1과목: 전기자기학
1. 그림과 같은 직각 코일이
인 자계에 위치하고 있다. 코일에 5[A] 전류가 흐를 때 Z축에서의 토크 [Nm]는?
2. 정전계에 주어진 전하분포에 의하여 발생되는 전계의 세기를 구하려고 할 때 적당하지 않은 방법은?
3. 인덕턴스의 단위와 같지 않은 것은?




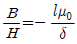
"은 전하의 단위인 쿨롱(Coulomb)과 관련된 단위이므로 인덕턴스의 단위와 같지 않다.4. 공극(air gap)이 δ[m]인 강자성체로 된 환상 영구자석에서 성립하는 식은?(단, l[m]는 영구자석의 길이이며 l ≫ δ 이고, 자속밀도와 자계의 세기를 각각 B[Wb/m2, H[AT/m] 라 한다.)




"이 정답이 된다.5. 자장 B=3ax-5ay-6az[Wb/m2] 내에서 점전하 0.2[C]이 속도 v=4ax-2ay-3az[m/s] 로 움직일 때 이 점전하에 작용하는 힘의 크기는 몇 [N]이 되는가?(문제 오류로 실제 시험에서는 정한 정답되리 되었습니다. 여기서는 3번을 누르면 정답 처리 됩니다. 자세한 내용은 해설을 참고하세요.)
6. 그림과 같은 정방형관 단면의 격자점 ⑥의 전위를 반복법으로 구하면 약 몇 [V]가 되는가?
7. 전계
의 평면 전자파가 있다. 진공 중에서 자계의 실효값은 몇 [A/m]인가?
8. Q=0.15[C]으로 대전하고 있는 큰 도체구에 그 반경이 큰구의 1/2 인 작은 도체구를 접촉했다가 떼면, 작은 도체구가 얻는 전하[C]는 얼마로 되는가?
9. 반지름 a, b인 두 구상 도체 전극이 도전율 k인 매질속에 중심거리 r만큼 떨어져 놓여 있다. 양 전극간의 저항은? (단, r>>a, b 이다.)




" 이 정답이 된다.10. 정현파 자속의 주파수를 3배로 높이면 유기기전력은?
11. 매질 1은 나일론(비유전율 εs=4)이고, 매질 2는 진공일때 전속밀도 D가 경계면에서 각각 θ1, θ2의 각을 이룰 때 θ2=30° 라고 하면 θ1의 값은?(문제 오류로 가답안 발표시 1번으로 발표되었지만 확정답안 발표시 전항 정답 처리 되었습니다. 여기서는 가답안인 1번을 누르면 정답 처리 됩니다.)




12. 무한장 솔레노이드에 전류가 흐를 때 발생되는 자계에 관한 설명으로 옳은 것은?
13. 물질의 자화 현상은?
14. 두 개의 전기회로 간의 상호 인덕턴스를 구하는데 사용하는 방법은?
15. 공기 중의 두 점전하사이에 작용하는 힘이 5[N]이었다. 두 전하간에 유전체를 넣었더니 힘이 2[N]으로 되었다면 유전체의 비유전율[F/m]은 얼마인가?
16. 공기중에 놓인 지름 1[m]의 구도체에 줄 수 있는 최대 전하는 몇 [C]인가? (단, 공기의 절연내력은 3000[kV/m]이다.)
17. 유전체에서 변위 전류에 대한 설명으로 옳은 것은?
18. 진공 중에 있는 대전 도체구의 표면전하밀도가 σ[C/m2] 전위가 V[V]일 때 도체 표면의 법선방향(바깥쪽)을 n이라 할 때 성립되는 관계식은?




"이다.19. 자기 모멘트 9.8×10-5[Wbㆍm] 의 막대자석을 지구자계의 수평성분 12.5[AT/m]의 곳에서 지자기 자오면으로부터 90도 회전시키는데 필요한 일은 약 몇 [J]인가?
20. 그림과 같은 원형 코일이 두 개가 있다. A의 권선수는 1회, 반지름 1[m], B의 권선수는 2회, 반지름은 2[m]이다. A와 B의 코일중심을 겹쳐 두면 중심에서의 자속이 A만 있을 때의 2배가 된다. A와 B의 전류비 IB/IA는?
2과목: 전력공학
21. 전력선 a의 충전전압을 E, 통신선 b의 대지 정전용량을 Cb, a-b 사이의 상호 정전용량을 Cab라고 하면 통신선 b의 정전 유도 전압 Es 는?




"이 정답이다.23. 송전선로에서 가공지선을 설치하는 목적이 아닌 것은?
24. 송전선에 직렬콘덴서를 설치하는 경우 많은 이점이 있는 반면, 이상 현상도 일어날 수 있다. 직렬 콘덴서를 설치하였을 때 타당하지 않은 것은?
25. 송전선로에 매설지선을 설치하는 목적으로 알맞은 것은?
26. 유효낙차 150[m], 출력 20000[kw], 회전수 375[rpm]인 수차의 특유속도는 약 몇 [rpm]인가?
27. 전선의 굵기가 동일하고 완전히 연가되어 있는 3상 1회선 송전선의 대지정전용량을 옳게 나타낸 것은? (단, r : 도체의 반지름, D : 도체의 등가 선간 거리, h : 도체의 평균 지상 높이이다.)




"이 정답이다.28. 배전용 변전소의 주변압기로 주로 사용되는 것은?
29. 각각 다른 2개의 전력계통을 연락선(Tie line)을 통하여 상호 연계하면 여러 가지 장점이 잇는데, 계통 운용상 이득이 아닌 것은?
30. 수전용 변전설비의 1차측 차단기의 용량은 주로 어느 것에 의하여 정해지는가?
31. 500[kVA]의 단상 변압기 상용 3대(결선 Δ-Δ), 예비 1대를 갖는 변전소가 있다. 부하의 증가로 인하여 예비 변압기까지 동원해서 사용한다면 응할 수 있는 최대 부하[kVA]는?
32. 최소 동작전류값 이상이면 일정한 시간에 동작하는 한시 특성을 갖는 계전기는?
33. 기력발전소의 열사이클 중 가장 기본적인 것으로 두 개의 등압변화와 두 개의 단열변화로 되는 열사이클은?
34. 그림과 같은 수전단 전력원선도에서 직선 OL은 지상역률 cosθ 인 부하직선을 나타낸다. 다음 설명 중 옳지 않은 것은? (단, C점은 원선도의 중심점이다.)
35. 계통의 안정도 증진대책이 아닌 것은?
36. 송전전력, 송전거리, 전선로의 전력 손실이 일정하고 같은 재료의 전선을 사용한 경우 단상 2선식에 대한 3상 3선식의 1선당의 전력비는 얼마인가?
37. 어떤 공장의 수용설비 용량이 1800[kw], 수용률은 55[%], 평균 부하역률은 90[%]라 한다. 이 공장의 수전설비는 몇 [kVA]로 하면 되는가?
38. 부하전력 및 역률이 같을 때 전압을 n배 승압하면 전압 강하와 전력손실은 각각 어떻게 되는가?
39. 3상 동기 발전기 단자에서의 고장 전류 계산 시 영상전류 I0, 정상전류 I1과 역상전류 I2가 같은 경우는?
40. 일반 회로정수가 A, B, C, D이고 송전단 상전압이 Es인 경우 무부하시 송전단의 충전전류(송전단 전류)는?
3과목: 전기기기
41. 변압기 2대를 사용하여 V결선으로 3상 변압하는 경우 변압기 이용률은 얼마[%]인가?
42. 3상 유도 전동기의 회전방향은 이 전동기에서 발생되는 회전 자계의 회전 방향과 어떤 관계가 있는가?
43. 3상 유도 전동기에서 2차측 저항을 2배로 하면 그 최대 토크는 몇 배로 되는가?
44. 돌극형 동기 발전기의 특성이 아닌것은?
45. 다음 중 DC서보모터의 제어 기능에 속하지 않는 것은?
46. 동기 발전기의 회전자 둘레를 2배로 하면 회전자 주변속도는 몇 배가 되는가?
47. 실리콘 정류 소자(SCR)와 관계 없는 것은?
48. Y결선한 변압기의 2차측에 다이오드 6개로 3상 전파의 정류회로를 구성하고 저항 R을 걸었을 때의 3상 전파 직류 전류의 평균치 I[A]는?(단, E는 교류측의 선간전입이다.)




" 이다.49. 권수가 같은 2대의 단상 변압기로 3상 전압을 2상으로 변압하기 위하여 스코트 결선을 할 때 T좌 변압기의 권수는 전권수의 어느 점에서 택해야 하는가?
50. 전동기 기동시 1차 각상의 권선에 정격전압의 1/√3 전압이 가해지고, 기동 전류는 전 전압기동을 한 경우보다 1/3이 되는 기동법은?
51. 어떤 수차용 교류 발전기의 단락비가 1.2이다. 이 발전기의 % 동기임피던스는?
52. 200[kVA]의 단상 변압기가 있다. 철손 1.6[kW], 전부하동손 3.2[kW]이다. 이 변압기의 최대 효율은 어느 정도의 전부하에서 생기는가?
53. 권선형 유도전동기의 전부하 운전시 슬립이 4[%]이고 2차 정격전압이 150[V]이면 2차 유도 기전력은 몇 [V]인가?
54. 3상 유도전동기의 특성에서 비례추이하지 않는 것은?
55. 단자전압 220[V]에서 전기자 전류 30[A]가 흐르는 직권 전동기의 회전수는 500[rpm]이다. 전기자 전류 20[A]일 때의 회전수는 약 몇 [rpm]인가? (단, 전기자 저항과 계자권선의 저항의 합은 0.8[Ω]이고 자기 포화와 전기자 반작용은 무시한다.)
56. 다음 중 권선형 유도전동기의 기동법은?
57. 동기 발전기 단절권의 특징이 아닌 것은?
58. 1차 전압 2200[V], 무부하 전류 0.088[A]인 변압기의 철손이 110[W]이었다. 자화 전류는 약 몇 [A]인가?
59. 단상 직권 정류자 전동기에 있어서의 보상권선의 효과로 틀린 것은?
60. 직류 발전기를 병렬운전할 때 균압모선이 필요한 직류기는?
4과목: 회로이론 및 제어공학
61. 다음 논리회로의 출력은?




" 입니다.62. Routh 안정도 판별법에 의한 방법 중 불안정한 제어계의 특성 방정식은?
63. 그림과 같은 신호흐름 선도에서 전달함수 C/R 는?




" 입니다.64. 샘플러의 주기를 T라 할 때 S-평면상의 모든 점은 식 Z=esT에 의하여 Z-평면상에 사상 된다. S-평면의 좌반평면상의 모든 점은 Z-평면상 단위원의 어느 부분으로 사상되는가?
65. 다음 쌍곡선 함수의 라플라스 변환은?




"는 위 식의 우변과 같으므로 정답이다.66. 특성방정식 s3+34.5s2+7500s+7500k=0로 표시되는 계통이 안정되려면 k의 범위는?
67. 개루프 전달함수
의 이탈점에 해당되는 것은?
68. 다음의 신호선도를 메이슨의 공식을 이용하여 전달함수를 구하고자 한다. 이 신호선도에서 루프(loop)는 몇 개인가?
69.
의 나이퀴스트 선도는? (단, K > 0 이다.)




" 이다.70. 다음 전달함수 중 적분 요소에 해당되는 것은?
71. 그림과 같은 회로의 a,b 단자간의 전압은?
72. L형 4단자 회로망에서 4단자 상수가 A=15/4, D=1 이고, 영상 임피던스 Z02=12/5[Ω] 일 때, 영상 임피던스 Z01 은 몇 [Ω]인가?
73. 다음 함수의 역라플라스 변환은?
74. 그림의 회로에서 스위치 S를 닫을 때의 충전전류 i(t)[A] 는 얼마인가? (단, 콘덴서에 초기 충전전하는 없다.)




"이다.75. 무왜형 선로를 설명한 것 중 옳은 것은?
76. 2단자 임피던스 함수
일 때 극점(pole)은?
77. 그림과 같은 파형의 순시값은?




"이다.78. 스위치 S를 열었을 때 전류계의 지시는 10[A]이었다. 스위치 S를 닫았을 때 전류계의 지시는 몇 [A]인가?
79. 내부 임피던스가 0.3+j2[Ω]인 발전기에 임피던스가 1.7+j3[Ω]인 선로를 연결하여 전력을 공급한다. 부하 임피던스가 몇 [Ω]일 때 최대전력이 전달되는가?

80. 어떤 함수f(t)를 비정현파의 푸리에 급수에 의한 전개를 옳게 나타낸 것은?




"이다.
"이다.5과목: 전기설비기술기준 및 판단기준
81. 사용 전압이 440[V]이며 사람이 접촉할 우려가 있는 장소에 옥내배선을 케이블 공사로 시공하는 경우 전선의 피복에 사용하는 금속체에는 몇 종 접지공사를 하여야 하는가?(관련 규정 개정전 문제로 여기서는 기존 정답인 1번을 누르면 정답 처리됩니다. 자세한 내용은 해설을 참고하세요.)
82. 정격전류가 15[A]를 넘고 20[A]이하인 배선용 차단기로 보호되는 저압 옥내전로의 콘센트는 정격전류가 몇 [A] 이하인 것을 사용하여야 하는가?
83. 욕실 등 인체가 물에 젖어 있는 상태에서 물을 사용하는 장소에 콘센트를 시설하는 경우에 적합한 누전차단기는?
84. 특고압 가공 전선로의 지지물 양쪽의 경간의 차가 큰 곳에 사용되는 철탑은?
85. 가공전선로의 지지물에 하중이 가해지는 경우에 그 하중을 받는 지지물의 기초 안전율은 몇 이상이어야 하는가?
86. 특고압 가공전선과 가공약전류 전선 사이에 사용하는 보호망에 있어서 보호망을 구성하는 금속선의 상호 간격[m]은 얼마 이하로 시설하여야 하는가?
87. 접지 공사에 관한 내용 중 옳지 않은 것은?(관련 규정 개정전 문제로 여기서는 기존 정답인 4번을 누르면 정답 처리됩니다. 자세한 내용은 해설을 참고하세요.)
88. 전력보안 가공 통신선 시설시 통신선은 조가용 선으로 조가 하여야 하는데 지름 몇[mm] 경동선을 사용하는 경우에 는 그러하지 않아도 되는가? (단, 케이블을 제외한다.)(오류 신고가 접수된 문제입니다. 반드시 정답과 해설을 확인하시기 바랍니다.)
89. 고압 가공인입선의 전선으로는 지름이 몇 [mm]이상의 경동선의 고압 절연전선을 사용하는가?
90. 의료용 접지센터, 의료용 콘센트 및 의료용 접지단자는 특별한 경우 이외에는 의료실 바닥 위 몇 [cm] 이상의 높이에 시설하여야 하는가?(관련 규정 개정으로 기존 정답을 4번입니다. 여기서는 4번을 누르면 정답 처리 됩니다. 자세한 내용은 해설을 참고하세요.)
91. 최대 사용 전압이 6600[V]인 3상 유도전동기의 권선과 대지 사이의 절연내력 시험전압은 최대 사용전압의 몇 배인가?
92. 가공 전선로의 지지물에 지선을 시설하려고 한다. 이 지선의 기준으로 옳은 것은?
93. 가공 전선로의 지지물에 취급자가 오르고 내리는데 사용하는 발판 볼트 등은 지표상 몇 [m] 미만에 시설하여서는 아니 되는가?
94. 저압 연접 인입선은 인입선에서 분기하는 점으로부터 몇 [m]를 초과하는 지역에 미치지 아니하도록 시설하여야 하는가?
95. 전기철도에서 가공 교류절연귀선의 시설은 어느 경우에 준하여 시설하여야 하는가?(오류 신고가 접수된 문제입니다. 반드시 정답과 해설을 확인하시기 바랍니다.)
96. 고압 및 특고압의 전로에 절연내력 시험을 하는 경우 시험 전압을 연속해서 얼마동안 가하는가?
97. 수소 냉각식 발전기, 조상기 또는 이에 부속하는 수소 냉각 장치에 시설하는 계측 장치에 해당되지 않는 것은?
98. 사용전압이 300[V]인 지중전선이 지중약전류 전선과 접근 또는 교차할 때 상호간에 내화성 격벽을 설치한다면 상호간의 이격거리는 몇 [cm] 이하인 경우인가?
99. 특고압전로와 저압전로를 결합한 변압기에 실시한 제 2종 접지공사의 저항 값은 몇 [Ω]이하로 하여야 하는가?(단, 전로에 지락이 생겼을 때 1초 이내에 차단하는 장치가 되어 있으며, 1선 지락 전류는 6[A]이다.)(오류 신고가 접수된 문제입니다. 반드시 정답과 해설을 확인하시기 바랍니다.)
100. 발전소에서 계측장치를 시설하지 않아도 되는 것은?
