1과목: 전기자기학
1. 그림과 같이 전류 I[A]가 흐르는 반지름 a[m]의 원형 코일의 중심으로부터 x[m] 인 점 P의 자계의 세기는 몇 [AT/m]인가? (단, θ는 각 APO라 한다.)




2. 비투자율 μs=4인 자성체 내에서 주파수 1[GHz]인 전자기파의 파장[m]은?
3. 그림과 같은 회로 C에 전류 I[A]가 흐를 때 C의 미소부분 dl에 의하여 거리 r만큼 떨어진 P점에서의 자계의 세기 dH[AT/m]는? (단, θ는 dl과 거리 r이 이루는 각이다.)




4. 유전율 ℇ, 투자율 μ인, 매질 중을 주파수 f[㎐]의 전자파가 전파되어 나갈 때의 파장은 몇 [m]인가?




5. 회로가 닫혀있는 코일 1과 개방된 코일 2가 그림과 같이 평등 자계와 직각방향으로 서로 나란한 코일면을 유지하고 있을 때, 평등 자계의 자속이 일정한 비율로 감소하는 경우 다음 설명 중 옳은 것은?
6. 반지름 10cm인 도체구 A에 9[C]의 전하가 분포되어 있다 이 도체구에 반지름 5cm인 도체구 B를 접촉시켰을 때 도체구 B로 이동한 전하는 몇 [C]인가?(오류 신고가 접수된 문제입니다. 반드시 정답과 해설을 확인하시기 바랍니다.)
7. 전계 E=i3x2+j2xy2+kx2yz의 div E는 얼마인가?
8. 고유저항 p[Ω ㆍ m], 한변의 길이가 r[m]인 정육면체의 저항[Ω]은?

9. 정전용량이 1[㎌], 2[㎌]인 콘덴서에 각각 2×10-4[C] 및 3×10-4[C]의 전하를 주고 극성을 같게 하여 병렬로 접속할 때 콘덴서에 축적된 에너지는 약 몇 [J]인가?
10. 유전체에서 변위전류를 발생하는 것은?
11. 두 개의 똑같은 작은 도체구를 접촉하여 대전시킨 후 1[m] 거리에 떼어 놓았더니 작은 도체구는 서로 9×10-3[N]의 힘으로 반발했다. 각 전하는 몇 [C]인가?
12. 강자성체의 자화에 관한 설명으로 틀린 것은?
13. 축이 무한히 길고 반지름이 a[m]인 원주 내에 전하가 축대칭이며, 축방향으로 균일하게 분포되어 있을 경우, 반지름 r ( > a )[m] 되는 동심 원통면상 외부의 일점 P의 전계의 세기는 몇 [V/m]인가?




14. 전기기계기구의 자심재료로 규소 강판을 사용하는 이유는?
15. 자기 회로에서 단면적, 길이 투자율을 모두 1/2로 하면 자기 저항은 어떻게 되는가?
16. 비투자율 μs, 길이 l인 철심에 권수 N인 환상 솔레노이드 코일이 있다. 이 철심에 길이 l1인 미소 공극을 만들었을 때 공극 자계 세기 HA와 철심 자계 세기 HF의 비 (HF/HA)는?


17. 평행판 콘덴서의 판 사이에 비유전율 ℇs의 유전체를 삽입하였을 때의 정전용량은 진공일 때 보다 어떻게 되는가?
18. 공기 중에 고립하고 있는 지름 3cm의 구도체의 전위를 몇[kV]이상으로 하면 구 표면의 공기가 절연파괴 되는가? (단, 공기의 절연내력은 3 kV/mm라 한다.)
19. 전위 계수에 대한 설명 중 틀린 것은?
20. 전기력선의 기본 성질을 설명한 것 중 옳지 않은 것은?
2과목: 전력공학
21. 그림과 같은 수전단 전력원선도가 있다. 부하직선을 참고하여 다음 중 전압 조정을 위한 조상설비가 없어도 정전압 운전이 가능한 부하전력은 대략 어느 정도일 때인가?
22. 같은 전력을 수송하는 배전선로에서 다른 조건은 현상태로 유지하고 역률만을 개선할 때의 효과로 기대하기 어려운 것은?
23. 송전전력, 송전거리, 전선의 비중 및 전력 손실률이 일정 하다고 할 때, 전선의 단면적 A[mm2]와 송전전압 V[kV]의 관계로 옳은 것은?
24. 차단기와 차단기의 소호 매질로서 연결이 잘못된 것은?
25. 수전용 변전설비의 1차측에 설치하는 차단기의 용량은 어느 것에 의하여 정하는가?
26. 소호 리액터 접지 계통에서 리액터의 탭을 완전 공진 상태에서 약간 벗어나도록 하는 이유는?
27. 수전단 전압 66000V, 전류 200A, 선로저항 10[Ω], 선로 리액턴스 15[Ω]인 3상 단거리 송전선로의 전압 강하율은 약 몇%인가? (단, 수전단 역률은 0.8이다.)(오류 신고가 접수된 문제입니다. 반드시 정답과 해설을 확인하시기 바랍니다.)
28. 다음 중 통신선에 대한 유도장해가 가장 큰 배전 계통의 접지 방식은?
29. 선로 정수를 전체적으로 평형되게 하고 근접 통신선에 대한 유도 장해를 줄일 수 있는 방법은?
30. 반지름 15[mm]의 ACSR로 구성된 완전 연가된 3상 1회선 송전 선로가 있다. 각 상간의 등가 선간 거리가 3000[mm]라고 할 때, 이 선로의 [km]당 작용 인덕턴스는 몇 [mH/km]인가?
31. 설비 A가 150kW, 수용률 0.5, 설비 B가 250kW, 수용률 0.8일 때, 합성 최대 전력이 235kW이면, 부등률은 약 얼마인가?
32. 다음 중 경수감속 냉각형 원자로에 속하는 것은?
33. 부하의 선간전압 3300V, 피상전력 330kVA, 역률 0.7인 3상 부하가 있다. 부하의 역률을 0.85로 개선하는데 필요한 전력용 콘덴서의 용량은 약 몇 [kVA]인가?
34. 정상적으로 운전하고 있는 전력계통에서 서서히 부하를 조금씩 증가 했을 경우 안전 운전을 지속할 수 있는가 하는 능력을 무엇이라 하는가?
35. 그림과 같은 단상 3선식 배전선로에서 100V, 100W 전등을 AN간에 병렬로 5등, BN간에 병렬로 4등이 연결되어 운전하던 중 중성선이 단선되었다. 이때 AN간의 부하전압 VAN은 몇 [V]인가? (단, 선로는 저항뿐이고 부하까지 1선당 2.5[Ω]이다.)
36. 수력발전소의 댐 설계 및 저수지 용량 등을 결정하는데 가장 적합하게 사용되는 것은?
37. 반한시성 과전류 계전기의 전류-시간 특성에 대한 설명 중 옳은 것은?
38. 송전선에 댐퍼를 설치하는 주된 목적은?
39. 송전계통에서 이상전압의 방지대책으로 볼 수 없는 것은?
40. 보일러에서 흡수열량이 가장 큰 것은?
3과목: 전기기기
41. 슬립 6[%]인 유도 전동기의 2차측 효율[%]은?
42. 권수비 10:1인 동일정격 3대의 변압기를 Y-△로 결선하여 2차 단자에 200[V], 75[kVA]의 평형부하를 걸었을 때 각 변압기의 1차 권선의 전류[A] 및 1차 선간전압[V]은? (단, 여자전류와 임피던스는 무시한다.)
43. 3상 교류 발전기의 기전력에 대하여 π/2[rad]뒤진 전기자 전류가 흐르면 전기자 반작용은?
44. 용량 P[kVA]인 동일 정격의 단상 변압기 4대로 낼 수 있는 3상 최대 출력 용량은?
45. 직류 분권 전동기와 권선형 유도전동기와의 유사한 점은?
46. 변압기유 열화방지 방법 중 틀린 것은?
47. 내분권 가동복권 발전기의 단자전압 V는 얼마인가? (단, øs[Wb] : 직권 계자권선에 의한 자속, øf[Wb] : 분권 계자의 자속, Ra[Ω] : 전기자 권선 저항, Rs[Ω] : 직권계자 권선 저항, Ia[A] : 전기자 전류, I[A] : 부하전류, n[rps] : 속도, k = PZ/a이고, 자기 회로의 포화 현상과 전기자 반작용은 무시한다.)
48. 권선형 유도전동기 2대를 직렬종속으로 운전하는 경우의 속도는?
49. 유도 전동기의 특성에 관한 설명으로 옳은 것은?
50. 전기자 지름 0.2[m]의 직류 발전기가 출력 28[kW]의 출력에서 900[rpm]으로 회전하고 있을 때 전기자 주변속도는 약 몇 [m/sec]인가?
51. 3상 동기발전기의 매극 매상의 슬롯수를 3이라고 하면 분포계수는?




52. 정류자형 주파수 변환기의 구조에 관한 설명 중 틀린 것은?
53. 스테핑 모터의 설명 중 틀린것은?
54. 변압기에 사용되는 절연유의 성질이 아닌 것은?
55. 병렬운전을 하고 있는 두 대의 3상 동기 발전기 사이에 무효순환전류가 흐르는 것은 두 발전기의 기전력이 어떠할 때인가?
56. 반도체 사이리스터에 의한 제어는 어느 것을 변화시키는 것인가?
57. 3상 유도 전동기에 직결된 펌프가 있다. 펌프 출력은 80[kw], 효율 74.6[%], 전동기의 효율과 역률은 94[%] 와 90[%]라고 하면, 전동기의 입력은 약 몇 [kVA] 인가?
58. 다음 유도 전동기 기동법 중 권선형 유도전동기에 가장 적합한 기동법은?
59. 동기기의 안정도 증진법 중 옳은 것은?
60. 다음에서 게이트에 의한 턴온(turn-on)을 이용하지 않는 소자는?
4과목: 회로이론
61. 그림에서 전류계는 0.4[A], 전압계 V1은 3[V], V2는 4[V]를 지시했다. 저항 R3의 값[Ω]은? (단, 전류계 및 전압계의 내부저항은 무시한다.)
62. 전달함수 응답식 C(s)=G(s)=R(s)에서 입력함수를 단위 임펄스 δ(t)로 가할 때 계의 응답은?
63. 다음 회로에서 V1=6[V], R1=1[kΩ], R2=2[kΩ]일 때 등가회로로 변환한 회로의 합성저항 Rth[Ω]와 등가전압 Veq[V]는 얼마인가?
64. RC 회로의 입력 단자에 계단 전압을 인가하면 출력 전압은?
65. 전원이 Y결선, 부하가 △결선된 3상 대칭회로가 있다. 전원의 상전압이 220V이고, 전원의 상전류가 10A일 때, 부하 한 상의 임피던스[Ω]는?
66. Z1=3+j10[Ω], Z2=3-j2[Ω]의 두 임피던스를 직렬로 연결하고 양단에 100∠0[V]의 전압을 가했을 때 Z1, Z2에 걸리는 전압 V1, V2는 각각 얼마인가?
67. 어떤 제어계의 출력이
로 주어질 때 출력의 시간함수 c(t)의 정상값은?
68. 10t3의 라플라스 변환은?




69. Z = 8 + j6[Ω]인 평형 Y 부하에 선간전압 200[V] 인 대칭 3상 전압을 가할 때 선전류는 약 몇 [A]인가?
70. 그림과 같이 10[Ω]의 저항에 감은비가 10:1의 결합회로를 연결했을 때 4단자 정수 A, B, C, D는?
71. 다음과 같은 브리지 회로가 평형이 되기 위한 Z4의 값은?
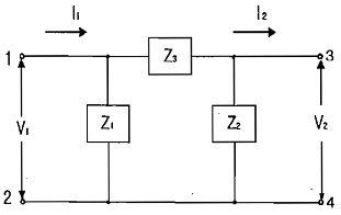
72. 주파수 f[Hz], 단상 교류전압 V[V]의 전원에 저항 R[Ω], 인덕턴스 L[H]의 코일을 접속한 회로가 있을 때, L을 가감해서 R의 전력을 L=0 일 때의 1/5로 하면 L[H]의 크기는?
73. R=10[Ω], L=5[μH]인 RL 직렬회로와 C=100[㎊]인 콘덴서가 병렬로 연결된 회로에서 공진시 공진임피던스[kΩ]는?
74. 그림과 같은 톱니파의 라플라스 변환은?




75. 불평형 3상 전류 Ia=18+j3, Ib=-25-j7,Ic=-5+j10일 때, 영상전류 I0는?
76. 그림에서 4단자 회로 정수 A, B, C, D 중 출력 단자 3, 4 가 개방되었을 때의 V1/V2인 A의 값은?




77. 그림과 같은 회로가 정저항 회로가 되려면 L은 몇[H] 이어야 하는가?(단,R=20[Ω], C=200[㎌]이다.)
78. 다상 교류회로 설명 중 잘못 된 것은?(단, n=상수)
이다.
이다.79. 대칭 3상 교류에서 각 상의 전압이 va, vb, vc일 때 3상 전압의 합은?
80.
로 표시되는 비정현파 전류의 실효값은 약 얼마인가?
5과목: 전기설비기술기준 및 판단 기준
81. 가공전선로 지지물에 시설하는 통신선으로 적합하지 아니한 것은?
82. 전로의 중성점을 접지하는 목적으로 볼 수 없는 것은?
83. 최대 사용전압이 6600[V]인 3상 유도전동기의 권선과 대지 사이의 절연내력 시험전압은 약 몇 [V]인가?
84. 습기가 있는 장소에서 사용전압이 440[V]인 경우 애자 사용 공사시 전선과 조영재 사이의 이격거리는 최소 몇 [cm]이상이어야 하는가?
85. 중성선 다중 접지한 22.9[kV] 3상 4선식 가공전선로를 건조물의 옆쪽 또는 아래쪽에서 접근 상태로 시설하는 경우 가공 나전선과 건조물의 최소 이격거리[m]는?
86. 제2종 접지공사에서 접지선의 굵기는 연동선인 경우 몇 [mm2] 이상인가?
87. 강제 배류기의 시설기준에 대한 설명으로 옳지 않은 것은?
88. 전격 살충기는 전격격자가 지표상 또는 마루 위 몇 [m]이상 되도록 시설하여야 하는가?
89. 수소냉각식의 발전기, 조상기에 부속하는 수소 냉각 장치에서 필요 없는 장치는?
90. 과전류차단기로 시설하는 퓨즈 중 고압전로에 사용하는 비포장 퓨즈는 정격전류의 최대 몇 배의 전류에 견디어야 하는가?
91. 가공전선로에 사용하는 지지물의 강도 계산시 구성재의 수직 투영면적 1[m2]에 대한 풍압을 기초로 적용하는 갑종풍압하중 값의 기준이 잘못된 것은?
92. 사용전압이 25000[V] 이하의 특고압 가공전선로에는 전화선로의 길이 12km 마다 유도전류가 몇 [㎂]를 넘지 아니하도록 하여야 하는가?
93. 저압 가공인입선의 시설에 대한 설명으로 틀린 것은?
94. 관, 암거 기타 지중전선을 넣는 방호장치의 금속제 부분, 금속제의 전선 접속함 및 지중전선의 피복으로 사용하는 금속체에 시행하는 접지공사의 종류는?(관련 규정 개정전 문제로 여기서는 기존 정답인 3번을 누르면 정답 처리됩니다. 자세한 내용은 해설을 참고하세요.)
95. 지중에 매설된 금속제 수도관로는 각종 접지공사의 접지극으로 사용할 수 있다. 다음 중에서 접지극으로 사용할 수 없는 것은?
96. 분기회로의 시설에서 저압 옥내간선과의 분기점에서 전선의 길이가 몇 [m] 이하인 곳에 개폐기 및 과전류 차단기를 시설하여야 하는가?
97. 출퇴표시등 제어회로의 배선을 금속덕트 공사에 의하여 시설하고자 한다. 절연피복을 포함한 전선의 총면적은 덕트 내부 단면적의 몇 [%]까지 할 수 있는가?
98. 가공전선로의 지지물에 하중이 가하여지는 경우에 그 하중을 받는 지지물 기초 안전율은 일반적인 경우에 얼마 이상이어야 하는가?
99. 3상 380[V] 모터에 전원을 공급하는 저압전로의 전선 상호간 및 전로와 대지 사이의 절연저항 값은 몇 [MΩ] 이상이 되어야 하는가?(오류 신고가 접수된 문제입니다. 반드시 정답과 해설을 확인하시기 바랍니다.)
100. 특고압 지중전선이 가연성이나 유독성의 유체(流體)를 내포하는 관과 접근하기 때문에 상호간에 견고한 내화성의 격벽을 시설하였다. 상호 간의 이격거리가 몇 [m] 이하인 경우인가?
B = μ₀I/2a * sinθ
여기서 μ₀는 자유공기의 유전율이고, I는 전류, a는 코일의 반지름, θ는 각 APO이다.
sinθ = x/√(a²+x²)
따라서,
B = μ₀I/2a * x/√(a²+x²)
보기에서 제시된 답 "