1과목: 전자계산기 프로그래밍
1. 어셈블리어에 대한 설명으로 옳지 않은 것은?
2. PLC의 특징으로 옳지 않은 것은?
3. C 언어에서 지정된 파일로부터 한 문자씩 읽어 들이는 파일처리 함수는?
4. 어셈블러 명령(Assembler Instruction)에 대한 설명으로 옳지 않은 것은?
5. C 언어 명령문 중 “do ~ while"문에 대한 설명으로 옳지 않은 것은?
6. C 언어의 기억 클래스 종류에 해당하지 않는 것은?
7. 기계어에 대한 설명으로 옳지 않은 것은?
8. PLC 프로그래밍 과정을 순서대로 바르게 나열한 것은?
9. 매크로에 대한 설명으로 옳지 않은 것은?
10. PLC의 각종 명령 중 실행시간을 총칭하여 처리 속도라고 하는데 처리 속도에 포함되지 않는 것은?
11. BNF를 이용하여 그 대상을 근(Root)으로 하고, 단말 노드들을 왼쪽에서 오른쪽으로 나열하여 트리로서, 작성된 표현식이 BNF의 정의에 의해 바르게 작성되었는지를 확인하기 위해 만든 트리를 무엇이라고 하는가?
12. C 언어에서 이스케이프 시퀀스의설명이 옳지 않은 것은?
13. 서브루틴으로 작성된 프로시저는 주 프로시저에서 호출되어 실행하고, 실행이 끝나면 자신을 호출한 CALL의 다음 명령으로 복귀시켜야 한다. 서브루틴에서자신을 호출한 곳으로 복귀시키는 어셈블리어 명령은?
14. 어셈블리어에서 라이브러리에 기억된 내용을 프로시저로 정의하여 서브루틴으로 사용하는 것과 같이 사용할 수 있도록 그 내용을 현재의 프로그램 내에 포함시켜 주는 명령은?
15. 단항(Unary) 연산에 해당하지 않는 것은?
16. 프로그램 수행 순서로 옳은 것은?
17. C 언어에서 “printf"의 변환 문자열에 대한 의미가 옳지 않은 것은?
18. C 언어에서 사용하는 데이터형이 아닌 것은?
19. C 언어에서 논리 곱(AND)을 나타내는 논리 연산자는?
20. 객체지향언어에 대한 설명으로 옳지 않은 것은?
2과목: 자료구조 및 데이터통신
21. HDLC(High-Level Data Link Control)에서 사용되는 프레임의 종류로 옳지 않은 것은?
22. TCP/IP에서 사용되는 논리주소를 물리주소로 변환시켜주는 프로토콜은?
23. OSI 7계층 중 데이터링크 계층의 기능이 아닌 것은?
24. IP주소와 호스트 이름 간의 변환을 제공하는 분산 데이터베이스를 무엇이라고 하는가?
25. 다음 중 PCM 방식의 변조 순서로 옳은 것은?
26. 다음 TCP/IP 프로토콜 중 응용계층 프로토콜에 해당하지 않는 것은?
27. 흐름 제어방식에서 일반적으로 한 번에 여러 개의 프레임을 전송할 경우 효율적인 기법은?
28. 아날로그 데이터 전송 방식 중에서 비트 전송률을 높이기 위해 각각의 벡터를 위상 변화뿐만 아니라 진폭 변화도 시키는 방식은?
29. 데이터 전송제어절차 5단계 동작 과정을 순서대로 나열한 것은?
30. 패킷교환 방식 중 가상회선 패킷교환에 대한 설명으로 옳지 않은 것은?
31. 색인 순차 파일의 색인 구역에 해당하지 않는 것은?
32. 순차 파일(Sequence File)D에 대한 설명으로 옳지 않은 것은?
33. 다음 자료 구조 중 성격이 나머지 셋과 다른 하나는 무엇인가?
34. 스택의 응용 분야와 거리가 먼 것은?
35. DBMS의 필수 기능에 해당하지 않는 것은?
36. 다음 자료에 대하여 버블 정렬을 이용하여 오름차순으로 정렬할 경우 1회전 후의 결과는?
37. 데이터베이스 설계 순서로 옳은 것은?
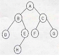
38. 다음과 같은 이진트리의 Preorder 운행 결과는?
39. 데이터베이스의 특성으로 옳지 않은 것은?
40. A, B, C, D의 순서로 정해진 자료를 스택에 다음과 같이 입출력 작업을 수행한 후의 결과로 옳은 것은?
3과목: 전자계산기구조
41. 간접 사이클(Indirect cycle)을 옳게 나타낸 마이크로오퍼레이션은? (단, MAR : memory address register, MBR : memory buffer register, IEN : interrupt enable)
42. 하드웨어 원인에 의한 인터럽트에 속하지 않는 것은?
43. 16바이트의 블록 크기와 64블록으로 구성된 캐시에서 바이트 주소 1200이 사상(mapping)되는 블록 번호는?
44. 2-주소 명령어 형식으로 Y = (A + B) * (C + D) 연산을 표와 같이 수행했을 때 각 ( )에 알맞은 것은? (단, R1, R2은 레지스터를 나타냄)
45. 다음 프로그램 이행 특성 중 stack을 가장 효과적으로 이용할 수 있는 것은?
46. 기억장치를 각 모듈이 번갈아 가며 접근하는 방법은?
47. 3-주소 명령어의 설명으로 옳은 것은?
48. BSA(Branch and Save return Address)의 마이크로 동작 중 시간 T0에서 실행하는 동작이 아닌 것은? (단, T0는 sequencer 출력을 나타냄)
49. 상대 주소 지정방식(Relative Addressing Mode)을 사용하는 컴퓨터에서 PC(Program Counter)의 값이 (2FA50)16(Displacement)값이 (0B)16 이라면 실제 데이터가 들어 있는 메모리의 주소는 얼마인가?
50. 동기 고정식 마이크로 오퍼레이션 제어의 특성을 설명한 것이 아닌 것은?
51. 다음 회로에서 OR게이트의 입력으로 연결되어야 할 디코더 출력들로 옳은 것은?
52. 접근 시간(access time)이 빠른 순서부터 나열된 것은?
53. 다음은 정규화된 부동소수점(floating point) 방식으로 표현된 두 수의 덧셈과정이다. 다음 중 그 순서가 바르게 나열된 것은? (단, A:정규화, B:지수의 비교, C:가수의 정렬, D:가수의 덧셈)
54. 다음 논리회로 중 성격이 다른 것은?
55. 기억장치의 자료처리 속도를 나타내는 밴드폭(bandwidth)이란?
56. 다음 명령어의 실행에 필요한 메모리 참조 횟수는? (단, 각 오퍼랜드는 메모리 간접 주소 모드로 지정)
57. 인터럽트 처리 루틴에서 반드시 사용되는 레지스터는?
58. 하드웨어 신호에 의하여 특정 번지의 서브루틴을 수행하는 것을 무엇이라 하는가?
59. 다음 그림은 입출력 시스템의 구성도이다. ①,②,③,④의 내용을 순서대로 나열한 것은?
60. 기억장치에서 DRO(Destructive Read Out)의 성질을 갖고 있는 메모리는?
4과목: 운영체제
61. 페이징 기법에 대한 설명으로 옳지 않은 것은?
62. UNIX에서 파일의 사용 허가 지정에 관한 명령어는?
63. 분산 처리 시스템의 설계 목적으로 거리가 먼 것은?
64. 시스템 소프트웨어의 하나인 로더(Loader)의 기능에 해당하지 않는 것은?
65. 운영체제의 기능으로 거리가 먼 것은?
66. 주기억장치 배치 전략 기법으로 First-Fit 방법을 사용할 경우 그림과 같은 기억장소 리스트에서 10k 크기의 작업은 어느 기억공간에 할당 되는가?
67. 다음 설명의 (A)와 (B)에 들어갈 내용으로 옳은 것은?
68. 특정 프로세스의 작업이 중단되어 CPU를 다른 프로세스에게 넘겨줄 때, 전 프로세스의 레지스터들은 저장되고, 실행될 프로세스의 레지스터를 시스템에 적재하는 작업을 무엇이라고 하는가?
69. 레코드가 직접 액세스 기억장치의 물리적 주소를 통해 직접 액세스 되는 파일 구조는?
70. UNIX에서 커널에 대한 설명으로 옳지 않은 것은?
71. 파일 시스템의 기능이라고 볼 수 없는 것은?
72. 임계영역(Critical Section)에 대한 설명으로 옳은 것은?
73. PCB(PROCESS CONTROL BLOCK)가 포함하고 있는 정보가 아닌 것은?
74. UNIX에서 파일에 대한 정보를 갖고 있는 inode 의 내용으로 볼 수 없는 것은?
75. 디스크 입출력 요청 대기 큐에 다음과 같은 순서로 기억 되어 있다. 현재 헤드가 53에 있을 때, 이들 모두를 처리하기 위한 총 이동 거리는 얼마인가? (단, FCFS 방식을 사용한다.)
76. 사용자는 단말 장치를 이용하여 운영체제와 상호 작용하며, 시스템은 일정시간 단위로 CPU를 한 사용자에서 다음 사용자로 신속하게 전환함으로써, 각각의 사용자들은 실제로 자신만이 컴퓨터를 사용하고 있는 것처럼 사용할 수 있는 처리 방식은?
77. 다음 중 가장 바람직한 스케줄링 정책은?
78. 다음 표와 같이 작업이 제출되었을 때 Round-Robin 정책을 사용하여 스케줄링하면 평균 반환시간은 얼마인가? (단, 작업 할당시간은 4시간으로 한다.)
79. 다음 설명에 해당하는 디렉토리는?
80. 분산처리 시스템에서 분산의 대상에 대한 설명으로 옳지 않은 것은?
5과목: 마이크로 전자계산기
81. 비수치 처리, 특히 데이터베이스를 다루는 컴퓨터 시스템에서 데이터베이스 처리 전용으로 주컴퓨터에 결합해서 사용하는 프로세서는?
82. 다음 중 의사(pseudo) 명령어가 아닌 것은?
83. 오픈 소스(open source) 등의 장점으로 최근 임베디드 시스템 개발에 많이 사용되는 운영체제는 무엇인가?
84. DRAM의 설명 중 가장 옳지 않은 것은?
85. 다음 중 ICE(In-Circuit Emulator)의 기능으로 볼 수 없는 것은?
86. 가상기억 장차에 대한 설명으로 틀린 것은?
87. CPU의 상태 플래그(status flag)에 관한 설명 중 틀린 것은?
88. Reader/Write signal이나 Chip Select signal 등의 신호는 어느 버스에 싣게 되는가?
89. 다음 그림과 같이 메모리의 주소가 8비트(A7 ~ A0)로 구성된 메모리의 주소를 지정하고자 한다. 메모리 어드레스 디코더의 A7, A6 입력이 모두 1 이 입력되는 경우 어드레스 공간을 16진수로 올바르게 나타낸 것은?
90. 명령 실행 사이클의 동작 명령으로서 번지의 명령이나 프로그램 루프의 실행 횟수를 계산하는데 유용한 명령으로 지정된 번지에 저장된 워드의 내용을 1 증가시킨 후 그 결과가 0 이면 다음 명령을 건너뛰고 아니면 그대로 다음 명령을 실행시키는 명령은?
91. 어셈블리 명령어 중 BNE(Branch if Not Equal) 명령문이 수행될 때 점검하는 플래그(flag)는?
92. 다음의 정보통신용 버스 중 병렬전송이 아닌 것은?
93. 다음 중 직접 접근(direct access) 기억 장치가 아닌 것은?
94. 마이크로프로세서 내에 있는 레지스터로서 프로그램을 구성하고 있는 명령어들의 실행순서를 지정하여 주는 것은?
95. 마이크로컴퓨터의 ROM이 4096비트이면 단어의 길이가 8비트인 경우 몇 워드인가?
96. 인터럽트 반응시간(interrupt response time)에 대하여 맞게 설명한 것은?
97. TTL 출력 오류 중 논리값이 0도 아니고 1도 아닌, 고임피던스 상태를 가지며, 특히 bus 구조에 적합한 것은?
98. 스택 포인터를 1 증가시키고, 스택 포인터가 가리키는 곳에 60H 번지의 내용을 저장하는 명령어로 알맞은 것은?
99. 다음 중 병렬처리기능을 갖춘 프로세서를 나타내는 특징적인 구조가 아닌 것은?
100. 다음 중 DMA(Direct Memory Access)에 대한 설명 중 틀린 것은?