1과목: 데이터 베이스
1. 물리적 저장 장치의 입장에서 본 데이터베이스 구조로서 실제로 데이터베이스에 저장될 레코드의 형식을 정의하고 저장 데이터 항목의 표현 방법, 내부 레코드의 물리적 순서 등을 나타내는 스키마는?
2. 개체-관계 모델에 대한 설명으로 옳지 않은 것은?
3. 다음 중 큐를 이용하는 작업에 해당하는 것은?
4. 다음과 같은 트랜잭션의 특징은?
5. 시스템 카탈로그에 대한 설명으로 옳지 않은 것은?
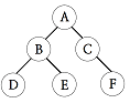
6. 다음 트리를 후위 순회(Post Traversal)할 경우 가장 먼저 탐색되는 것은?
7. 다음 영문의 ( ) 안 내용으로 공통 적용될 수 있는 것은?
8. 선형 구조에 해당하는 구조를 모두 선택한 것은?
9. 데이터 모델에 대한 다음 설명 중 ( )안에 공통으로 들어갈 내용으로 가장 타당한 것은?
10. 트랜잭션을 취소하는 이외의 조치를 명세할 필요가 있는 경우 메시지를 보내 어떤 값을 자동적으로 갱신하도록 프로시저를 기동시키는 방법은?
11. 병행제어 기법 중 로킹(Locking) 기법에 대한 설명으로 옳지 않은 것은?
12. 데이터베이스 설계 단계 중 물리적 설계에 해당하는 것은?
13. 데이터베이스의 특성으로 옳은 내용 모두를 선택한 것은?
14. 데이터베이스에서 널(null) 값에 대한 설명으로 옳지 않은 것은?
15. 릴레이션의 특징으로 옳은 내용 모두를 나열한 것은?
16. 다음 설명이 뜻하는 것은?
17. 순서가 A, B, C, D 로 정해진 입력 자료를 스택에 입력하였다가 출력할 때, 가능한 출력 순서의 결과가 아닌 것은?
18. 정규화 과정에서 발생하는 이상(Anomaly)에 관한 설명으로 옳지 않은 것은?
19. DBMS의 필수 기능 중 데이터베이스를 접근하여 데이터의 검색, 삽입, 삭제, 갱신 등의 연산 작업을 위한 사용자와 데이터베이스 사이의 인터페이스 수단을 제공하는 기능은?
20. 릴레이션에서 튜플을 유일하게 구별해 주는 속성 또는 속성들의 조합을 의미하는 키는?
2과목: 전자 계산기 구조
21. 인터프리터(interpreter)를 사용하는 언어는?
22. 가상 기억체제에서 주소 공간이 1024K이고 기억공간은 32K라고 가정할 때 주기억장치의 주소 레지스터는 몇 비트로 구성되는가?
23. JK 플립플롭에서 J=1, K=1 일 때 Qn+1의 출력은?
24. 명령어 파이프라인이 정상적인 동작에서 벗어나게 하는 일반적인 원인이 아닌 것은?
25. 인터럽트 발생시 동작 순서로 옳은 것은?
26. 입출력 제어 처리방식에 대한 설명으로 틀린 것은?
27. 컴퓨터의 메이저 상태에 대한 설명으로 틀린 것은?
28. 다음은 ADD 명령어의 마이크로 오퍼레이션이다. t2시간에 가장 알맞은 동작은? (단, MAR : Memory Address Register, MBR : Memory Buffer Register, M(addr) : Memory, AC : 누산기)
29. 명령어를 구성하는 명령어 내 비트들이 할당에 영향을 주는 요소가 아닌 것은?
30. 양수 A와 B가 있다. 2의 보수 표현 방식을 사용하여 A-B를 수행하였을 때 최상위비트에서 캐리(carry)가 발생하였다. 이 결과로부터 A와 B에 대한 설명으로 가장 옳은 것은?
31. 다음 중 사용자의 의도적인 인터럽트에 해당되는 것은?
32. 인터럽트 서비스가 진행되면 다른 인터럽트를 배제시켜야 하는데 이 때 변경시켜야 하는 flag는 무엇이며, 어떻게 변경하여야 하는가?
33. 제어 주소 레지스터(control address register)에 적재될 수 없는 것은?
34. 다음 불 함수를 간소화한 결과로 가장 옳은 것은? (단, d()는 무관 조건임)
35. 반가산기에서 입력을 X, Y라 할 때 출력 부분의 캐리(Carry) 값은?
36. 프로그램 카운터가 명령어의 주소부분과 더해져서 유효번지를 결정하는 주소지정방식은?
37. 클라우드 컴퓨팅(cloud computing)에 대한 설명으로 틀린 것은?
38. 일반적인 제어장치 모델에서 제어 장치로 입력되는 항목이 아닌 것은?
39. 수직 마이크로명령어 방식의 명령어가 다음의 형식을 갖는다면 이 제어장치는 최대 몇 개의 제어 신호를 동시에 생성할 수 있는가?
40. 고선명(HD) 비디오 데이터를 저장하기 위해 짧은 파장(405나노미터)을 갖는 레이저를 사용하는 광 기록방식 저장매체는?
3과목: 운영체제
41. 운영체제의 운영 기법 중 “Quantum"과 관계되는 것은?
42. 프로세스의 처리 시간보다 페이지 교체에 소요되는 시간이 더 많아지는 현상을 의미하는 것은?
43. 운영체제의 역할로 거리가 먼 것은?
44. 디렉토리의 구조 중 중앙에 마스터 파일 디렉토리가 있고 하부에 사용자 파일 디렉토리가 있는 구조는?
45. 다음 설명에 해당하는 자원 보호 기법은?
46. SCAN의 무한 대기 발생 가능성을 제거한 것으로 SCAN 보다 응답시간의 편차가 적고, SCAN과 같이 진행 방향상의 요청을 서비스하지만, 진행 중에 새로이 추가된 요청은 서비스하지 않고 다음 진행시에 서비스하는 디스크 스케줄링 기법은?
47. 주기억장치 관리기법인 최악, 최초, 최적 적합기법을 각각 사용할 때, 각 방법에 대하여 10K의 프로그램이 할당되는 영역을 각 기법의 순서대로 옳게 나열한 것은? (단, 영역 A, B, C, D는 모두 비어 있다고 가정한다.)
48. 분산 처리 운영체제에서 구체적인 시스템 환경을 사용자가 알 수 없도록 하며, 또한 사용자들로 하여금 이에 대한 정보가 없어도 원하는 작업을 수행할 수 있도록 지원하는 개념을 무엇이라고 하는가?
49. RR(Round Robin) 스케줄링에 대한 설명으로 옳지 않은 것은?
50. UNIX의 파일 시스템 구조와 거리가 먼 것은?
51. 다음 표와 같이 작업이 할당되었을 경우 내부단편화 및 외부단편화 크기는 얼마인가?
52. 하이퍼 큐브에서 하나의 프로세서에 연결되는 다른 프로세서의 수가 3개일 경우 필요한 총 프로세서의 수는?
53. 은행가 알고리즘(Banker's Algorithm)은 다음 교착상태 해결 방법 중 어떤 분야에 속하는가?
54. 4개의 프레임을 수용할 수 있는 주기억장치가 있으며, 초기에는 모두 비어 있다고 가정한다. 다음의 순서로 페이지 참조가 발생할 때, FIFO 페이지 교체 알고리즘을 사용할 경우 페이지 결함의 발생 횟수는?
55. 파일 디스크립터의 내용으로 옳지 않은 것은?
56. 시스템 성능 평가요인으로 거리가 먼 것은?
57. UNIX에서 I-node는 한 파일이나 디렉토리에 관한 모든 정보를 포함하고 있는데, 이에 해당하지 않는 것은?
58. 두 개의 프로세스 간 선행순서를 Pa < Pb로 표현할 경우 Pb가 먼저 실행된다고 가정한다면, P2 < P1, P4 < P2, P4 < P3의 선행관계가 있는 경우에 병행으로 실행될 수 있는 프로세스로 짝지어진 것은?
59. UNIX의 운영체제의 특징으로 적합하지 않은 것은?
60. 분산 운영체제의 특징 중 다음 설명과 관계되는 것은?
4과목: 소프트웨어 공학
61. 프로그램 설계도의 하나인 NS(Nassi-Schneiderman) Chart에 대한 설명으로 옳지 않은 것은?
62. 프로젝트 추진 과정에서 예상되는 각종 돌발 상황을 미리 예상하고 이에 대한 적절한 대책을 수립하는 일련의 활동을 무엇이라고 하는가?
63. 객체 지향 기법에서 상위 클래스의 메소드와 속성을 하위클래스가 물려받는 것을 의미하는 것은?
64. 소프트웨어 품질보증을 위한 정형 기술 검토의 지침사항으로 옳지 않은 것은?
65. Rumbaugh의 객체 모델링 기법(OMT)에서 사용하는 세 가지 모델링이 아닌 것은?
66. 다음 중 가장 높은 응집도(Cohesion)에 해당하는 것은?
67. 나선형(Spiral) 모형에 대한 설명으로 옳지 않은 것은?
68. 소프트웨어 재공학은 어떤 유지보수 측면에서 소프트웨어 위기를 해결하려고 하는 방법인가?
69. 제어흐름 그래프가 다음과 같을 때 McCabe의 cyclomatic수는 얼마인가?
70. 소프트웨어 재공학(Reengineering)에 관한 설명으로 거리가 먼 것은?
71. 소프트웨어 프로젝트 관리의 효과적 수행을 위한 3P에 해당하지 않는 것은?
72. 소프트웨어의 재사용으로 인한 효과와 거리가 먼 것은?
73. 객체지향 분석 방법론 중 Coad-Yourdon 방법에 해당하는 것은?
74. CASE(Computer-Aided Software Engineering)에 대한 설명으로 옳지 않은 것은?
75. 객체 지향 기법에서 객체가 메시지를 받아 실행해야 할 객체의 구체적인 연산을 정의한 것은?
76. 소프트웨어 품질목표 중 요구되는 기능을 수행하기 위해 필요한 자원의 소요 정도를 의미하는 것은?
77. 소프트웨어의 위기현상과 거리가 먼 것은?
78. 다음 검사의 기법 중 종류가 다른 하나는 무엇인가?
79. 중앙 집중형 팀(책임프로그래머 팀)의 특징으로 거리가 먼 것은?
80. DFD에 대한 설명으로 옳지 않은 것은?
5과목: 데이터 통신
81. 데이터 전송제어 절차를 순서대로 옳게 나열한 것은?
82. 슬라이딩 윈도우(Sliding window)제어 방식에 대한 설명으로 옳지 않은 것은?
83. 두 개 이상의 컴퓨터 사이에 데이터 전송을 할 수 있도록 미리 정보의 송수신 측에서 정해둔 통신 규약을 무엇이라 하는가?
84. RTP(Real-time Transport Protocol) 헤더의 각 필드에 대한 설명으로 틀린 것은?
85. PSK(Phase Shift Keying) 방식이 적용되지 않은 변조 방식은?
86. VAN의 주요 통신처리 기능 중 회선의 접속이나 제어 절차 등의 데이터를 전송할 때 다른 기종간의 통신이 가능 하도록 통신절차를 변환시키는 기능은?
87. CSMA/CD(Carrier Sensing Mulitiple Access/Collision Detection)에 대한 설명으로 틀린 것은?
88. X.25 프로토콜에 대한 설명으로 틀린 것은?
89. B-ISDN 프로토콜 참조 모델에 해당하지 않는 계층은?
90. 송신측에서 11012 의 데이터를 전송하였으나, 수신측이 받은 데이터는 10112로 나타났다. 이 때 두 데이터간의 해밍거리로 옳은 것은?
91. 이동 단말이나 PDA, 소형 무선 단말기 상에서 인터넷을 이용할 수 있도록 해주는 프로토콜의 총칭은?
92. LAN의 통신 구조가 가능한 한 호환성을 유지해야 한다는 필요성에 의해 OSI 참조 모델의 데이터 링크 계층을 2개의 서브 계층으로 나누었는데 이에 해당하는 것은?
93. 다음이 설명하고 있는 인터넷 서비스는?
94. 데이터 링크 제어 프로토콜 중 ① 문자 위주 프로토콜과 ② 비트 위주 프로토콜을 옳게 나열한 것은?
95. 패킷교환 방식에서 패킷을 작게 분할할 경우의 단점이 아닌 것은?
96. 데이터 링크를 제어하는 국(Station)으로서 오류를 제어하고 복구에 대한 책임을 가지며, 명령 프레임을 송신하고 응답 프레임을 수신하는 국(Station)은?
97. TCP/IP 프로토콜 중 인터넷 계층에 대응하는 OSI 참조 모델의 계층은?
98. 다음 설명에 해당하는 OSI 7계층은?
99. 가상회선 패킷교환 방식에서 모든 패킷이 전송되면 마지막으로 이미 확립된 접속을 끝내기 위해 이용되는 패킷은?
100. 아날로그 데이터를 디지털 신호로 변환하는 변조 방식은?