1과목: 전자계산기 프로그래밍
1. 어셈블리어에서 DOS나 BIOS 루틴을 호출하기 위해 사용하는 명령은?
2. C 언어에서 이스케이프 시퀀스의 설명이 옳지 않은 것은?
3. 럼바우의 객체 모델링 기법에서 사용하는 세 가지 모델링이 아닌 것은?
4. C 언의의 기억 클래스 종류가 아닌 것은?
5. C 언어에서 x의 연산 결과는?
6. 고 수준 언어로 작성 된 원시 프로그램을 컴퓨터 주 메모리에 적재해 두고, 그 중 한 명령문씩 꺼내어 이를 해석기에서 중간어로 전환하여 곧바로 실행시키는 것은?
7. 객체지향에서 캡슐화에 대한 설명으로 옳지 않은 것은?
8. 작성된 표현식이 BNF의 정의에 의해 바르게 작성되었는지를 확인하기 위하여 만든 트리는?
9. C 언어 명령문 중 “do~while” 문에 대한 설명으로 옳지 않은 것은?
10. 수명 시간동안 고정된 하나의 값과 이름을 가진 자료로서 프로그램이 작동하는 동안 값이 절대로 바뀌지 않는 것을 의미하는 것은?
11. 객체지향에서 객체가 메시지를 받아 실행해야 할 객체의 구체적인 연산을 정의한 것은?
12. C 언어에서 참조호출(call by reference)의 효과를 얻기 위해 사용하는 형식 매개변수는?
13. 어셈블리어의 매크로 기능에 대한 설명으로 가장 옳은 것은?
14. 컴퓨터를 이용하여 단계적인 문제를 해결하기 위한 단계적인 절차를 무엇이라 하는가?
15. BNF 표기법에서 정의를 나타내는 기호는?
16. 원시 프로그램을 기계어 프로그램으로 번역하는 대신에 기존 고수준 컴파일러 언어로 전환하는 역할을 수행하는 것은?
17. C 언어에서 나머지를 구하는 잉여 연산자(modular-operator)는?
18. 간접번지 지정방식을 나타내는 어셈블리 명령의 형태에 해당하는 것은?
19. 기계어에 대한 설명으로 틀린 것은?
20. C 언어에서 연산자의 우선순위가 낮은 순서에서 높은 순서로 옳게 나열된 것은?
2과목: 자료구조 및 데이터통신
21. UDP(User Datagram Protocol)에 대한 설명으로 거리가 먼 것은?
22. 패킷교환 종류 중 가상회선방식에 대한 설명으로 틀린 것은?
23. 채널의 대역폭이 12kHz이고 S/N비가 15일 때, 채널용량(kbps)은? (단, S/N:신호대 잡음비)
24. 사내망에서 192.168.1.1/28 주소를 사용하고 있는 PC가 있다. 회사의 정책상 default-gateway는 해당 subnet의 할당 가능한 영역 중에서 마지막 IP address 를 사용하도록 되어 있다면 PC의 default-gateway는 어떠한 IP assress로 설정하여야 하는가?
25. 보호주파수대(guard band)를 사용하는 다중화방식은?
26. 회선의 변조속도가 2400baud이고, 8-QAM을 사용할 때 얻을 수 있는 데이터 속도(bps)는?
27. 전진 에러 수정 방식에서 에러를 수정하기 위해 사용하는 방식은?
28. HDLC는 링크 구성 방식에 따라 세 가지 동작모드를 가진다. 이에 해당하지 않는 것은?
29. 라우팅 프로토콜에 해당하지 않은 것은?
30. IEEE 802.4는 무엇에 대한 규격인가?
31. 스택 S에서 B, A, D, C를 순서대로 입력시킬 때, 출력을 A, B, C, D 순으로 하기 위한 push와 pop의 횟수는?
32. 주어진 파일에서 인접한 2개의 레코드 키 값을 비교하여 그 크기에 따라 레코드 위치를 서로 교환하는 정렬 방식은?
33. 트랜잭션의 특성에 해당하지 않는 것은?
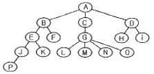
34. 다음 그림에서 “트리의 차수(Degree)”는?
35. 다음 산술식을 Pre-fix로 옳게 표현한 것은?
36. 인덱스된 순차파일(Indexed Sequential File)의 색인 구역(Index Area)에 해당하지 않는 것은?
37. 데이터베이스의 3단계 스키마에 해당하지 않는 것은?
38. 스키마의 종류 중 데이터베이스의 전체적인 논리적 구조로서, 모든 응용 프로그램이나 사용자들이 필요로 하는 데이터를 종합한 조직 전체의 데이터베이스로 하나만 존재하는 것은?
39. 해싱에서 서로 다른 두 개의 키 값이 같은 해시(hash) 주소를 갖는 현상을 무엇이라고 하는가?
40. 다음 트리를 후위 순회(Post-order) 방법으로 운행한 결과는?
3과목: 전자계산기구조
41. 반가산기에서 입력을 X, Y라 할 때 출력부분의 캐리(carry) 값은?
42. Flynn의 컴퓨터 시스템 분류 제안 중에서 하나의 데이터 흐름이 다수의 프로세서들로 전달되며, 각 프로세서는 서로 다른 명령어를 실행하는 구조는?
43. 메모리 버퍼 레지스터(MBR)의 설명으로 옳은 것은?
44. 사이클 타임이 750ns의 기억장치에서는 이론적으로 초당 몇 개의 데이터를 불러 낼 수 있는가?
45. 명령어가 오퍼레이션 코드(OP code) 6비트, 어드레스 필드 16비트로 되어 있다. 이 명령어를 쓰는 컴퓨터의 최대 메모리 용량은?
46. 시프트 레지스터(shift register)의 내용을 오른쪽으로 한 번 시프트하면 데이터는 어떻게 변하는가?
47. 베이스레이스터 주소지정방식의 특징이 아닌 것은?
48. CPU 내부의 레지스터 중 프로그램 제어와 관계있는 것은?
49. 가상기억장치에서 주소 공간이 1024K, 기억공간은 32K라고 가정할 때 주기억장치의 주소 레지스터는 몇 비트로 구성되는가?
50. I/O operation과 관계가 없는 것은?
51. 기억장치에 기억된 정보를 액세스하기 위하여 주소를 사용하는 것이 아니라 기억된 정보의 일부분을 이용하여 원하는 정보를 찾는 것은?
52. 채널(Channel)에 대한 설명으로 가장 옳지 않은 것은?
53. 다음 중 타이머에 의한 인터럽트(Interrupt)는?
54. 디코더(decoder)의 출력이 4개일 때 입력개수는?
55. DMA 제어기에서 CPU와 I/O 장치 사이의 통신을 위해 반드시 필요한 것이 아닌 것은?
56. 기억장치를 각 모듈이 번갈아 가며 접근하는 방법은?
57. 다음 진리표에 해당하는 논리식은?




58. 기억장치의 구조가 stack 구조를 가질 때 가장 밀접한 관계가 있는 명령어는?
59. 블루레이 디스크(Blue-ray Disc)에 관한 설명으로 틀린 것은?
60. PE(processing element)라는 연산기를 사용하여 동기적 병렬 처리를 수행하는 것은?
4과목: 운영체제
61. UNIX에서 파일 사용 권한 지정에 관한 명령어는?
62. 기억장치의 고정 분할 할당에서 총 24K의 공간이 그림과 같이 8K, 8K, 4K, 4K로 나누어져 있고, 작업 큐에는 5K, 5K, 10K, 10K의 작업이 순차적으로 대기 중이라고 할 때 발생하는 전체 기억공간의 낭비를 계산하면?
63. 프로세스가 실행되면서 하나의 페이지를 일정시간동안 집중적으로 액세스하는 현상은?
64. 150K의 작업요구시 fist fit과 best fit 전략을 각각 적용할 경우, 할당 영역의 연결이 옳은 것은?
65. Microsoft의 Windows 운영체제의 특징이 아닌 것은?
66. 전송크기가 1KB(kilo byte)일 때, 이동헤드 디스크의 데이터 액세스 시간과 고정헤드의 데이터 액세스 시간(ms)을 구한 결과는?
67. 공유자원을 어느 시점에서 단지 한 개의 프로세스만이 사용할 수 있도록 하며, 다른 프로세스가 공유자원에 대하여 접근하지 못하게 제어하는 기법은?
68. 운영체제의 프로세스(Process)에 대한 설명으로 옳지 않은 것은?
69. 4개의 페이지를 수용할 수 있는 주기억장치가 있으며, 초기에는 모두 비어 있다고 가정한다. 다음의 순서로 페이지 참조가 발생할 때, FIFO 페이지 교체 알고리즘을 사용할 경우 페이지 결함의 발생 횟수는?
70. 완전연결(Fully Connection)형 분산처리 시스템에 관한 설명으로 옳지 않은 것은?
71. 파일 디스크립터(File Descriptor)에 관한 설명으로 옳지 않은 것은?
72. 분산 처리 시스템에 대한 설명으로 옳지 않은 것은?
73. 분산운영체제에 대한 설명을 모두 옳게 나열한 것은?
74. HRN 스케쥴링 방식에서 입력된 작업이 다음과 같을 때 우선순위가 가장 높은 것은?
75. 운영체제의 역할로 가장 옳지 않은 것은?
76. 다음 중 교착상태가 발생할 수 있는 필요충분조건은?
77. Cryptography와 가장 관계 없는 것은?
78. 운영체제에서 스레드(Thread)의 개념으로 옳지 않은 것은?
79. 데이터 발생 즉시, 또는 데이터 처리 요구가 있는 즉시 처리하여 결과를 산출하는 방식으로 정해진 시간 내에 결과를 도출하는 시스템은?
80. SJF(Shortest Job First) 스케줄링에서 다음과 같은 작업들이 준비상태 큐에 있을 때 평균 반환시간과 평균 대기시간은?
5과목: 마이크로 전자계산기
81. 주기억장치로부터 캐시 메모리로 데이터를 전송하는 방법이 아닌 것은?
82. 어셈블리 명령어 중 BNE(Branch if Not Equal) 명령문이 수행될 때 점검하는 플래그(flag)는?
83. 마이크로컴퓨터에서 주로 사용되지 않는 보조기억장치는?
84. 레지스터의 역할이 아닌 것은?
85. 그림은 마이크로프로세서와 메모리 사이의 관계를 설명한 것이다. B의 내용으로 알맞은 것은?
86. 어셈블리어에서 기계와 1대 1의 대응관계가 있는 알파벳 코드는?
87. 레지스터의 값을 0(zero)으로 하기 위해 사용되는 연산명령이 아닌 것은?
88. ROM의 기억 특성은?
89. DMA동작 시 사용되는 레지스터로 가장 적합하지 않은 것은?
90. 입출력 인터페이스(I/O interface) 구성에 꼭 필요한 부분이라고 볼 수 없는 것은?
91. 다음 중 인터럽트(interrupt)에 대한 설명으로 가장 옳지 않은 것은?
92. 그림은 어느 회로의 벤다이어 그램인가? (단, A, B는 입력, 사선부분은 출력)
93. 스택(stack)과 관련된 주소 방식은?
94. 단일 집적회로 내에 들어 있는 프로세서, 메모리, 일부 I/O 디바이스를 의미하는 것은?
95. 명령어의 번지 필드가 가리키는 번지에 유효번지가 있는 어드레싱 모드는?
96. 마이크로프로세서 내의 연산 결과가 틀렸음을 나타내주는 플래그는?
97. 데이터 전송 명령어가 아닌 것은?
98. Static RAM을 구성하는 회로는?
99. 입출력 채널에 의한 입출력 방식 중 한 번에 여러 개의 장치들에 대한 입출력을 동시에 제어할 수 있는 것은?
100. Isolated I/O 방식에 대한 설명으로 가장 옳지 않은 것은?