1과목: 전자회로
1. 펄스부호변조(PCM)에 대한 설명 중 옳지 않은 것은?
2. 궤환 증폭기의 구조 중 그림과 같은 것을 무엇이라고 하는가?
3. 회로의 대역 폭(Band Width)을 결정하는 소자에 대한 올바른 문장은? (단, Tr의 표유용량 및 접합용량은 무시한다.)
4. 그림과 같은 증폭기에서 Re에 병렬로 바이패스 콘덴서를 접속하면?
5. 링(ring) 변조기의 용도는?
6. 입력신호 10[mV]를 가했을때에 제 2 차 고조파 왜율 10[%]를 발생하고 10[W]를 부하에 공급하는 증폭기가 있다. 이 증폭기를 사용하여 40[dB]의 전압 직렬궤환을 걸고 출력을 그대로 10[W]로 유지하려면 왜율은 얼마나 되겠는가? (단, 증폭기 전압이득은 60[dB]이다.)
7. 그림과 같이 1[㏀] 저항과 다이오드의 직렬 회로에서 전압 VD의 크기는 대략 얼마인가?
8. 비안정 멀티바이브레이터의 동작 원리를 설명한 것 중 옳지 않은 것은?
9. 그림의 게이트(gate)는? (단, 정논리인 경우이다.)
10. 플립플롭(Flip-Flop)과 관계없는 것은?
11. J-K 플립플롭을 사용하여 D 플립플롭을 만들려고 한다. 필요한 게이트(gate)는?
12. 트랜지스터의 정특성에서 VCE=7.5[V]일때 IB=100[μA]에서 250[μA]까지 변화시켰더니 VBE=0.2[V]에서 0.3[V]로 되었다고 한다. 이 트랜지스터의 hie는?
13. 3초과 코드(Excess-3 code)는 어떻게 구성하는가?
14. 그림과 같은 회로의 출력 전압은 약 얼마인가? (단, 다이오드의 커트인 전압은 0.6V이고, 도전하는 다이오드 양단의 전압 강하는 0.7V이다.)
15. 그림과 같은 회로에서 출력 전압은? (단, R1 = R2 이고, R3 = R4 이다.)
16. 다음 회로의 교류 부하선의 기울기는?
17. 이득이 40[dB]의 저주파증폭기에서 0.092의 전압부궤환을 걸면 안걸었을 때에 비해 의율은 어떻게 되는가?
18. 다음은 증폭기에서 발생하는 일그러짐(distortion)의 종류들이다. 이 중 진폭 일그러짐에 가장 큰 영향을 미치는 것은?
19. 그림과 같은 OP Amp의 완전한 평형 조건은?
20. 다음 그림의 변조도는 약 몇 (%)인가? (단, A = 10[V], B = 5[V], C = 2.5[V]이다.)
2과목: 전기자기학 및 회로이론
21. 한변의 길이가 a[m]인 정 6각형의 꼭지점에 Q[C]의 전하를 각각 놓았을 때 정6각형 중심의 전계의 세기는 몇 V/m인가?
22. 그림과 같은 이상 변압기에서 권선비 n1 : n2 = 1 : 2이고, RL=800[Ω]일 때 입력 측에서 본 등가 임피던스 Ri는 몇 [Ω]인가?
23. 그림과 같은 2개의 동심구에서 내구의 반지름이 a[m], 외구의 안지름이 b[m], 외구의 바깥지름이 c[m]일 때 전위계수 P11을 구하면?




"이다.24. 그림의 회로가 정저항 회로가 되려면 L은 몇 [H]인가? (단, R=20[Ω] , C=200[㎌]이다.)
25. 일정한 정현파 전류가 일정한 용량을 갖는 인덕터의 양단에 인가되고 있다. 만약, 인덕터의 인덕턴스가 증가되었을 경우 이 때의 유도전압은?
26. 물의 유전률을 ε, 투자율을 μ라 할 때 물속에서의 전파속도는 몇 m/s 인가?




27. 선형 회로망에 가장 관계가 있는 것은?
28. 진공의 유전률 107/4πC2과 같은 값은 몇 F/m 인가? (단, C 는 광속도라 한다.)
29. 어떤 콘덴서가 누설이 없다면 이 콘덴서의 소모 전력은 어떻게 되겠는가?(오류 신고가 접수된 문제입니다. 반드시 정답과 해설을 확인하시기 바랍니다.)
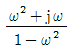
30. 그림과 같은 회로망 전압비의 전달함수 G(jω)는? (단, e(t)는 정현파이다.)




"가 된다.31. 영구 쌍극자 모멘트를 갖고 있는 분자가 외부 전계에 의하여 배열되므로서 일어나는 전기분극 현상은?
32. 그림과 같은 시간 함수를 라플라스 변환하면?
33. 자기인덕턴스가 각각 L1[H], L2[H]이고 상호인덕턴스가 M[H]인 두 회로의 결합계수가 1 이면 자기인덕턴스와 상호인덕턴스의 관계는?
34. 분포정수 회로에서 전파 정수를 읕, 선로의 특성 임피던스를 Zo라 할 때 선로의 직렬 임피던스 Z는?
35. 60[C/S], 100[V]의 교류 전압을 200[Ω] 전구에 인가할 때 소비되는 평균 전력은 몇 [W]인가?
36. 그림과 같은 회로의 임피던스 행렬에서 임피던스 파라미터 Z21은?
37. 그림과 같은 회로망 가지에서 I4의 값은?
38. 그림과 같이 공극이 있는 철심 자기회로에 500AT의 기자력을 가한 경우 자속
는 몇 Wb 인가? (단, 철심의 비투자율 μs=1000, 공극간격 Ig=10mm이고, 누설자속은 없으며, 공극에서 자속의 퍼짐은 고려 하지 않는다.)
39. 용량이 0.03μF인 평판 공기콘덴서에 극판과 수직되게 판면적의 1/2되는 유리판을 삽입하였을 때 정전용량은 몇 μF 인가? (단, 유리의 비유전율은 10 이다.)
40. 그림과 같이 반지름 a인 원의 일부(3/4 원)에 반무한장 직선을 연결시키고 화살표 방향으로 전류 I[A]가 흐를 때 부분 원의 중심 0점의 자계의 세기는 몇 AT/m 인가?
3과목: 전자계산기일반
41. computer system 내부에서 system의 상태를 기록하고 있는 특별한 word를 무엇이라 하는가?
42. 명령(instruction)의 형식에 있어서 연산수(주소의 개수)에 의한 분류시 해당되지 않는 것은?
43. 양방향성 버스(bus)인 것은?
44. 산술과 논리 동작의 결과가 축적되는 레지스터는?
45. 연산 명령이 아닌 것은?
46. 비휘발성 기억 소자가 아닌 것은?
47. 단항(unary) 연산이 아닌 것은?
48. 코딩을 하면 바로 프로그램이 작성될 수 있을 정도로 가장 세밀하게 그려진 순서도는?
49. 어셈블리 언어로 프로그램을 작성할 때 절대번지 대신에 간단한 기호 명칭을 사용할 수 있는데 이러한 번지를 무엇이라 하는가?
50. Read와 Write가 가능한 주기억 장치 소자로 기억 상태를 유지하기 위해 주기적으로 재생 전원이 필요한 반도체 기억 장치는?
51. 시스템 소프트웨어에 해당되지 않는 것은?
52. 순서도(Flow Chart)를 작성하는 이유 중 옳지 않은 것은?
53. 인터럽트를 발생하는 장치들을 직렬로 연결하여 우선 순위에 따라 처리하게 하는 방식은?
54. 584를 3초과 code로 표시하면 어떻게 되는가?
55. Flow chart의 기호 중 합병(merge)의 기호는?




" 이다. 이유는 합병은 두 개 이상의 흐름을 하나로 합치는 것을 나타내기 때문에, 여러 개의 흐름이 하나로 합쳐지는 모양을 나타내는 이 기호가 사용된다.56. 스택 구조에 관한 설명 중 옳지 않은 것은?
57. 서브루틴(subroutine) 사용시 관계없는 용어는?
58. 마이크로컴퓨터의 입∙출력 구성 요소가 아닌 것은?
59. 10진수의 29를 BCD 코드로 표시하면?
60. 기억장치내의 지정된 주소에서 첫 번째 명령어가 기억 장치에 호출되어 해독되는 과정을 무엇이라고 하는가?
4과목: 전자계측
61. 오실로스코프(Oscilloscope)로 파형 관측 시 톱니파를 피측정 전압에 동기시키는 이유는?
62. 싱크로스코프의 수평편향판 간에 EH, 수직편향판 간에 EV 인 정현파 전압을 각각 인가시켜 나타나는 리서쥬(Lissajous) 도형은? (단, EH=Em sin(ω t-π/2 ), Ev=Em sin ωt)
63. 마이크로파 측정에서 정재파 비가 2일 때 반사 계수는?
64. 다음과 같은 블록도를 갖는 측정은 무슨 특성을 측정하고 자 하는 것인가?
65. 소인 발진기는 다음 중 어느 것에 해당하는가?
66. 소인 발진기(sweep oscillator)의 용도가 아닌 것은?
67. 계기 정수 2400[회/kWh]의 적산 전력계가 30초에 10회전 했을 때의 전력은?
68. 저주파 발진기 중 주파수 안정도가 제일 좋은 것은?
69. 그리드 딥 미터의 특징으로 옳지 않은 것은?
70. 정류형 계기의 특징으로 옳지 않은 것은?
71. 동조형 주파수계에 속하지 않는 것은?
72. SN비를 옳게 나타낸 것은?




"이다.
"이 옳은 답이다.74. 그림과 같은 등가회로로 표시할 수 있는 콘덴서의 유전체 역률 tanδ 를 나타내는 식 중 옳은 것은?
75. 오실로스코프(Oscilloscope)로 측정 할 수 없는 것은?
76. 다음 저항 감쇄기 중 평형형은?
77. 오실로스코프의 동기 방법이 아닌 것은?
78. 직사각형파 펄스를 가하여 저주파 특성을 측정하는 경우 이득이 낮은 주파수에서 감소하는 출력 파형은?




" 입니다. 이 파형은 저주파 영역에서 출력이 감소하는 것을 보여주고 있습니다.79. 계수형 주파수계의 특징이 옳지 않은 것은?
80. 가장 적은 저항을 측정할 수 있는 브리지는?
