1과목: 전기자기학
1. 자기모멘트 9.8 × 10-5[Wb/m]의 막대 자석을 지구자계의 수평성분 10.5[AT/m]의 곳에서 지자기자오면으로부터 90° 회전시키는데 필요한 일은 몇 [J]인가?
2. 전기력선에 관한 다음 설명 중 틀린 것은?
개의 전기력선이 출입한다.3. 길이 ℓ[m], 단면적의 지름 d[m]인 원통이 길이방향으로 균일하게 자화되어 자화의 세기가 J[Wb/m2]인 경우 원통 양단에서의 전자극의 세기는 몇 [Wb]인가?


" 이다.4. 평등자계를 얻는 방법으로 가장 알맞은 것은?
5. 전선에 흐르는 전류를 1.5배 증가시켜도 저항에 의한 전압 강하가 변하지 않으려면 전선의 반지름을 약 몇 배로 하여야 되는가?
6. 자속의 연속성을 나타낸 식은?
7. 전계 E[V/m], 전속밀도 D[C/m2], 유전률 ε[F/m]인 유전체 내에 저장되는 에너지 밀도는 몇 [J/m3]인가?



" 이다.8. 도전률이 5.8 × 107, 비투자율이 1인 구리에 60[Hz]의 주파수를 갖는 전류가 흐를때, 표피 두께는 몇 [mm]인가?
9. 그림과 같은 1[m]당 권선수 n, 반지름a[m]의 무한장 솔레노이드에서 자기인덕턴스는 n과 a사이에 어떤 관계가 있는가?9
10. 다음 중 거리 r에 반비례하는 것은?
11. 간격 3[m]의 평행 무한평면도체에 각각 ±4[C/m2]의 전하를 주었을 때, 두 도체간의 전위차는 약 몇 [V]인가?
12. 유전률 ε[F/m], 고유저항 ρ[Ωㆍm]인 유전체로 채운 정전용량 C[F]의 콘덴서에 전압 V[V]를 가할 때, 유전체 중의 t초 동안에 발생 하는 열량은 몇 [cal]인가?




"이다.13. 내원통의 반지름 a, 외원통의 반지름 b인 동축원통 콘덴서의 내외 원통사이에 공기를 넣었을 때 정전용량이 Co 이었다. 내외 반지름을 모두 3배로 하고 공기대신 비유전률 9인 유전체 를 넣었을 경우의 정전용량은?


14. x>0 인 영역에 ε1=3인 유전체, x<0 인 영역에 ε2=5인 유전체가 있다. 유전률 ε2인 영역에서 전계 E=20ax+30ay-400az[V/m]일 때, 유전률 ε1인 영역에서의 전계 E1은 몇 [V/m]인가?

"이다. 이유는 x축 방향의 전계 성분은 유전률 ε2인 영역에서만 존재하므로, x축 방향의 전계 성분은 100ax-90ax=10ax이다. 따라서, 보기 중에서 x축 방향의 전계 성분이 10ax인 것은 "
"뿐이다.15. 반지름 a인 접지 구도체의 중심에서 d(>a)되는 점에 점전하 Q가 있을 때 영상전하 Q'의 크기는?




이다.16. 전자파의 특성에 대한 설명으로 틀린 것은?
17. 점전하 0.5 [C] 이 전계 E=3ax+5ay+8az[V/m] 중에서 속도 4ax+2ay+3az로 이동할 때 받는 힘은 몇 [N] 인가?
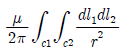
18. 그림과 같이 반지름 a인 무한길이 직선도선에 I인 전류가 도선 단면에 균일하게 흐르고 있다. 이 때 축으로부터 r(a>r)인 거리에 있는 도선 내부의 점 P의 자계의 세기에 관한 설명으로 옳은 것은?
19. C1, C2의 두 폐회로간의 상호인덕턴스를 구하는 노이만의 공식은?




"이다.
"이 정답인 이유는 M 값이 B1과 B2의 곱으로 나타나는데, B1과 B2가 서로 수직이기 때문이다. 이는 두 폐회로가 평행하지 않고 직교하는 경우에만 성립한다.20. 전계 E=i2e3xsin5y-je3xcos5y+k3ze4z일 때, 점(x=0, y=0, z=0)에서의 발산은?
2과목: 전력공학
21. 우리나라에서 사용하는 공칭전압 22,000(22,000/38,000)에서 괄호안인(22,000/38,000)의 의미는?
22. 전선 및 계기구를 보호하기 위한 목적으로 전로 중 필요한 개소에는 과전류차단기를 시설하여야 하는데 다음 중 필요한 개소가 아닌 곳은?
23. 반지름 16[mm]의 강심알루미늄 연선으로 구성된 완전 연가된 3상 1회선 송전선로가 있다. 각 상간의 등가 선간거리가 3,000[mm]라고 할 때, 이 선로의 작용인덕턴스는 약 몇[mH/km]인가?
24. 다음 중 감전 방지대책으로 적절하지 못한 것은?
25. 다음 중 송전선로에서 이상전압이 가장 크게 발생하기 쉬운 경우는?
26. 발열량 5,000[kcal/kg]의 석탄을 사용하고 있는 기력발전소가 있다. 이 발전소의 종합 효율이 30[%]라면, 30억 [kWh]를 발생하는데 필요한 석탄량은 몇 톤 인가?
27. 전력계통의 주파수 변동은 주로 무엇의 변화에 기인하는가?
28. 그림과 같이 수심이 5[m]인 수조가 있다. 이 수조의 측면에 미치는 수압 Po[kg/m2]는 얼마인가 ?
29. 그림의 F점에서 3상 단락고장이 생겼다. 발전기 쪽에서 본 3상 단락전류는 몇 [kA]가 되는가? (단, 154[kV] 송전선의 리액턴스는 1,000[MVA]를 기준으로 하여 2[%/km]이다.)
30. 한류리액터를 사용하는 가장 큰 목적은?
31. 계전기의 반한시 특성이란?
32. 전력계통의 과도안정도 향상 대책과 관련 없는 것은?
33. 피뢰기의 충격방전 개시전압은 무엇으로 표시하는가?
34. 전력용 콘덴서를 변전소에 설치할 때 직력리액터를 설치코자 한다. 직렬리액터의 용량을 결정하는 식은? (단, fo 는 전원의 기본주파수, C는 역률개선용 콘덴서의 용량, L은 직렬리액터의 용량임)




"이다.35. 네트워크 배전방식의 장점이 아닌 것은?
36. 단로기에 대한 설명으로 적합하지 않은 것은?
37. 가공지선에 대한 설명 중 틀린 것은?
38. 경간이 200[m]인 가공 전선로가 있다. 사용전선의 길이는 경간보다 몇 [m] 더 길게 하면 되는가? (단, 사용전선의 1[m]당 무게는 2[kg], 인장하중은 4,000[kg], 전선의 안전율은 2로 하고 풍압하중은 무시한다.)
39. 화력발전이 점유하는 비중이 수력발전에 비하여 대단히 큰 전력계통에서 수력발전의 운전방법으로 가장 적절한 것은?
40. 3상 선로의 전압이 V[V]이고, P[W],역률 cosθ인 부하에서 한 선의 저항이 R[Ω]이라면 이 3상 선로의 전체 전력손실은 몇 [W]가 되겠는가?




"이다.3과목: 전기기기
41. 다이오드를 사용한 정류회로에서 여러 개를 직렬로 연결하여 사용할 경우 얻는 효과는?
43. 3상 권선형 유도 전동기의 전부하 슬립이 5[%], 2차 1상의 저항 0.5[Ω]이다. 이 전동기의 기동토크를 전부하 토크와 같도록 하려면 외부에서 2차에 삽입할 저항은 몇 [Ω]인가?
44. 직류기의 최대효율이 되는 경우는 어느 것인가?
45. 단상 50[kVA] 1차 3300[V], 2차 210[V] 60[Hz] 1차 권회수 550, 철심의 유효단면적 150[cm2]의 변압기 철심의 자속밀도 [Wb/m2]는?
46. 보통 전기기계에서는 규소강판을 성충하여 사용하는 경우가 많다. 성충하는 이유는 다음 중 어느 것을 줄이기 위한 것인가?
47. 동기 발전기의 돌발 단락 전류를 주로 제한하는 것은?
48. 보통 농형에 비하여 2중 농형 전동기의 특징인 것은?
49. 동기 조상기를 부족 여자하면 다음 상수의 어떤 특성과 같은가?
50. 교류기에서 유기 기전력의 특정 고조파분을 제거하고 또 권선을 절약하기 위하여 자주 사용되는 권선법은?
51. 직류복권 발전기를 병렬 운전할 때, 반드시 필요한 것은?
52. 단상 유도전동기의 기동에 브러시를 필요로 하는 것은?
53. 그림과 같은 정합변압기(matching transformer)가 있다. R2에 주어지는 전력이 최대가 되는 권선비 a는?
54. 동기 전동기의 전기자 반작용에 있어서 맞는 것은?
55. 그림과 같은 단상 전파제어회로의 전원 전압의 최대치가 2300[V]이다. 저항 2.3[Ω], 유도리액턴스가 2.3[Ω]인 부하에 전력을 공급하고자 한다. 제어범위는?




"가 정답이다.56. 교류ㆍ직류 양용전동기(Universal motor), 또는 만능 전동기라고 하는 전동기는?
57. 동기속도를 2배로 하였을 때 3상유도 전동기의 동기와트는 몇 배가 되는가?
58. 3상 배전선에 접속된 V결선의 변압기에서 전부하시의 출력을 P[kVA]라 하면, 같은 변압기 한대를 증설하여 Δ결선하였을 때의 정격출력 [kVA]는?
59. 변압기에서 역률 100[%]일 때의 전압 변동률 ε은 어떻게 표시되는가?
60. 정격 출력시 부하손/고정손의 비는 2이고, 효율 0.8인 어느 발전기의 1/2 정격 출력시의 효율은?
4과목: 회로이론 및 제어공학
61. 전송 선로에서 무손실일 때, L=96[mH], C=0.6[μF]이면 특성 임피던스[Ω]는?
62. R-L직렬회로에서 주파수가 변할 때 임피턴스 궤적은?
63. 다음 회로의 4단자 정수는?
64. f(t)=te-3t 일 때 라플라스 변환은?




"이다.65. 대칭 5상 교류에서 선간 전압과 상 전압간의 위상차는?
66. 그림과 같은 회로에 t=0에서 S를 닫을 때의 방전 과도전류 i(t)[A]는?




"이다.67. 그림의 사다리꼴 회로에서 부하전압 VL의 크기 [V]는?
68. 그림과 같은 회로에서 E1과E2는 각각 100[V]이면서 60°의 위상차가 있다. 유도 리액턴스의 단자전압은? (단,R=10[Ω], XL=30[Ω]임)
69. R=10[Ω], L=10[mH], C=1[μF]인 직렬회로에 100[V] 전압을 가했을 때 공진의 첨예도 Q는 얼마인가?
70. 비정현파를 구성하는 일반적인 성분이 아닌 것은?
71. ω가 0에서 ∞까지 변화하였을때 G(jw)의 크기와 위상각을 극좌표에 그린 것으로 이 궤적을 표시하는 선도는?
72. 다음의 설명 중 틀린 것은?
73. G(jw)=j0.1w에서 w=0.01[rad/sec] 일 때, 계의 이득[dB]은 얼마인가?
74. 루스 후르비쯔 판별법에서 F(s)=s3+4s2+2s+K=0에서 시스템이 안정하기 위한 K의 범위를 구하시오.
75. 응답이 최종값의 10[%]에서 90[%]까지 되는데 요하는 시간은?
77. 특성방정식이 실수계수를 갖는 S의 유리함수일 때 근궤적은 무슨 축에 대하여 대칭인가?
78. 논리식 중 다른 값을 나타내는 논리식은?




" 이다. 이유는 이 논리식은 모든 입력값에 대해 항상 거짓을 반환하기 때문이다. 즉, 다른 값을 나타내는 논리식은 참과 거짓을 모두 반환하는데, 이 논리식은 항상 거짓만 반환하므로 다른 값을 나타내는 논리식이 아니다.79. 계의 이득 여유는 보드 선도에서 위상곡선이 ( )의 점에서의 이득값이 된다. ( )에 알맞은 것은?
80. 다음 설명 중 옳지 않은 것은?
이다.5과목: 전기설비기술기준 및 판단기준
81. 아크용접장치의 용접변압기에서 용접 전극에 이르는 부분에 사용할 수 없는 전선은?
82. 전원 측 전로에 시설한 배선용 차단기의 정격전류가 몇 [A] 이하의 것이면 이 전로에 접속하는 단상 전동기에는 과부하 보호장치를 생략할 수 있는가?
83. 전로의 절연 원칙에 따라 대지로부터 반드시 절연하여야 하는 것은?
84. 직류귀선의 궤도 근접부분이 금속제 지중관로와 1[km] 안에 접근하는 경우 금속제 지중관로에 대한 전식작용의 장해를 방지하기 위한 귀선의 시설방법으로 옳은 것은?
85. 철도ㆍ궤도 또는 자동차도의 전용 터널안의 터널내 전선로의 시설방법으로 틀린 것은?
86. 무대, 무대마루 밑, 오케스트라 박스, 영사실 기타 사람이나 무대 도구가 접촉할 우려가 있는 곳에 시설하는 저압 옥내배선, 전구선 또는 이동 전선은 사용전압이 몇 [V]이어야 하는가?
87. 특별고압 가공전선로에 사용되는 B종 철주 중각도형은 전선로 중 최소 몇 도를 넘는 수평 각도를 이루는 곳에 사용되는가?
88. 일반 주택의 저압 옥내배선을 점검하였더니 다음과 같이 시공되어 있었다. 잘못 시공된 것은?
89. 방전등용 안정기로부터 방전관까지의 전로를 무엇이라고 하는가?
90. 시가지에 시설하는 통신선은 특별고압 가공전선로의 지지물에 시설하여서는 아니된다. 그러나 통신선이 지름 몇 [mm] 이상의 절연전선 또는 이와 동등 이상의 세기 및 절연효력이 있는 것이면 시설이 가능한가?
91. 욕탕의 양단에 판상의 전극을 성치하고, 그 전극 상호간에 미약한 교류전압을 가하여 입욕자에게 전기적 자극을 주는 전기욕기의 전원 변압기 2차측 전로의 사용전압은 몇 [v] 이하인 것을 사용하여야 하는가?
92. 가공 접지선을 써서 제2종 접지공사를 하는 경우 변압기의 시설 장소로부터 몇 [m] 까지 떼어 놓을 수 있는가?
93. 154[kV] 가공전선을 지지하는 애자장치의 50[%] 충격섬락전압 값이 그 전선의 근접한 다른 부분을 지지하는 애자장치의 값의 몇[%] 이상이고, 또한 위험의 우려가 없도록 하면 시가지 기타 인가가 밀집하는 지역에 시설하여도 되는가?
94. 고압 가공인입선 등을 다음과 같이 시설하였다. 시설 방법이 옳지 않은 것은?
95. 다음의 공사에 의한 저압 옥내배선중 사용되는 전선이 반드시 절연전선이 아니라도 상관없는 공사는?
96. 차량, 기타 중량물의 압력을 받을 우려가 없는 장소에 지중 전선을 직접 매설식에 의하여 매설하는 경우에는 매설 깊이를 몇 [cm] 이상으로 하여야 하는가?
97. 빙설이 많은 지방이고 인가가 많이 연접된 장소에 시설하는 가공전선로의 구성재 중 병종풍압 하중의 적용을 할 수 없는 것은?
98. 저압의 전선로 중 절연부분의 전선과대지간의 절연저항은 사용전압에 대한 누설전류가 최대공급전류의 몇 분의 1을 넘지 아니하도록 유지하여야 하는가?
99. 고압 지중전선이 지중 약전류 전선 등과 접근하여 이격거리가 몇 [cm] 이하인 때에는 양 전선 사이에 견고한 내화성의 격벽을 설치하는 경우 이외에는 지중전선을 견고한 불연성 또는 난연성의 관에 넣어 그 관이 지중 약전류 전선 등과 직접 접촉되지 않도록 하여야 하는가?
100. 풀용 수중조명등에 사용되는 절연변압기의 2차측 전로의 사용전압이 몇 [V]를 넘는 경우에 그 전로에 지기가 생겼을 때 자동적으로 전로를 차단하는 장치를 하여야 하는가?




일력은 자기장 세기와 면적의 곱으로 나타낼 수 있다. 따라서 일력은 다음과 같이 계산할 수 있다.
일력 = 자기장 세기 × 면적 = 10.5 [AT/m] × (9.8 × 10^-5 [m^2]) = 1.029 × 10^-6 [N]
여기서 면적은 막대 자석의 단면적이다.
막대 자석이 회전하는 거리는 원호의 길이로 나타낼 수 있다. 따라서 회전하는 거리는 다음과 같이 계산할 수 있다.
회전하는 거리 = 2π × 반지름 = 2π × (0.5 × 10^-3 [m]) = 3.142 × 10^-3 [m]
따라서 필요한 일은 다음과 같이 계산할 수 있다.
필요한 일 = 일력 × 회전하는 거리 = 1.029 × 10^-6 [N] × 3.142 × 10^-3 [m] = 3.236 × 10^-9 [J]
보기에서 정답이 "1.03×10^-3"인 이유는 단위를 잘못 사용했기 때문이다. 정답인 "1.03×10^-3"은 단위를 [mJ]로 사용한 것이다. 따라서 정답은 3.236 × 10^-9 [J]를 [mJ]로 변환한 값인 것이다.