1과목: 전기 이론
1. 다음 설명 중 잘못된 것은?
2. 전극의 불순물로 인하여 기전력이 감소하는 현상을 무엇이라 하는가?
3. Å1=Å1∠θ1, Å2=Å2∠θ2일 때 두 벡터의 곱 A를 구하는 식은?
4. 비오사바르의 법칙은 어느 관계를 나타내는가?
5. 기전력 1.5[V], 내부저항 0.15[Ω]의 전지 10개를 직렬로 접속한 전원에 저항 4.5[Ω]의 전구를 접속하면 전구에 흐르는 전류는 몇[A]가 되겠는가?
6. L[H]의 코일에 I[A]의 전류가 흐를 때 저축되는 에너지[J]를 나타내는 것은?




"는 에너지를 나타내는 단위인 제곱미터-킬로그램-제곱초(Joule)를 나타내기 때문입니다. "
"은 전류를 나타내는 단위인 암페어(Ampere), "
"는 전압을 나타내는 단위인 볼트(Volt), "
"은 저항을 나타내는 단위인 옴(Ohm)을 나타내기 때문에 정답이 될 수 없습니다.7. "자기저항은 자기회로의 길이에 ( ① ) 하고 자로의 단면적과 투자율의 곱에 ( ② )한다." ( )에 들어갈 말은?
8. 고유저항 의 단위로 맞는 것은?
9. 교류에서 무효전력 Pr[VAR]은?
10. 자체 인덕턴스의 단위[H]와 같은 단위를 나타낸 것은?




"는 헨리(H)를 나타내는 단위이다. 이유는 "
"가 인덕턴스의 단위인 헨리(H)를 나타내기 때문이다.11. 공기중 자장의 세기 20[AT/m]인 곳에 8 × 10-3[Wb]의 자극을 놓으면 작용하는 힘[N]은?
12. 유전물 Ɛ의 유전체 내에 있는 전하 Q[C]에서 나오는 전기력선수는 얼마인가?(일부 컴퓨터 문제로 2번 3번 4번의 특수문자가 보이지 않을수 있습니다.)
13. 콘덴서 중 극성을 가지고 있는 콘덴서로서 교류 회로에 사용할 수 없는 것은?
14. 3[Ω]의 저항 5개, 4[Ω]의 저항 5개, 5[Ω]의 저항 3개가 있다. 이들을 모두 직렬 접속할 때 합성저항[Ω]은?
15. 어느 회로에 200[V]의 교류 전압을 가할 때 π/6[rad] 위상이 높은 10[A]의 전류가 흐른다. 이 회로의 전력[W]은?
16. 다음 중 용량 리액턴스 Xc와 반비례 하는 것은?(오류 신고가 접수된 문제입니다. 반드시 정답과 해설을 확인하시기 바랍니다.)
17. i=8+j6[A]로 표시되는 전류의 크기 I는 몇 [A]인가?
18. 매초 1[A]의 비율로 전류가 변하여 10[V]를 유도하는 코일의 인덕턴스는 몇 [H]인가?
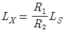
19. 브리지 회로에서 미지의 인덕턴스 Lx를 구하면?




"는 이 식에 따라 계산한 값이기 때문에 정답이다.20. 코일에 그림과 같은 방향으로 유도 전류가 흘렀을 때 자석의 이동방향은?(오류 신고가 접수된 문제입니다. 반드시 정답과 해설을 확인하시기 바랍니다.)
2과목: 전기 기기
21. 각각 계자 저항기가 있는 직류분권 전동기와 직류분권 발전기가 있다. 이것을 직렬로 하여 전동 발전기로 사용하고자 한다. 이것을 가동할 때 계자 저항기의 저항은 각각 어떻게 조정하는 것이 가장 적합한가?
22. 변압기에서 V결선의 이용률은?
23. 권수비가 100의 변압기에 있어 2차 쪽의 전류가 103[A]일 때, 이것을 1차 쪽으로 환산하면 얼마인가?
24. SCR의 특성 중 적합하지 않은 것은?
25. 1차 전압이 13200[V], 2차 전압 220[V]의 단상 변압기의 1차에 6000[V]의 전압을 가하면 2차 전압은 몇 [V]인가?
26. 단상 유도 전압 조정기의 단락 권선의 역할은?
27. 동기 발전기의 전기자 권선을 단절권으로 하면?
28. 부하의 변화가 있어도 그 단자 전압의 변화가 작은 직류 발전기는?
29. 단락비가 큰 동기 발전기를 설명하는 일 중 틀린 것은?
30. 변압기 내부 고장 보호에 쓰이는 계전기는?
31. 자기소호 기능이 가장 좋은 소자는?
32. 직류 직권 전동기에서 벨트를 걸고 운전하면 안 되는 이유는?
33. 다음은 직권 전동기의 특징이다. 틀린 것은?
34. 변압기의 1차측이란?
35. 전선의 굵기를 측정하는 공구는?
36. 전기자를 고정시키고 자극 N, S를 회전시키는 동기 발전기는?
37. 유도 전동기에서 슬립이 1이면 전동기의 속도 N은?
38. 가공전선로의 지지물에 시설하는 지선에서 맞지 않는 것은?
39. 가요 전선관 공사에서 가요 전선관의 상호 접속에 사용하는 것은?
40. 동기기의 3상 단락곡선이 직선이 되는 이유는?
3과목: 전기 설비
41. 3상 농형 유도 전동기의 속도 제어는 주로 어떤 제어를 사용하는가?
42. 유도 전동기의 Y-Δ 기동시 기동 토크와 기동 전류는 전전압 기동시의 몇 배가 되는가?
43. 직류 스테핑 모터(DC stepping motor)의 특징 설명 중 가장 옳은 것은?
44. 합성수지 전선관 공사에서 하나의 관로 직각 곡률 개소는 몇 개소를 초과하여서는 안 되는가?
45. 비교적 장력이 적고 타 종류의 지선을 시설할 수 없는 경우에 적용되는 지선은?
46. 화약류 저장장소의 배선공사에서 전용 개폐기에서 화약류 저장소의 인입구까지는 어떤 공사를 하여야 하는가?
47. 220[V] 전선로에 사용하는 과전류 차단기용 퓨즈가 견디어야 할 전류는 정격전류의 몇 배인가?
48. 3.2[㎜]이상의 굵은 단선의 분기 접속은 어떤 접속을 하여야 하는가?
49. 애자 사용공사에 의한 저압 옥내배선에서 잘못된 것은?
50. 전압계, 전류계 등의 소손 방지용으로 계기 내에서 장치하고 봉입하는 퓨즈는 어느 것인가?
51. 1.6[㎜] 19가닥의 경동연선의 바깥지름[㎜]은?
52. 옥내 배선공사에서 대지전압 150[V]를 초과하고 300[V]이하 저압 전로의 인입구에 반드시 시설해야 하는 지락차단 장치는?
53. 점유 면적이 좁고 운전 보수에 안전하며 공장, 빌딩 등의 전기실에 많이 사용되는 배전반은 어떤 것인가?
54. 금속관 배관공사에서 절연 부싱을 사용하는 이유는?
55. 교류 전등 공사에서 금속관 내에 전선을 넣어 연결한 방법 중 옳은 것은?




" 입니다. 이유는 금속관은 전기를 전달할 수 있는 전도체이기 때문에 전선을 금속관 내에 넣어 연결하면 전기가 잘 흐를 수 있습니다. 또한, 금속관은 보호 역할도 하기 때문에 전선이 외부로 노출되지 않아 안전성도 높아집니다.56. 급·배수 회로 공사에서 탱크의 유량을 자동 제어하는데 사용되는 스위치는?
57. 1차가 22.9[KV-Y]의 배전선로이고, 2차가 220/380[V] 부하 공급시는 변압기 결선을 어떻게 하여야 하는가?
58. 다음 중 알루미늄 전선의 접속 방법으로 적합하지 않은 것은?
59. 박스 안에서 가는 전선을 접속할 때에 어떤 접속으로 하는가?
60. 선로의 도중에 설치하여 회로에 고장 전류가 흐르게 되면 자동적으로 고장 전류를 감지하여 스스로 차단하는 차단기의 일종으로 단상용과 3상용으로 구분되어 있는 것은?
양전하를 많이 가진 물질은 전위가 낮은 이유는 전위는 전하의 이동에 필요한 일종의 에너지 차이를 나타내는 것이기 때문입니다. 양전하를 많이 가진 물질은 이미 전하가 많이 모여있기 때문에 전하를 더 이동시키기 위한 에너지 차이가 적어져 전위가 낮아집니다.
1초 동안에 1[C]의 전기량이 이동하면 전류는 1[A]이며, 전류의 방향은 전자의 이동방향과는 반대방향으로 정합니다.