(g/cm3)이며, 융해 잠열은 5.35cal/g이다.)
46. 순수한 물질의 여러 상(고체, 액체, 기체) 사이에 평형이 이루어질 열역학적 조건으로 틀린 것은?
)가 같아야 한다.47. 라울(Raoult)의 법칙에 따르는 이상용액에서 용질물질 B의 활동도 계수 γB는?
48. 평형상수(Kp)를 사용하여 알아낼 수 있는 열역학적양 중-RTlnKp와 동일한 것은?
49. 이상기체(Cp=2.5R) 1몰이 상태 1(1기압, 298K)에서 상태2(5기압, 400K)로 변할때, 엔트로피 변화(△S)에 관한 설명 중 옳은 것은?
50. Gibbs free energy △G의 물리적 의미를 설명하는 표현 중 틀린 것은?
51. 황화광을 제련하는 경우에 이용되는 방법으로 동광의 자융제련(flash smelting)에 사용하는 건식제 련법은?
52. 라울형 이상용액의 혼합생성열(△HM,id)값으로 옳은 것은?
53. 25°C에서 3mole의 H2(g)와 1mole의 N2(g)를 섞어서 이상기체 혼합물을 생성할 때 △SM(Entropy of mixing)는 약 몇 cal/K인가??
54. aA + bB ⇄ cC + dD 인 가역반응에서 생성 물 과반응물의 mole수가 같다면 압력평형상수(Kp)와 농도 평형상수(Kc)와의 관계는? (단, A ,B, C, D는 이상기체로 가정한다.)
55. 고로의 내화재 품질 요구 조건으로 틀린 것은?
56. 다음 연소 반응식 중 틀린 것은?
57. Maxwell 관계식 중 틀린 것은?




58. 16.18%(0.1486 몰분율)Zn의 α황동에서 700°C일 때 Zn의 활동도 계수는? (단, 700°C에서 황동내의 Zn 증기압은 1.17mmHg, 순 Zn의 증기압은 60.5mmHg이다.)
59. 1몰의 이상기체가 일정 온도 300K에서 팽창을 할 때 엔탈피 변화(ΔH)값과 내부 에너지변화 (ΔU) 값의 차이인 ΔH-ΔU는?
60. 다음 중열 전도율의 단위로 옳은 것은?
4과목: 금속가공학
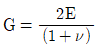
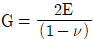
61. 인장축이 슬립면과 수직하거나 슬립면에 평행 할 때 이슬립계에 분해되는 분해전단 응력은?
62. 냉간 가공된 금속재료를 재가열 시 일어나는 Polygoni zation은 어느 단계에서 일어나는가?
63. 판재(sheet)의 프레스성형에서 나타나는 결함 중의 하나인 오렌지필(orangepeel)의 원인이 아닌 것은?
64. 다음 중 전탄성계수 G의 관계식으로 옳은 것은? (단, E 는 탄성계수, v는 포아송비이다.)




65. 알루미늄과 같이 적층 결함에너지가 클수록 나타나는 현상으로 옳은 것은?
66. 강의 연성-취성 천이온도를 측정하기 위하여 가장 널리 사용되는 시험법은?
67. 다음 중 나사나 기어등을 만들 때의 가공법으로 옳은 것은?
68. 면심입방격자(FCC)의 슬립면과 슬립방향을 바르게 나타낸 것은?
69. 다음 중 압하율을 크게 하는 조건으로 틀린 것은?
70. 금속결정 내에 전위밀도가 1011cm/cm3인경우이금속을 10-3/초의 전단 변형 속도로써 변형을 가했을 때 평균 전위 속도는 얼마인가? (단, 이때 Burgersvector는 10-8cm이다.)
71. Griffith가 제안한 파괴 원리는 어떠한 재료에 적용 되는가?
72. 다음 중 부품 등에 상호작용을 하여 파괴조건을 제어하는 인자가 아닌 것은?
73. 크리프 강도가 높은 재료가 갖추어야 할 재료 물성 또는 미세조직적 요건 중 틀린 것은?
74. σ11=450MPa, σ22=450MPa, σ33=0, σ12=150MPa 이용하여 구한 최대 전단응력의 일 때, Mohr 원을값은 몇 MPa인가?
75. 구리와 알루미늄을 인장하였을 때 구리의 가공경화 정도가 알루미늄의 가공경화 정도보다 더 큰 이유를 설명한 것 중 가장 적절 한것은?
76. 균질변형에서 경계마찰계수(m)에 대한 설명으로 틀린 것은?
77. 다음 중 피로에 대한 설명으로 틀린 것은?
78. 풀림한 저탄소강의 소성거동은 σ=650ε0.2MPa로 나타났다면 만일 이금속을 처음 단면수축율 20%, 냉간가공 후 다시 30% 냉간가공 하였다면 이러한 가공을 받는 금속의 항복강도는 약 얼마인가? (단,
으로 계산한다.)
79. 전위(dislocation)들의 모양을 직접 관찰할 수 있는 분석장비는?
80. 다음 중 Tresca 항복조건을 옳게 나타낸 것은? (단, σ1=최대 주응력, σ3=최소 주응력, σ0=1측 인장 항복응력, k =전단항복응력)
5과목: 표면공학
81. Al을 아노다이징 한 후의 착색처리 방법 중 일광에 퇴색하지 않고 견고하여 건축자재 등에 많이 사용되는 방법은?
82. 파커라이징에 대한 설명 중 틀린 것은?
83. 글로우방전(glow discharging)을 이용하여 강중에 질소를 침입, 확산시키는 표면경화법은?
84. 황동합금의 도금에서 금속 석출에 의한 도금방법의 설명으로 틀린 것은?
85. 구조용 합금강, 고망간강 ,고니켈강 등에서 융강 중의 수소 가스로 인하여 강의 파단면에 원형 또는 타원형으로 생기는 것으로 열처리 후 균열의 원인이 되는 것은?
86. 알루미늄을 양극으로 하여 일정한 전해액에서 적정 조건으로 분극시킬 경우 양극산화 피막이 생성된다. 공업적으로 쓰이고 있는 양극산화 피막의 전해질로 적당하지 않은 것은?
87. 다음 중 용체화처리에 대한 설명으로 틀린 것은?
88. 다음 중 화학적 기상도금(CVD)법으로 제조하는 박막으로 볼 수 없는 것은?
89. PVD에서 진공 증착층 미세구조의 변수가 아닌 것은?
90. 다음 중 탈탄에 관한 설명으로 틀린 것은?
91. 양극산화(Anodizing)법으로 생성된 알루미늄 산화 피막의 특성 중 틀린 것은?
92. 주사전자현미경에 의한 시료 관찰시 표면이 대전되면 주사전자선이 불균일하게 편향되므로 이상 콘트라스트를 발생시킨다. 이것을 방지하기 위하여 시료표면에 금속을 피복하여 관찰하는데 피복용 물질로 적합하지 않은 것은?
93. 용융아연도금에 대한 설명으로 틀린 것은?
94. 담금질 작업시 임계 구역과 위험 구역에서의 냉각방법은?
95. 전자현미경의 분해능은 프로브의 크기에 의하여 영향을 받는다. 프로브의 크기는 전자선의 회절효과와 렌즈의 수차에 따라서 결정되는데, 전자광학계의 결함에 의해서 발생되는 렌즈수차가 아닌 것은?
96. 다음 중 화학적 기상도금(CVD)의 반응형식에 속하지 않는 것은?
97. 화학적 기상도금(CVD)법의 특징으로 틀린 것은?
98. 강재의 진공열처리는 보통 중진공 정도에서 실시 한다. 이에 해당되는 10-3torr를 SI 단위 인파스칼(Pa)로 환산하면 얼마 정도인가? (단, 1기압은 1.01x105Pa이다.)
99. 착염욕에 대한 특징을 설명한 것 중 틀린 것은?
100. 건식도금에서 사용하는 증발원에 대한 설명으로 틀린 것은?
편정반응은 물질의 상태 변화에 따른 반응을 의미합니다. 이 중에서도 액상과 고상 간의 상태 변화를 나타내는 것이 "L(액상) ⇔ G(고상)+H(액상)" 입니다. 이 반응은 액상에서 고상과 액상으로 분해되거나, 고상과 액상에서 액상으로 합쳐지는 반응을 나타냅니다. 예를 들어, 물이 얼어서 얼음과 물로 분해되는 것이 이에 해당합니다.