1과목: 데이터 베이스
1. 릴레이션에서 튜플의 수를 의미하는 것은?
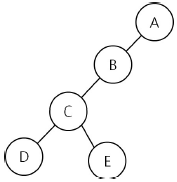
2. 다음 트리를 Post-order로 운행할 때 노드 C는 몇 번째로 검사되는가?
3. 중위 표기(Infix)로 표현된 다음 산술문을 후위표기(Postfix)로 옳게 변환한 것은?
4. 색인 순차 파일(Indexed Sequential Access Method file)의 인덱스 구역에 해당하지 않는 것은?
5. 시스템 카탈로그에 대한 설명으로 옳지 않은 것은?
6. 인사 테이블의 주소 필드에 대한 데이터 타입을 VARCHAR(10)으로 정의하였으나, 필드 길이가 부족하여 20바이트로 확장하고자 한다. 이에 적합한 SQL 명령은?
7. 뷰(view)에 대한 설명으로 옳은 것은?
8. 선형 자료구조에 해당하지 않는 것은?
9. 널(NULL) 값에 대한 설명으로 부적합한 것은?
10. 논리적 설계 단계에 해당하지 않는 것은?
11. 이진탐색(Binary Search)을 하고자 할 때 구비조건으로 가장 중요한 것은?
12. 데이터베이스 설계 단계 중 개념 스키마 모델링 및 트랜잭션 모델링과 관계되는 것은?
13. 다음 영문의 ( ) 안에 적합한 단어는?
14. A, B, C, D의 순서로 정해진 입력 자료를 스택에 입력하였다가 출력한 결과가 될 수 없는 것은? (단, 왼쪽부터 먼저 출력된 순서대로 나열하였다.)
15. 학생 테이블에서 학번에 300인 학생의 학년을 3으로 수정하기 위한 SQL 질의어는?
16. 다음과 같은 그래프에서 간선의 개수는?
17. 버블 정렬을 이용한 오름차순 정렬시 다음 자료에 대한 1회전 수행 결과는?
18. SQL의 데이터 조작문(DML)에 해당하는 것은?
19. 확장 ER모델에서 요소 객체들을 가지고 상위 레벨의 복합 개체를 구축하는 추상화 개념은?
20. 정렬에서 최악의 상황인 경우에 수행 속도가 가장 빠른 것은?
2과목: 전자 계산기 구조
21. 어떤 컴퓨터의 메모리 용량이 4K 워드이고, 워드 길이가 16비트일 때 AR(주소 레지스터)와 DR(데이터 레지스터)는 몇 비트로 구성하여야 하는가?
22. 비수치 데이터에서 마스크를 이용하여 불필요한 부분을 제거하는데 사용되는 연산은?
23. 다음 중 I/O채널(channel)에 대한 설명으로 틀린 것은?
24. 캐시 메모리에서 사용되지 않는 매핑 방법은?
25. 전가산기(full adder)의 합(sum)의 출력을 얻는 논리회로는?
26. 입∙출력 장치와 CPU 사이에 존재하는 속도의 차이로 발생하는 단점을 해결하기 위한 장치는?
27. 프로그램의 진행에 대한 제어 명령에 속하지 않는 것은?
28. RISC(Reduced Instruction Set Computer)형 프로세서의 특징으로 가장 옳은 것은?
29. 입∙출력 인터페이스에 대한 설명으로 가장 옳은 것은?
30. 인터럽트(interrupt)의 발생 원인에 해당되지 않는 것은?
31. 전자계산기의 연산장치 부호와 크기의 가산 과정에서 초과상태(overflow)가 발생할 조건으로 알맞은 것은?
32. 다음 중 가장 큰 수는?
33. RAM(Random Access Memory)의 특징으로 가장 옳은 것은?
34. 주소 선의 수가 11개이고 데이터 선의 수가 8개인 ROM의 내부조직을 나타내는 것은?
35. 10진수 –6의 2의 보수 표현으로 옳은 것은?
36. 한 명령의 실행 사이클 중에 인터럽트 요청에 의해 인터럽트를 처리한 후 CPU가 다음에 수행하는 사이클은?
37. 다음 중 접근 속도가 가장 빠른 것은?
38. 1-주소 형식 인스트럭션에서 반드시 필요한 것은?
39. 주기억장치에서 정보를 읽을 때, 읽은 정보를 기억시켜 놓는 레지스터는?
40. MOD-5 카운터를 설계하려고 할 때 필요한 최소의 플립플롭의 개수는?
3과목: 시스템분석설계
41. 파일 설계 단계 중 항목의 이름, 항목의 배열 순서, 항목의 자릿수, 문자의 구분, 레코드 길이의 가변성 여부, 전송 블록 길이 등을 검토하는 단계는?
42. 객체 지향 방법론 중에서 Rumbaugh의 OMT 방법론과 Booch의 Booch 방법론, Jacobson의 OOSE 방법론을 통합하여 만든 모델링 개념의 공통 집합으로 객체지향 분석 및 설계 방법론의 표준 지정을 목표로 제안된 모델링 언어는?
43. 체크 시스템의 컴퓨터 처리 단계에서 데이터를 처리할 때 발생하는 에러를 체크하는 항목이 아닌 것은?
44. 표준 처리 패턴 중 특정 조건이 주어진 파일 중에서 그 조건에 만족되는 것과 그렇지 않은 것으로 분리 처리하는 것은?
45. HIPO 다이어그램을 구성하는 요소가 아닌 것은?
46. 시스템 개발에서 가장 먼저 작업이 이루어지는 단계는?
47. 체크 시스템의 종류 중 입력된 수치가 미리 정해진 범위 내의 수치인지를 검사하는 방법은?
48. 출력정보의 설계 순서가 올바른 것은?
49. 구조적 프로그램의 기본 구조에 해당하지 않는 것은?
50. 입력 설계 단계 중 입력 항목의 명칭, 배열, 자릿수, 자료 유형, 오류체크 방법 등을 결정하는 단계는?
51. 출력장치나 특수작업으로 만들어진 매체가 이용자의 손을 경유하여 재입력되는 시스템은?
52. 소프트웨어 개발주기 모델 중 폭포수형의 특징으로 옳지 않은 것은?
53. 로드화 대상 항목을 대분류, 중분류, 소분류 등으로 구분하여 각 그룹내에서 순서대로 번호를 부여하여 분류하는 코드의 종류는?
54. 파일매체를 선정하기 위한 기능 검토 시 검토하는 사항이 아닌 것은?
55. 다음의 코드 설계 단계 중 가장 먼저 행하는 것은?
56. 시스템의 개발과 운용에 관한 문서화(Documentation)의 목적으로 가장 옳지 않은 것은?
57. 시스템의 기본 요소로 가장 거리가 먼 것은?
58. 시스템을 평가하는 목적으로 거리가 먼 것은?
59. 파일 편성 방법 중 다음 설명에 해당하는 것은?
60. 프로세스 설계 시 고려할 사항으로 거리가 먼 것은?
4과목: 운영체제
61. 프로세스를 스케줄링하는 목적으로 옳지 않은 것은?
62. 파일 디스크립터에 대한 설명으로 옳지 않은 것은?
63. 디스크 스케줄링 기법 중 가장 안쪽과 가장 바깥쪽의 실린더에 대한 차별대우를 없앤 기법은?
64. 파일 보호 기법 중 각 파일에 판독 암호와 기록 암호를 부여하여 제한된 사용자에게만 접근을 허용하는 기법은?
65. UNIX에서 현재 프로세스의 상태를 확인할 때 사용되는 명령어는?
66. 가상기억장치를 운영하기 위한 페이지 대치 알고리즘이 아닌 것은?
67. 시스템 소프트웨어가 아닌 것은?
68. 15K의 작업을 16K의 작업공간에 할당했을 경우, 사용된 기억장치 배치전략 기법은?
69. 분산 운영체제와 네트워크 운영체제의 설명으로 옳지 않은 것은?
70. 세마포어(semaphore)에 대한 설명으로 가장 옳지 않은 것은?
71. PCB에 대한 설명으로 틀린 것은?
72. HRN 스케줄링 기법을 적용할 경우 우선순위가 가장 높은 것은?
73. 분산 운영체제에서 프로세스 P가 사이드 A에 있는 파일에 접근할 때, 프로세스가 원격 프로시져 호출(Remote Procedure Call)을 이용하여 이동하는 이주 기능은?
74. 자원 보호 기법 중 객체와 그 객체에 허용된 조작 리스트이며, 영역과 결합되어 있으나 사용자에 의해 간접적으로 액세스되는 기법은?
75. UNIX 명령어 중 파일에 대한 액세스(읽기, 쓰기, 실행) 권한을 설정하는데 사용하는 명령어는?
76. 교착상태(Deadlock)의 4가지 필요조건에 해당하지 않는 것은?
77. 4개의 페이지를 수용할 수 있는 주기억장치가 현재 완전히 비어 있으며, 어떤 프로세스가 다음과 같은 순서로 페이지번호를 요청했을 때 페이지 대체 정책으로 FIFO를 사용한다면 페이지 부재(Page0fault)의 발생 횟수는?
78. 개인용 컴퓨터(PC) 운영체제가 아닌 것은?
79. 여러 개의 큐를 두어 낮은 단계로 내려갈수록 프로세스의 시간 할당량을 크게 하는 프로세스 스케줄링 방식은?
80. 프로세스에 대한 설명으로 틀린 것은?
5과목: 정보통신개론
81. 필수변조에서 아날로그 정보신호의 크기에 따라 펄스 반송파의 폭을 변화시키는 변조 방식은?
82. UDP 프로토콜에 대한 설명으로 틀린 것은?
83. 송신측에서 1개의 프레임을 전송한 후 수신측에서 오류의 발생을 점검하여 ACK 또는 NAK 신호를 보내올 때까지 대기하는 방식은?
84. LAN의 토폴로지 형태로 적절하지 않은 것은?
85. 라우팅 프로토콜 중 Distance vector 방식이 아닌 것은?
86. 한 문자가 전송될 때마다 스타트(start) 비트와 스톱(stop) 비트를 전송하는 방식은?
87. 8진 PSK 변조를 사용하는 모뎀의 데이터 전송속도가 4800bps일 때 변조속도(baud)는?
88. 광섬유 케이블에서 클래딩(Cladding)의 주 역할은?
89. ATM 셀의 헤더 크기는 몇 [byte] 인가?
90. 데이터그램(datagram)방식에 대한 설명 중 맞는 것은?
91. 무선 네트워크 기술인 블루투스(Bluetooth)에 대한 표준규격은?
92. HDLC에서 사용되는 프레임의 종류에 해당하지 않는 것은?
93. 반송파로 사용되는 정현파의 진폭에 정보를 싣는 변조 방식은?
94. 패킷 교환 방식에 대한 설명으로 틀린 것은?
95. HDLC 프레임 구조에 포함되지 않는 것은?
96. 아날로그 데이터를 디지털 신호로 변환하는 PCM 방식의 진행 순서로 옳은 것은?
97. 8진 PSK에서 반송파 간의 위상차는?
98. 변조속도가 1600(Baud)이고 트리비트(Tribit)를 사용하는 경우 전송속도(bps)는?
99. 점대점 링크를 통하여 인터넷 접속에 사용되는 IEFT의 표준 프로토콜은?
100. 전송하려는 부호어들의 최소 해밍 거리가 7일 때, 수신시 정정할 수있는 최대 오류의 수는?