1과목: 전기 이론
1. 100V의 교류 전원에 선풍기를 접속하고 입력과 전류를 측정하였더니 500[W], 7[A]였다. 이 선풍기의 역률은?
2. 정전용량이 같은 콘덴서 10개가 있다. 이것을 병렬 접속할 때의 값은 직렬 접속할 때의 값보다 어떻게 되는 가?
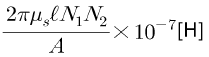
3. 환상철심의 평균자로길이 ℓ[m], 단면적 A[m2], 비투자율 μs, 권선수 N1, N2인 두 코일의 상호 인덕턴스는?




"은 위의 식을 나타내고 있습니다.4. 다음이 설명하는 것은?(금속 A와 B로 만든 열전쌍과 접점 사이에 임의의 금속 C를 연결해도 C의 양 끝의 접점의 온도를 똑같이 유지 하면 회로의 열기전력은 변화하지 않는다.)(오류 신고가 접수된 문제입니다. 반드시 정답과 해설을 확인하시기 바랍니다.)
5. 전류에 의해 발생되는 자기장에서 자력선의 방향을 간단하게 알아내는 법칙은?
6. 키르히호프의 법칙을 이용하여 방정식을 세우는 방법으로 잘못된 것은?
7. 1차 전지로 가장 많이 사용되는 것은?
8. 그림의 회로에서 전압 100[V]의 교류전압을 가했을 때 전력은?
9. 절연체 중에서 플라스틱, 고무, 종이, 운모 등과 같이 전기적으로 분극 현상이 일어나는 물체를 특히 무엇이라 하는가?
10. Y-Y결선 회로에서 선간 전압이 200V 일 때 상전압은 약 몇 [V]인가?
11. 저항과 코일이 직접 연결된 회로에서 직류 220[V]를 인가하면 20[A]의 전류가 흐르고, 교류 220[V]를 인가하면 10[A]의 전류가 흐른다. 이 코일의 리액턴스[Ω]는?
12. 100[V], 300[W]의 전열선의 저항값은?
13. RLC 직렬회로에서 전압과 전류가 동상이 되기 위한 조건은?
14. 자석에 대한 성질을 설명한 것으로 옳지 못한 것은?
15. 다음 중 자장의 세기에 대한 설명으로 잘못된 것은?
16. 14[C]의 전기량이 이동해서 560[J]의 일을 했을 때 기전력은 얼마인가?
17. 1개의 전자 질량은 약 몇 [kg]인가?
18. 평등자장 내에 있는 도선에 전류가 흐를 때 자장의 방향과 어떤 각도로 되어 있으면 작용하는 힘이 최대가 되는가?
19. 반도체로 만든 PN 접합은 무슨 작용을 하는가?
20. V = 200[V], C1=10[㎌], C2= 5[㎌]인 2개의 콘덴서가 병렬로 접속되어 있다. 콘덴서 C1에 축적되는 전하 [μC]는?
2과목: 전기 기기
21. ON, OFF를 고속도로 변환할 수 있는 스위치이고 직류 변압기 등에 사용되는 회로는 무엇인가?
22. 직류 발전기의 전기자 반작용에 의하여 나타나는 현상은?
23. 그림은 교류전동기 속도제어 회로이다. 전동기 M의 종류로 알맞은 것은?
24. 동기기에서 전기자 전류가 기전력보다 90° 만큼 위상이 앞설 때의 전기자 반작용은?
25. 변압기 기름의 구비조건이 아닌 것은?
26. 직류를 교류로 변환하는 장치는?
27. 병렬 운전 중인 동기 발전기의 난조를 방지하기 위하여 자극 면에 유도 전동기의 농형권선과 같은 권선을 설치 하는데 이 권선의 명칭은?
28. 동기속도 30[rps]인 교류 발전기 기전력의 주파수가 60[Hz]가 되려면 극수는?
29. 직류기에서 전압 변동률이 (-) 값으로 표시되는 발전기는?
30. 권선 저항과 온도와의 관계는?
31. 전기 기기의 철심 재료로 규소 강판을 많이 사용하는 이유로 가장 적당한 것은?
32. 3상 유도전동기의 1차 입력 60[kW], 1차 손실 1[kW], 슬립 3[%]일 때 기계적 출력 [kW]은?
33. 2차 전압 200[V], 2차 권선저항 0.03[Ω], 2차 리액턴스 0.04[Ω]인 유도전동기의 3[%]의 슬립으로 운전중이라면 2차 전류[A]는?
34. 복권 발전기의 병렬 운전을 안전하게 하기 위해서 두 발전기의 전기자와 직권 권선의 접촉점에 연결하여야 하는 것은?
35. 부흐홀츠 계전기로 보호되는 기기는?
36. 직류 전동기의 전기적 제동법이 아닌 것은?
37. 출력 10[kW], 슬립 4[%]로 운전되고 있는 3상 유도전동기의 2차 동손은 약 몇 [W]인가?
38. 동기 발전기의 병렬 운전 중 기전력의 위상차가 생기면 어떤 현상이 나타나는가?(문제 오류로 실제 시험에서는 2, 3 번이 정답 처리 되었습니다. 여기서는 2번을 정답처리 합니다.)
39. 단상 유도전동기 기동장치에 의한 분류가 아닌 것은?
40. 직류 발전기 전기자의 주된 역할은?
3과목: 전기 설비
41. 저압 연접인입선의 시설 방법으로 틀린 것은?
42. 애자사용공사에 대한 설명 중 틀린 것은?
43. 절연 전선을 서로 접속할 때 사용하는 방법이 아닌 것은?
44. 60[cd]의 점광원으로 부터 2[m]의 거리에서 그 방향과 직각인 면과 30° 기울어진 평면위의 조도[lx]는?
45. 220[V] 옥내 배선에서 백열전구를 노출로 설치 할 때 사용하는 기구는?
46. 사용전압이 35[kW]이하인 특고압 가공전선과 220[V] 가공전선을 병가할 때, 가공선로간의 이격거리는 몇[m] 이상 이어야 하는가?
47. 가공 전선로의 지지물이 아닌 것은?
48. 폭발성 분진이 존재하는 곳의 금속관 공사에 있어서 관 상호 및 관과 박스 기타의 부속품이나 풀박스 또는 전기기계기구와의 접속은 몇 턱 이상의 나사 조임으로 접속하여야 하는가?
49. 논이나 기타 지반이 약한 곳에 전주 공사시 전주의 넘어짐을 방지하기 위해 시설하는 것은?
50. 금속덕트 배선에 사용하는 금속덕트의 철판 두께는 몇 [mm] 이상 이어야 하는가?
51. 금속관 배선에 대한 설명으로 잘못된 것은?
52. 단선의 굵기가 6[mm2] 이하인 전선을 직선접속할 때 주로 사용하는 접속법은?
53. 저압 가공전선로의 지지물이 목주인 경우 풍압하중의 몇배에 견디는 강도를 가져야 하는가?
54. 간선에 접속하는 전동기의 정격전류는 합계가 50[A]이하인 경우에 그 정격전류 합계의 몇 배에 견디는 전선을 선정하여야 하는가?
55. 주위온도가 일정 상승률 이상이 되는 경우에 작동하는 것으로 일정한 장소의 열에 의하여 작동하는 화재 감지기는?
56. 아래 그림기호가 나타내는 것은?
57. 수ㆍ변전 설비의 고압회로에 걸리는 접압을 표시하기 위해 전압계를 시설할 때 고압회로와 전압계 사이에 시설하는 것은?
58. 합성수지제 가요전선관의 규격이 아닌 것은?
59. 400[V] 이상인 저압 옥내배선 공사를 케이블 공사로 할 경우 케이블을 넣는 방호 장치의 금속제 부분은 제 몇 종 접지공사를 하는가?(관련 규정 개정전 문제로 여기서는 기존 정답인 4번을 누르면 정답 처리됩니다. 자세한 내용은 해설을 참고하세요.)
60. 합성수지관 공사의 특징 중 옳은 것은?
여기서 유효전력은 500W이고, 전류와 전압을 곱한 피상전력은 700W입니다. 따라서 역률은 500W / 700W = 0.71입니다.
정답이 "0.71"인 이유는 이 선풍기가 전기 에너지를 상당히 효율적으로 사용하고 있기 때문입니다.