1과목: 전기 이론
1. 10[㎝] 떨어진 2장의 금속 평행판 사이의 전위차가 500[V]일때 이 평행판 안에서 전위의 기울기는?
2. 자체 인덕턴스가 L1, L2 , 상호 인덕턴스가 M 인 코일이 자기적으로 결합을 했을 때 합성 인덕턴스는?
3. 100[V], 500[W] 전열기를 80[V]로 사용하면 소비전력[W]은?
4. 자기 저항이 2300[AT/Wb]인 회로에 40000[AT]의 기자력을 가할때 생기는 자속은 얼마인가?
5. 도체에 5[A]의 전류가 1분간 흘렀다. 이때 도체를 통과한 전기량은 얼마인가?
6. 도선의 반지름이 2 배로 늘어나면 그 저항은 어떻게 되는가?
7. 그림과 같은 회로의 a,b 단자에서 본 합성 저항은? (단, 숫자의 단위는 Ω이다.)
8. 그림에서 B점의 전위가 100[V], D점의 전위가 60[V]이면 AB사이 3[Ω]에 흐르는 전류[A]는?(오류 신고가 접수된 문제입니다. 반드시 정답과 해설을 확인하시기 바랍니다.)
9. 그림에서 평형조건이 맞는 식은?
10. 어드미턴스의 실수부는 무엇을 나타내는가?
11. 저항 R과 유도리액터스 XL이 직렬로 연결되었을 때 임피던스[Ω]는?


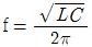
"입니다.12. L[H], C[F]를 병렬로 결선하고 전압[V]를 가할때 전류가 0 이 되려면 주파수 f는 몇[㎐]인가?




" 입니다.13. 쿨롱의 법칙에서 2개의 점전하 사이에 작용하는 정전력의 크기는?
14. 반도체로 만든 PN접합은 무슨 작용을 하는가?
15. I=4+j3 로 표시되는 전류의 크기는 몇 [A]인가?
16. 그림과 같은 회로에서 합성 임피던스[Ω] 값은?
17. 전류의 열작용과 관계가 있는 법칙은 어느 것인가?
18. 전해액에 전류가 흘러 화학 변화를 일으키는 현상을 무엇이라 하나?
19. 4심 캡타이어 케이블 심선의 색별은?(오류 신고가 접수된 문제입니다. 반드시 정답과 해설을 확인하시기 바랍니다.)
20. 연피가 없는 케이블은 습기가 많고, 접속 박스가 없는 경우 케이블의 상호 접속은 어떻게 하는가?
2과목: 전기 기기
21. 금속관에 전선을 넣어 공사를 할 경우 전선 총 단면적은 금속관 안의 단면적의 최대 몇[%]가 되도록 선정하는가?(오류 신고가 접수된 문제입니다. 반드시 정답과 해설을 확인하시기 바랍니다.)
22. 19/2.0 [mm] 인 연선의 바깥 지름은 몇 [mm] 인가?
23. 일반적으로 큐비클형(Cubicle type)이라 하며, 점유 면적이 좁고 운전, 보수에 안전하므로 공장, 빌딩 등의 전기실에 많이 사용되며 조립형, 장갑형이 있는 배전반은?
24. 전로에서 기계, 기구등의 외함 접지공사중 고압의 경우 접지공사는?
25. 전기이발기, 전기면도기, 헤어드라이어 등에 사용되는 코드는?
26. 400[V] 미만의 애자사용 공사에 있어서 전선상호간의 최소 거리는?
27. 특별고압이란?(2021년 개정된 규정 적용됨)
28. 코드펜던트로서 매달 수 있는 코드에 걸리는 중량의 총계가 최대 몇[kg] 이하라야 하는가?
29. 경질비닐관의 규격(굵기)이 아닌 것은?
30. 백열전등을 사용하는 전광사인에 전기를 공급하는 전로의 사용전압은 대지전압을 몇 V 이하로 하는가?
31. 22[mm] 후강전선관에 넣을 수 있는 전선의 내부 단면적은 약 몇 [㎜2]인가? (단, 내단면적의 32%로 한다.)
32. 하나의 수용장소의 인입선 접속점에서 분기하여 지지물을 거치지 아니하고 다른 수용장소의 인입선 접속점에 이르는 전선은?
33. 단선의 분기 접속에서 3.2[mm]이상의 굵은 단선의 접속은 어느 접속 방법으로 하는 것이 좋은가?
34. 대지 전압이 150[V]를 넘고 300[V]이하인 경우의 저압 전로의 절연 저항값[㏁]은?
35. 계전기별 고유번호에서 37A 명칭은?
36. 저압 전선이 조영재를 관통하는 경우 사용하는 애관 등의 양단은 조영재에서 몇[㎝]이상 돌출되어야 하는가?
37. 다음 중 제3종 접지 공사를 하는 주된 목적은?
38. 지지물에 완금, 완목, 애자 등을 장치하는 것은?
39. 전등전력용의 접지극 또는 접지선은 피뢰침용의 접지극 또는 접지선에서 몇[m]이상 격리하여야 하는가?
40. 먼지가 많은 장소에 사용되는 전구 소켓으로 적합한 것은?
3과목: 전기 설비
41. 다음의 보기 중 명칭과 약칭이 맞게 짝지어지지 않은 것은?
42. 연선의 직선 접속법이 아닌 것은?
43. 공칭전압 3300(3300/5700)에서 괄호안의 의미는?
44. 지름이 35∼50㎜의 여러 개의 강철관을 적당히 구부려 양쪽을 레더에 붙인 것으로 보일러의 연도 또는 노벽에 붙이는 것은?
45. 송전선에서 연가를 하는 주된 목적은?
46. 전선 3개가 수평방향으로 4m간격으로 배치되어 있는 경우 기하학적 평균거리는 몇 m 인가?







" 이다.47. 전선이 구비해야 될 조건으로 틀린 것은?
48. 보일러의 증발계수를 나타내는 식은? (단, i[kcal/kg]은 과열증기의 엔탈피, io[kcal/kg]은 절탄기 입구에서 급수의 엔탈피이다.)
49. 평균 발열량 5000kcal/kg인 석탄 2t을 사용하여 5000kWh를 발전하고 있는 화력발전소의 종합효율은 몇 % 인가?
50. 정지형의 조상설비로 가장 많이 사용되고 있는 것은?
51. 증기터빈은 조속기가 필요하다. 이 조속기의 속도변동률 조정 범위는 보통 몇 % 정도인가?
52. 단상2선식 전선로에서 Va=110V, Vb=105V, I=100A로 할때 전원의 분담전류는 약 몇 A 인가? (단, r1=0.2Ω/선, r2=0.1Ω/선이다.)
53. 기력발전소의 미분탄연소장치에서 미분탄을 버너에 분사 시킬 경우 가장 적합한 분사속도는 몇 m/s 인가?
54. 송전선로의 수전단을 단락한 경우 송전단에서 본 임피던스는 300Ω이고, 수전단을 개방한 경우에는 1200Ω일 때 이 선로의 특성임피던스는 몇 Ω 인가?
55. 변전소 구내에서 보폭 전압을 저감하기 위한 방법으로 잘못된 것은?
56. 1상당의 용량 100kVA의 콘덴서에 제5고조파를 억제시키기 위해 필요한 직렬리액터의 기본파에 대한 용량은 최소 몇 kVA 정도로 하는가?
57. 송전선로에서 송전단이나 수전단 처럼 한쪽 방향으로 선로가 연결되는 철탑으로 철탑의 기호를 D로 표시하는 것은?
58. 해양에서 발생하는 간만의 차에 의한 해수의 위치 에너지를 이용하는 발전방식으로, 만조시 수문을 열어 바닷물을 가두어 두었다가 간조시 그 차를 이용하여 수차 발전기를 운전하는 발전방식은?
59. 복수기에 대한 설명으로 옳은 것은?
60. 수압관로의 평균 유속을 v[m/s], 관의 지름을 D[m], 사용유량을 Q[m3/s]로 하면 Q를 구하는 식은?


전기장은 평행판 사이의 전하에 의해 발생합니다. 두 평행판 사이의 거리가 10[㎝]이므로, 전기장은 500[V]를 10[㎝]로 나눈 값인 5000[V/m]이 됩니다.
따라서 정답은 "5000[V/m]"입니다.